The box gives some methods that are involved in the separation of mixtures.

(a) Use words from the box to identify the method involved in each of these separations.
(i) Give the best method for obtaining gasoline from crude oil.
(ii) Give the best method for separating the dyes in black ink.
(iii) Give the best method for obtaining pure water from seawater.
(b) A sample of solid hydrated copper(II) sulfate can be obtained from a mixture of copper(II) oxide and copper(II) sulfate.
Complete the passage by using words from the box.
The mixture of copper(II) oxide and copper(II) sulfate can be separated by first ______ the copper(II) sulfate in distilled water.
The copper(II) oxide is then removed by ______.
Some of the water from the copper(II) sulfate solution is then removed by ______.
A pure sample of hydrated copper(II) sulfate is then obtained by ______.
Most-appropriate topic codes (Edexcel IGCSE Chemistry 4CH1):
• 4(b): Crude oil — Fractional distillation — part (a)(i)
• 2(g): Acids, bases and salt preparations — Preparation of a pure, dry soluble salt — part (b)
▶️ Answer/Explanation
(a)(i) fractional distillation
(a)(ii) chromatography
(a)(iii) simple distillation (ACCEPT distillation)
(b)
M1: The mixture of copper(II) oxide and copper(II) sulfate can be separated by first dissolving the copper(II) sulfate in distilled water.
M2: The copper(II) oxide is then removed by filtering (ACCEPT filtration).
M3: Some of the water from the copper(II) sulfate solution is then removed by evaporating (ACCEPT evaporation).
M4: A pure sample of hydrated copper(II) sulfate is then obtained by crystallisation (ACCEPT crystallising).
This question is about the reactions of iron.
(a) Iron rusts when exposed to water and oxygen.
(i) Give the chemical name of the compound that forms when iron rusts.
(ii) What type of reaction occurs when iron rusts?
- A combustion
- B decomposition
- C neutralisation
- D oxidation
(iii) Galvanising is a method used to prevent iron from rusting.
Give the name of the metal used to galvanise iron.
(b) When iron reacts with dilute sulfuric acid, the products are iron(II) sulfate and hydrogen.
(i) Give a chemical equation for the reaction between iron and sulfuric acid.
(ii) Give a test for hydrogen.
(c) An excess of iron is added to copper(II) sulfate solution.
(i) Name the type of reaction that occurs.
(ii) State the appearance of the solid that forms in the reaction.
(d) Give the reason why no reaction occurs when iron is added to magnesium sulfate solution.
Most-appropriate topic codes (Edexcel IGCSE Chemistry 4CH1):
• 2(f): Acids, alkalis and titrations — reaction of acids with metals (part b(i))
• 2(h): Chemical tests — test for hydrogen (part b(ii))
• 2.20: Oxidation, reduction and redox — rusting as oxidation (part a(ii))
• 1.25: Chemical formulae, equations and calculations — writing chemical equations (part b(i))
▶️ Answer/Explanation
(a)(i) (hydrated) iron(III) oxide / \(\text{Fe}_2\text{O}_3\)
(a)(ii) D oxidation
A is incorrect as it is not a combustion reaction.
B is incorrect as it is not a decomposition reaction.
C is incorrect as it is not a neutralisation reaction.
(a)(iii) zinc
(b)(i) \(\text{Fe} + \text{H}_2\text{SO}_4 \rightarrow \text{FeSO}_4 + \text{H}_2\)
(b)(ii) (squeaky) pop with lighted splint / lit with a (Bunsen) flame
(c)(i) displacement
(c)(ii) pink-brown / pink (solid)
(d) iron is less reactive / lower in the reactivity series (than magnesium)
The table gives some information about three substances, \(X\), \(Y\) and \(Z\).

(a) Complete the table by giving the missing information.
(b) Explain why substance \(X\) has a low melting point.
Most-appropriate topic codes (Edexcel IGCSE Chemistry 4CH1):
• 1(f): Ionic bonding — part (a) Z
• 1(g): Covalent bonding — parts (a) X, Y
• 1(i): Electrolysis — part (a) Z
▶️ Answer/Explanation
(a) Completed table:

Marking points:
- For Y: Bonding = covalent; Structure = giant (covalent) / giant covalent lattice / macromolecular.
- For Z: Bonding = ionic; Structure = giant (ionic) lattice / ionic lattice.
(b) An explanation that links the following points:
- M1: Substance \(X\) has weak intermolecular forces / weak forces between the molecules.
- M2: Therefore, only a small amount of energy (heat) is needed to overcome these forces / separate the molecules / break these forces.
Important notes: Do not refer to breaking covalent bonds. The covalent bonds within the molecules remain intact when melting. Melting only overcomes the weak intermolecular forces between the molecules.
This question is about unsaturated hydrocarbons.
(a) Ethene \( \text{(C}_2\text{H}_4\text{)} \) is a member of the homologous series of alkenes.
(i) Give two characteristics of a homologous series.
(ii) Draw a dot-and-cross diagram to show the bonding in a molecule of ethene.
Show outer electrons only.
(b) Propene \( \text{(C}_3\text{H}_6\text{)} \) is another member of the homologous series of alkenes.
(i) State why the empirical formula of all alkenes in this homologous series is \( \text{CH}_2 \).
(ii) Propene can be polymerised to form poly(propene).
Draw the displayed formula of propene and the repeat unit of poly(propene).

(c) This is the structural formula of another hydrocarbon compound.
\( \text{CH}_2=\text{CH}-\text{CH}=\text{CH}_2 \)
(i) Give the molecular formula and the empirical formula of this compound.
(ii) Explain why this compound is an unsaturated hydrocarbon.
(iii) Describe a test to show that this hydrocarbon is unsaturated.
Most-appropriate topic codes (Pearson Edexcel IGCSE Chemistry 4CH1):
• 4(a): Introduction to Organic Chemistry — parts (a)(i), (c)(i)
• 4(h): Synthetic Polymers — part (b)(ii)
• 1(e): Chemical formulae, equations and calculations — part (c)(i)
▶️ Answer/Explanation
(a)(i) Any two from:
- Same general formula.
- Same functional group.
- Each member differs from the next by \( \text{CH}_2 \).
- Similar chemical properties / reactions.
- Trend/gradual change in physical properties (e.g., boiling point).
(a)(ii)
A correct dot-and-cross diagram showing:

- Two shared pairs (a double bond) between the two carbon atoms.
- A shared pair between each hydrogen atom and the carbon atom it is bonded to.
- Only outer electrons shown.
(b)(i) The general formula for alkenes is \( \text{C}_n\text{H}_{2n} \). This means in every alkene molecule, the ratio of hydrogen atoms to carbon atoms is 2:1, giving the simplest whole number ratio as \( \text{CH}_2 \).
(b)(ii)
Propene: \( \text{H}_2\text{C}=\text{CH}-\text{CH}_3 \) or fully displayed equivalent.

Repeat unit of poly(propene): \( -\text{CH}_2-\text{CH}(\text{CH}_3)- \)

(c)(i)Molecular formula: \( \text{C}_4\text{H}_6 \)
Empirical formula: \( \text{C}_2\text{H}_3 \)
(c)(ii) An explanation linking:
- The compound is a hydrocarbon (made of only carbon and hydrogen atoms).
- It contains one or more carbon-carbon double bonds (\( \text{C}=\text{C} \)).
(c)(iii) A description including:
- Add bromine water (or bromine dissolved in an organic solvent).
- The bromine water is decolourised (changes from orange/yellow to colourless).
This question is about lithium and some of its compounds.
(a) A small piece of lithium is added to a trough containing water. The lithium floats on the surface of the water and a vigorous reaction occurs.
(i) Give two other observations when lithium reacts with water.
(ii) A few drops of methyl orange are added to the solution in the trough. Explain the final colour of the solution.
(b) An unlabelled bottle containing a white powder is found in a laboratory. Describe tests to show that the white powder in the bottle is lithium carbonate.
(c) Lithium carbonate has ionic bonding. State what is meant by the term ionic bonding.
Most-appropriate topic codes (Pearson Edexcel IGCSE Chemistry 4CH1):
• 2(b): Group 7 (halogens) — not directly assessed, but relevant for comparative reactivity
• 2(d): Reactivity series — context of alkali metal reactivity
• 2(g): Acids, bases and salt preparations — part (b) – carbonate identification
• 2(h): Chemical tests — parts (b) and (a)(ii) – flame test and indicator use
• 1(f): Ionic bonding — part (c)
• 1(a): States of matter — context of reaction in aqueous medium
▶️ Answer/Explanation
(a)(i) Any two from:
- Effervescence / fizzing / bubbles
- Lithium becomes smaller / disappears
- Lithium moves (across the surface)
Ignore: melts, forms a ball, flame. Accept: lithium dissolves.
(a)(ii)
- M1: (Solution turns) yellow
- M2: (Because the solution is) an alkali / alkaline
Allow: lithium hydroxide / hydroxide ions \(\text{OH}^-\) formed. Allow: basic. Ignore: hydrogen / gas formed.
(b) A description that refers to the following five points:
- Perform a flame test (accept description of flame test; ignore “burning”).
- Observe a red flame (accept crimson; reject brick-red).
- Add dilute hydrochloric acid (accept nitric or sulfuric acid; reject if incorrect reagent is added, e.g., silver nitrate).
- Pass/bubble the gas (carbon dioxide) into limewater (dependent on acid in step 3).
- Limewater turns cloudy/milky / white precipitate forms (dependent on use of limewater).
No marks for steps 4 or 5 if limewater is added directly to the solution.
(c)
- M1: Electrostatic attraction
- M2: Between oppositely charged ions
Accept: between anions/negative ions and cations/positive ions. Reject: implication of covalent bonding for M2.
When solutions of lead(II) nitrate and potassium chloride are mixed, a precipitate of lead(II) chloride forms.
(a) (i) Complete the equation for the reaction by adding the state symbols.
\[ \text{Pb(NO}_3\text{)}_2(\text{……}) + 2\text{KCl}(\text{……}) \rightarrow \text{PbCl}_2(\text{……}) + 2\text{KNO}_3(\text{……}) \]
(a) (ii) Give the formula of each ion in lead(II) nitrate.
lead ion:
nitrate ion:
(a) (iii) Calculate the relative formula mass (\(M_r\)) of lead(II) nitrate, \(\text{Pb(NO}_3\text{)}_2\).
(b) A student investigates the height of the precipitate formed when lead(II) nitrate solution is added to potassium chloride solution. This is the student’s method.
Step 1 pour 15.0 cm3 of potassium chloride solution into a boiling tube
Step 2 add 2.0 cm3 of lead(II) nitrate solution and allow the precipitate to settle
Step 3 measure the height of the precipitate
Repeat steps 2 and 3 until a total of 14.0 cm3 of lead(II) nitrate solution has been added.
The table shows the student’s results.

(i) Plot the results on the grid.
(ii) Draw a circle around the anomalous result.
(iii) Draw a line of best fit through the first four points and another line of best fit through the last three points. Make sure that the lines cross.

(iv) Give two possible mistakes the student could have made to cause the anomalous result.
(v) State why the first line of best fit should pass through the origin.
(vi) Use your graph to determine the volume of lead(II) nitrate solution needed to react completely with 15.0 cm3 of potassium chloride solution.
Most-appropriate topic codes (Edexcel IGCSE Chemistry – 4CH1):
• 1(f): Ionic bonding — part (a)(ii)
• 2(h): Chemical tests — part (b) – precipitation reaction
• Appendix 4: Mathematical skills — parts (b)(i), (b)(iii), (b)(vi) – plotting graphs, interpreting data
• Appendix 5: Command word taxonomy (e.g., Calculate, Plot, State, Use, Give) — applied throughout
▶️ Answer/Explanation
(a)(i)
\[ \text{Pb(NO}_3\text{)}_2(\text{aq}) + 2\text{KCl}(\text{aq}) \rightarrow \text{PbCl}_2(\text{s}) + 2\text{KNO}_3(\text{aq}) \]
(a)(ii)
lead ion: \(\text{Pb}^{2+}\)
nitrate ion: \(\text{NO}_3^-\)
(a)(iii)
\(M_r = 207 + 2 \times (14 + 3 \times 16) = 207 + 2 \times 62 = 207 + 124 = 331\)
(b)(i)
Points plotted correctly at: (2.0, 0.8), (4.0, 1.6), (6.0, 2.9), (8.0, 3.2), (10.0, 3.6), (12.0, 3.6), (14.0, 3.6)
(b)(ii)
The point at (6.0, 2.9) is anomalous and should be circled.
(b)(iii)
A line of best fit drawn through the first four points (ignoring the anomalous point at 6.0 cm³) and a horizontal line through the last three points. The two lines should cross.
(b)(iv)
Any two from:
1. Precipitate not allowed to settle fully before measuring height.
2. Incorrect measurement of height (e.g., parallax error).
3. More than 2.0 cm³ of lead(II) nitrate added in one of the steps.
(b)(v)
With zero volume of lead(II) nitrate added, no precipitate can form, so the height must be zero.
(b)(vi)
The volume is read from the graph where the two lines of best fit cross (approximately 9.0–9.5 cm³).
This question is about the three halogens, bromine, chlorine and iodine.
(a) Give the number of protons and the number of neutrons in an atom of iodine–127.
(b) A sample of bromine contains two isotopes.
• Br–79 with relative abundance 52.8%
• Br–81 with relative abundance 47.2%
Calculate the relative atomic mass (\(A_r\)) of this sample of bromine.
Give your answer to three significant figures.
(c) Aluminium reacts with chlorine to form aluminium chloride. This is the equation for the reaction.
\[ 2Al + 3Cl_2 \rightarrow 2AlCl_3 \]
Calculate the minimum mass of chlorine needed to form 26.7 g of aluminium chloride.
[for \( Cl_2, M_r = 71 \); for \( AlCl_3, M_r = 133.5 \)]
(d) A student mixes the following pairs of solutions.
Pair 1 bromine solution and potassium chloride solution
Pair 2 bromine solution and potassium iodide solution
Explain how the student can use the results of these experiments to show the order of reactivity of the three halogens, bromine, chlorine and iodine.
Include observations in your answer.
Most-appropriate topic codes (Edexcel IGCSE Chemistry 4CH1):
• 1(e): Chemical formulae, equations and calculations — part (c)
• 2(b): Group 7 (halogens) — part (d)
• 2(d): Reactivity series — part (d)
▶️ Answer/Explanation
(a)
Number of protons: 53
Number of neutrons: \(127 – 53 = 74\)
(b)
\[ A_r = \frac{(79 \times 52.8) + (81 \times 47.2)}{100} = \frac{4171.2 + 3823.2}{100} = \frac{7994.4}{100} = 79.944 \]
To three significant figures: \(79.9\)
(c)
Method 1 (using moles):
Moles of \(AlCl_3\) = \(\frac{26.7}{133.5} = 0.200 \text{ mol}\)
From the equation: \(2Al + 3Cl_2 \rightarrow 2AlCl_3\)
Moles of \(Cl_2\) needed = \(\frac{3}{2} \times 0.200 = 0.300 \text{ mol}\)
Mass of \(Cl_2\) = \(0.300 \times 71 = 21.3 \text{ g}\)
Method 2 (using mass ratio):
From the equation: \(2 \times 133.5 = 267 \text{ g of } AlCl_3\) is produced by \(3 \times 71 = 213 \text{ g of } Cl_2\)
Mass of \(Cl_2\) needed for 26.7 g \(AlCl_3\) = \(\frac{26.7}{267} \times 213 = 21.3 \text{ g}\)
(d)
An explanation which makes reference to the following points:
• Pair 1: No reaction / no change in colour (solution stays yellow/orange). This shows bromine cannot displace chlorine from potassium chloride, so chlorine is more reactive than bromine.
• Pair 2: The solution turns brown. This shows bromine displaces iodine from potassium iodide, forming iodine, so bromine is more reactive than iodine.
• Combining these results gives the order of reactivity: chlorine > bromine > iodine.
A student uses this apparatus to find the molar enthalpy change \( (\Delta H) \) of combustion for the liquid fuel, pentanol.

This is the student’s method.
- find the initial mass of the spirit burner and pentanol
- add \( 100 \, \text{cm}^3 \) of water to the copper can
- record the initial temperature of the water
- light the wick of the spirit burner to heat the water
- stir the water until the temperature rises by \( 35.0^\circ \text{C} \)
- extinguish the flame and immediately find the final mass of the spirit burner and pentanol
(a) (i) State why the student stirs the water.
(a) (ii) Suggest why it is important that the student immediately finds the final mass of the spirit burner and pentanol.
(b) The diagram shows the initial temperature of the water.

Complete the table to show the temperature readings. Give both values to the nearest \( 0.1^\circ \text{C} \).

(c) (i) Show by calculation that the heat energy \( (Q) \) supplied by the pentanol is approximately \( 15\,000 \, \text{J} \).
[for water, \( c = 4.2 \, \text{J/g/}^\circ \text{C} \)]
[for \( 1.0 \, \text{cm}^3 \) of water, mass = \( 1.0 \, \text{g} \)]
(c) (ii) The table gives the initial and final mass readings.

Use your answer to part (c)(i) and the information in the table to calculate the molar enthalpy change \( (\Delta H) \) of combustion, in \( \text{kJ/mol} \), for pentanol.
[for pentanol, \( M_r = 88 \)]
Include a sign in your answer.
(d) The formula of pentanol is \( \text{C}_5\text{H}_{11}\text{OH} \).
Write a chemical equation for the complete combustion of pentanol.
Most-appropriate topic codes (Pearson Edexcel IGCSE Chemistry – 4CH1):
• 1(e) Chemical formulae, equations and calculations: Writing balanced chemical equations — part (d)
• Appendix 6: Suggested practical investigations: Determining enthalpy changes by combustion — whole question
▶️ Answer/Explanation
(a)(i) To allow the heat (energy) to be distributed evenly (throughout the water).
(a)(ii) To avoid some of the liquid/fuel/pentanol evaporating.
(b)

(c)(i)
\( Q = m \times c \times \Delta T \)
\( m = 100 \, \text{g} \), \( c = 4.2 \, \text{J/g/}^\circ \text{C} \), \( \Delta T = 35.0^\circ \text{C} \)
\( Q = 100 \times 4.2 \times 35.0 = 14\,700 \, \text{J} \)
Approximately \( 15\,000 \, \text{J} \).
(c)(ii)
Mass of pentanol burned = \( 90.11 – 89.75 = 0.36 \, \text{g} \)
Moles of pentanol = \( \frac{0.36}{88} = 0.00409 \, \text{mol} \)
Energy per mole = \( \frac{14\,700}{0.00409} \approx 3\,600\,000 \, \text{J/mol} = 3600 \, \text{kJ/mol} \)
Since combustion is exothermic: \( \Delta H = -3600 \, \text{kJ/mol} \).
(d)
\( \text{C}_5\text{H}_{11}\text{OH} + 7.5\text{O}_2 \rightarrow 5\text{CO}_2 + 6\text{H}_2\text{O} \)
Allow multiples (e.g., \( 2\text{C}_5\text{H}_{11}\text{OH} + 15\text{O}_2 \rightarrow 10\text{CO}_2 + 12\text{H}_2\text{O} \)).
This question is about different hydrated forms of sodium sulfate.
(a) A compound has the formula \(\text{Na}_2\text{SO}_4\cdot 7\text{H}_2\text{O}\).
(i) How many different elements are there in the formula \(\text{Na}_2\text{SO}_4\cdot 7\text{H}_2\text{O}\)?
- A) 3
- B) 4
- C) 5
- D) 10
(ii) What is the total number of atoms in the formula \(\text{Na}_2\text{SO}_4\cdot 7\text{H}_2\text{O}\)?
- A) 10
- B) 22
- C) 27
- D) 28
(b) Another hydrated form of sodium sulfate has the formula \(\text{Na}_2\text{SO}_4\cdot x\text{H}_2\text{O}\).
A student uses this apparatus to find the value of \(x\).

This is the student’s method:
• Find the mass of an empty tube.
• Add solid hydrated sodium sulfate to the tube.
• Find the mass of the tube and hydrated sodium sulfate.
• Heat the tube for several minutes.
• Allow the tube to cool and find the mass of the tube and contents.
(i) Describe what the student should do next to make sure that all the water is removed from the hydrated sodium sulfate.
(ii) Explain the role of the ice in the beaker.
(iii) Describe how the student could prove that the liquid collected is pure water.
(c) The table gives the student’s results.

Use the student’s results to calculate the value of \(x\).
[For \(\text{Na}_2\text{SO}_4\), \(M_r = 142\); for \(\text{H}_2\text{O}\), \(M_r = 18\)]
Most-appropriate topic codes (Edexcel IGCSE Chemistry – 4CH1):
• 1(e): Experimental determination of formulae — part (b)(i), (b)(iii), (c)
• 1(a): States of matter & separation techniques — parts (b)(ii), (b)(iii)
• 1(e): Moles & reacting masses — part (c)
▶️ Answer/Explanation
(a)(i) B (4)
A is incorrect as there are not 3 different elements in \(\text{Na}_2\text{SO}_4\cdot 7\text{H}_2\text{O}\).
C is incorrect as there are not 5 different elements in \(\text{Na}_2\text{SO}_4\cdot 7\text{H}_2\text{O}\).
D is incorrect as there are not 10 different elements in \(\text{Na}_2\text{SO}_4\cdot 7\text{H}_2\text{O}\).
(a)(ii) D (28)
A is incorrect as there is not a total of 10 atoms in \(\text{Na}_2\text{SO}_4\cdot 7\text{H}_2\text{O}\).
B is incorrect as there is not a total of 22 atoms in \(\text{Na}_2\text{SO}_4\cdot 7\text{H}_2\text{O}\).
C is incorrect as there is not a total of 27 atoms in \(\text{Na}_2\text{SO}_4\cdot 7\text{H}_2\text{O}\).
(b)(i) A description that refers to the following two points:
M1: Heat the sodium sulfate (again).
M2: (Repeat) until there is no further change in mass.
ACCEPT ‘heat to constant mass’ for both marks.
(b)(ii) An explanation that links the following two points:
M1: To cool the (water) vapour.
M2: So it condenses / forms liquid/water.
ACCEPT steam.
(b)(iii) A description that refers to the following two points:
M1: Heat (the water) / measure the boiling point.
M2: (If it) boils at 100 °C (it is pure water) / boiling point is 100 °C.
ALLOW find the freezing point / melting point.
ALLOW freezes/melts at 0°C.
IGNORE chemical test even if incorrect.
REJECT evaporate.
(c)
Method 1:
M1: Mass of \(\text{Na}_2\text{SO}_4\) \(= 19.38 – 15.83 = 3.55\ \text{g}\).
M2: Mass of \(\text{H}_2\text{O}\) \(= 23.88 – 19.38 = 4.50\ \text{g}\).
M3: Amount of \(\text{Na}_2\text{SO}_4\) \(= \frac{3.55}{142} = 0.025\ \text{mol}\).
M4: Amount of \(\text{H}_2\text{O}\) \(= \frac{4.50}{18} = 0.25\ \text{mol}\).
M5: \(x = \frac{0.25}{0.025} = 10\).
Method 2:
M1: Mass of \(\text{Na}_2\text{SO}_4\) \(= 19.38 – 15.83 = 3.55\ \text{g}\).
M2: Mass of \(\text{H}_2\text{O}\) \(= 23.88 – 19.38 = 4.50\ \text{g}\).
M3: Mass of water combined with 1 mole of sodium sulfate \(= \frac{142}{3.55} \times 4.50 = 180\ \text{g}\).
M4: Moles of \(\text{H}_2\text{O}\) \(= \frac{180}{18} = 10\).
M5: Therefore, \(x = 10\).
Correct answer without working scores 5.
ALLOW ECF from incorrect M1 or M2.
ALLOW an integer ECF on M3 & M4.
ACCEPT alternative correct methods.
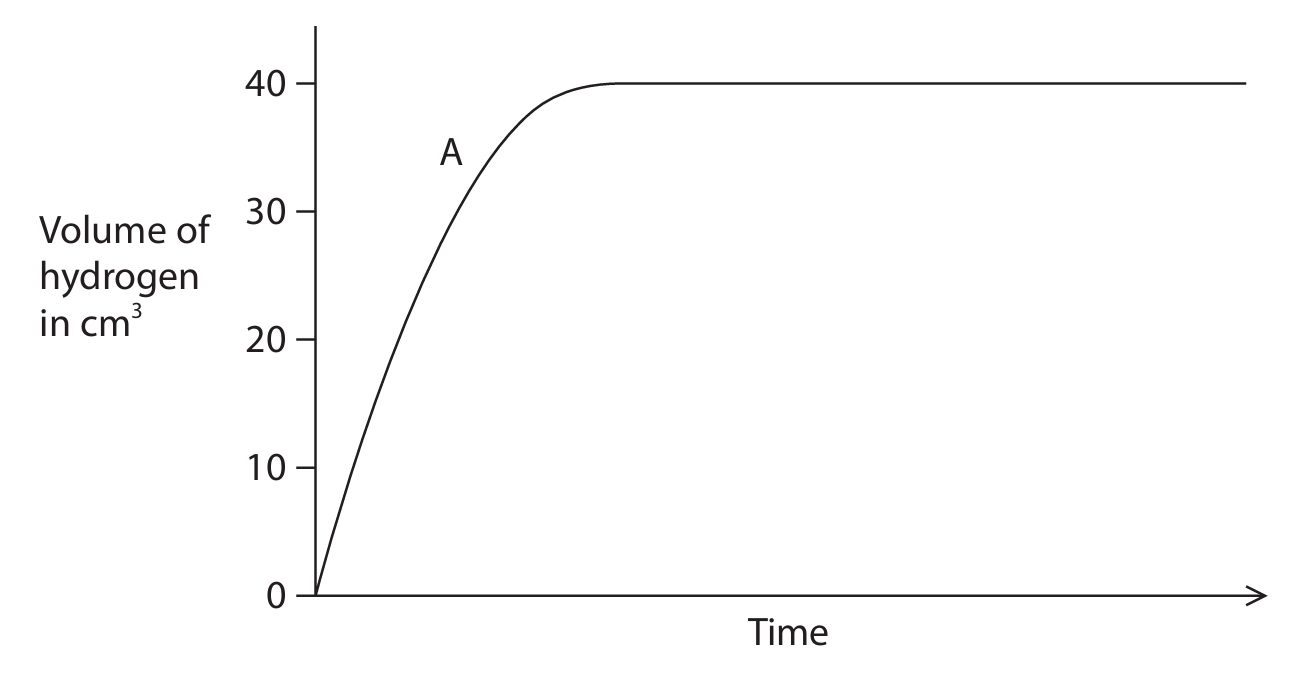
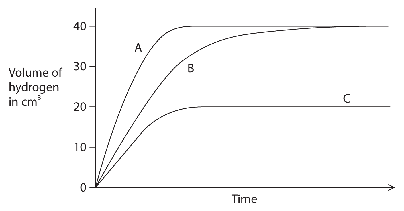
Zinc reacts with dilute hydrochloric acid to form zinc chloride and hydrogen gas. This is the equation for the reaction:
\[ \text{Zn(s)} + 2\text{HCl(aq)} \rightarrow \text{ZnCl}_2(\text{aq}) + \text{H}_2(\text{g}) \]
(a) In an experiment, \(20\ \text{cm}^3\) of hydrochloric acid containing \(0.0036\ \text{mol}\) are reacted with \(1.3\ \text{g}\) of zinc granules at a temperature of \(30\ ^\circ\text{C}\).
(i) Show by calculation that the zinc is in excess.
(ii) The volume of hydrogen collected is measured at regular time intervals. Curve
A shows the results of this experiment.

The experiment is repeated using \(1.3\ \text{g}\) of zinc powder instead of zinc granules.
All other conditions are kept the same.
On the grid, draw the curve you would expect to obtain.
(b) In the original experiment, \(20\ \text{cm}^3\) of hydrochloric acid containing \(0.0036\ \text{mol}\) were reacted with \(1.3\ \text{g}\) of zinc granules at a temperature of \(30\ ^\circ\text{C}\) and curve A was obtained.
The student does two more experiments and obtains curves B and C.

(i) In one of these experiments the student repeats the original method but at a temperature of \(20\ ^\circ\text{C}\).
Explain in terms of particle collision theory why the curve obtained could be curve B.
(ii) In the other experiment the student repeats the original method but uses \(20\ \text{cm}^3\) of hydrochloric acid containing \(0.0018\ \text{mol}\).
Explain why curve C shows the results the student obtained.
(c) Catalysts can be used to speed up reactions.
Describe how a catalyst works.
Most-appropriate topic codes (Edexcel IGCSE Chemistry):
• 3(b): Rates of reaction — parts (a)(ii), (b)(i), (b)(ii), (c)
• 2(b): Group 1 (alkali metals) / Reactivity series — part (a)(i) – stoichiometric context
• 2(f): Acids, alkalis and titrations — context of reaction
▶️ Answer/Explanation
(a)(i)
M1 \(0.0036\ \text{mol}\) of HCl react with \(0.0018\ \text{mol}\) of Zn.
M2 Mass of Zn that reacts is \(0.0018 \times 65 = 0.117\ \text{g}\), which is less than \(1.3\ \text{g}\), so zinc is in excess.
OR
M1 Moles of zinc that can react with \(0.0036\ \text{mol}\) of HCl: \(0.0036 / 2 = 0.0018\ \text{mol}\).
M2 Moles of Zn present = \(1.3 \div 65 = 0.02\ \text{mol}\), which is more than \(0.0018\), so zinc is in excess.
OR
M1 Amount of zinc = \(1.3 \div 65 = 0.02\ \text{mol}\).
M2 Amount of HCl that can react = \(2 \times 0.02 = 0.04\ \text{mol}\), which is greater than \(0.0036\), so zinc is in excess.
(a)(ii)
Expected curve for zinc powder:
M1 Curve starting at origin and steeper than curve A.
M2 Curve levelling off at same volume as curve A (at \(40\ \text{cm}^3\)).
(b)(i)
Explanation linking any of the following points:
M1 Curve B is less steep than curve A.
M2 Because the particles have less kinetic energy at \(20\ ^\circ\text{C}\).
M3 So there are fewer successful collisions per unit time / less frequent successful collisions.
M4 So the rate of reaction is slower / the reaction takes longer to complete.
M5 No change in reacting quantities, so final volume is unchanged.
(b)(ii)
Explanation linking two of the following points:
M1 Only half the moles of hydrochloric acid used / concentration is halved.
M2 So only half the volume (\(20\ \text{cm}^3\)) of hydrogen gas is produced.
M3 Hydrochloric acid is less concentrated, so curve is less steep.
(c)
Description referring to the following two points:
M1 A catalyst provides an alternative pathway/route for the reaction.
M2 With a lower activation energy.
