Substances can be classified as elements, mixtures or compounds.
(a) Each box represents an element, a mixture or a compound.
![]()
(i) Which box represents a mixture?
A) 1
B) 2
C) 3
D) 4
(ii) Which two boxes represent elements?
A) 1 and 2
B) 2 and 3
C) 1 and 3
D) 3 and 4
(iii) Explain why Box 5 represents a compound.
(b) The Periodic Table contains all the known elements.
(i) How are the elements arranged in the Periodic Table?
A) increasing mass number
B) increasing number of neutrons
C) increasing number of protons
D) increasing reactivity
(ii) Elements in the same group have the same number of
A) electrons in the outer shell
B) electron shells
C) neutrons
D) protons
Most-appropriate topic codes (Edexcel IGCSE Chemistry 4CH1):
• 1(d): The Periodic Table — parts (b)(i), (b)(ii)
▶️ Answer/Explanation
(a)(i) B (box 2)
The only correct answer is B because box 2 contains two different particles in the same space that are not chemically joined.
A is not correct because box 1 shows an element.
C is not correct because box 3 shows an element.
D is not correct because box 4 shows a compound.
(a)(ii) C (boxes 1 and 3)
The only correct answer is C because boxes 1 and 3 contain one type of atom only.
A is not correct because box 2 shows a mixture.
B is not correct because box 2 shows a mixture.
D is not correct because box 4 shows a compound.
(a)(iii)
M1: (box 5 shows) two (different) elements / two (different) types of atoms. (1)
M2: (chemically) bonded / combined / joined (together). (1)
M2 dependent on mention of elements/atoms in M1. Reject ‘mixture’ for M1.
(b)(i) C (increasing number of protons)
The only correct answer is C because the elements in the periodic table are arranged in order of proton (atomic) number.
A is not correct because elements are not arranged in order of mass number.
B is not correct because elements are not arranged in order of the number of neutrons.
D is not correct because elements are not arranged in order of reactivity.
(b)(ii) A (electrons in the outer shell)
The only correct answer is A because elements in the same group of the periodic table have the same number of electrons in the outer shell.
B is not the correct answer because elements in the same period have the same number of shells.
C is not the correct answer because elements in the same group do not have the same number of neutrons.
D is not the correct answer because elements in the same group do not have the same number of protons.
Chromatography is used to analyse mixtures. A student does a chromatography experiment to analyse the composition of green food colouring in sweets. She places four known dyes, A, B, C and D, and the green food colouring on chromatography paper.
The diagram shows the student’s apparatus at the start of her experiment.
![]()
(a) The diagram shows that the student makes two mistakes when setting up her apparatus. State the two changes that the student should make so that her experiment works.
(b) Another student does the chromatography experiment correctly. The diagram shows her chromatogram at the end of the experiment.
![]()
(i) Explain what the chromatogram shows about the composition of the green food colouring.
(ii) The distance between the start line and the spot for dye C is 6.2 cm. Calculate the \( R_f \) value of dye C.
(iii) Suggest why dye A does not move.
Most-appropriate topic codes (Pearson Edexcel International GCSE Chemistry – 4CH1):
– 1.10: describe experimental techniques for the separation of mixtures, including paper chromatography.
– 1.11: understand how a chromatogram provides information about the composition of a mixture.
– 1.12: understand how to use the calculation of \( R_f \) values to identify the components of a mixture.
– 1.13: practical: investigate paper chromatography using inks/food colourings.
▶️ Answer/Explanation
(a)
M1: The level of the solvent (water) must be below the start line/dyes.
M2: The start line must be drawn in pencil (not ink).
(b)(i)
An explanation that includes conclusions such as:
• The green food colouring contains dye B and dye D (as spots are at the same level).
• It contains an unknown dye (a spot not matching A, B, C, or D).
• It does not contain dye A or dye C (no matching spots).
• It contains three dyes in total / is not a pure substance.
(b)(ii)
To calculate the \( R_f \) value, the distance moved by the solvent front is needed. From the mark scheme, this is given as 9.5 cm.
The formula is: \( R_f = \frac{\text{distance moved by dye}}{\text{distance moved by solvent}} \)
For dye C: \( R_f = \frac{6.2 \text{ cm}}{9.5 \text{ cm}} \)
\( R_f = 0.6526… \)
Answer: \( R_f = 0.65 \) (to 2 significant figures) or \( 0.653 \) (to 3 s.f.)
(b)(iii)
Dye A is insoluble in the solvent (water). / Dye A does not dissolve in the solvent.
Solutions of silver nitrate and potassium chloride react together to make the insoluble salt, silver chloride.
A student uses this method to prepare a sample of silver chloride.
Step 1: add 25 cm3 of silver nitrate solution to a conical flask
Step 2: add potassium chloride solution to the flask
Step 3: filter off the silver chloride
(a) What term is used for this reaction?
- A) neutralisation
- B) precipitation
- C) redox
- D) thermal decomposition
(b) Give two more steps that will produce a pure, dry sample of silver chloride.
(c) Acidified silver nitrate solution is used to test for chloride ions. Give a reason why hydrochloric acid is not used to acidify silver nitrate solution.
(d) The chemical equation for the reaction between solutions of silver nitrate and potassium chloride is:
\[ \text{AgNO}_3(\text{aq}) + \text{KCl}(\text{aq}) \rightarrow \text{AgCl}(s) + \text{KNO}_3(\text{aq}) \]
A student adds an excess of potassium chloride solution to 25.0 cm3 of 0.100 mol/dm3 silver nitrate solution.
Calculate the maximum mass of silver chloride, in grams, that can be produced.
[Mr of AgCl = 143.5]
Most-appropriate topic codes (Pearson Edexcel IGCSE Chemistry 4CH1):
• 2(h): Chemical tests — part (c)
• 1(e): Chemical formulae, equations and calculations — part (d)
▶️ Answer/Explanation
(a) B (precipitation)
The reaction of two solutions to produce an insoluble solid is precipitation.
A is not correct because this reaction is not neutralisation.
C is not correct because this reaction is not a redox reaction.
D is not correct because this reaction is not thermal decomposition.
(b) Two from:
Step 4: Wash the solid with (deionised) water.
Step 5: Suitable method of drying solid, e.g., dry between filter papers / on a paper towel / in a (warm) oven / in a desiccator / leave to dry.
Note: “Dry it alone” is ignored; “hot oven” or direct heating is rejected.
(c) Any one of:
- Hydrochloric acid contains chloride ions (Cl–).
- Hydrochloric acid produces a (white) precipitate with silver nitrate.
- Hydrochloric acid reacts with silver nitrate, giving a false positive test result.
(d) Calculation:
M1: Calculate moles of AgNO3.
Volume = 25.0 cm3 = 0.0250 dm3
Concentration = 0.100 mol/dm3
\[ n(\text{AgNO}_3) = 0.100 \times 0.0250 = 0.00250 \text{ mol} \]
From the equation, 1 mol AgNO3 produces 1 mol AgCl.
Therefore, \( n(\text{AgCl}) = 0.00250 \text{ mol} \).
M2: Calculate mass of AgCl.
Mr (AgCl) = 143.5
\[ \text{mass} = n \times M_r = 0.00250 \times 143.5 = 0.35875 \text{ g} \]
Answer: 0.359 g (to 3 significant figures).
This question is about the metal, lead.
(a) Explain why metals, such as lead, are malleable.
(b) A teacher uses this apparatus in a fume cupboard to demonstrate the electrolysis of lead(II) bromide.
![]()
The lead(II) bromide is heated until it melts. When the lead(II) bromide melts, the lamp lights. One of the products of this electrolysis is lead.
(i) State why solid lead(II) bromide does not conduct electricity.
(ii) Bromine is formed by the oxidation of bromide ions at the positive electrode. Complete the ionic half-equation for the oxidation of bromide ions.
\[ 2Br^- \rightarrow \] ______ + ______
(iii) Explain why lead metal forms at the negative electrode.
(iv) The teacher stops heating the mixture and allows it to solidify. Suggest why the lamp stays alight.
Most-appropriate topic codes (Edexcel IGCSE Chemistry 4CH1):
• 1(f) & 1(i): Ionic bonding & Electrolysis — parts (b)(i), (b)(ii), (b)(iii), (b)(iv)
▶️ Answer/Explanation
(a) An explanation linking:
M1: layers of atoms / positive ions (1)
M2: can slide over one another (1)
(M2 dependent on M1. IGNORE ‘layers’ unqualified. REJECT ‘layers of molecules’)
(b)(i) ions cannot move (1)
(ALLOW ‘ions are in fixed positions/in a lattice’. IGNORE ‘no free ions’. REJECT any reference to electrons)
(b)(ii) \[ 2Br^- \rightarrow Br_2 + 2e^- \] (1)
(b)(iii) An explanation linking:
M1: lead ions (are positive and) are attracted to the negative electrode / \(Pb^{2+}\) (ions) are attracted to the negative electrode (1)
(ALLOW ‘cathode’ for negative electrode)
M2: lead ions gain electrons / \(Pb^{2+}\) (ions) gain electrons (to form lead) (1)
(ALLOW a correct half equation for M2. IGNORE references to redox. ALLOW ‘lead ions get discharged (to form lead)’)
(b)(iv) metal or lead connects the electrodes or completes the circuit OWTTE (1)
(ALLOW ‘metal or lead conducts electricity’. ALLOW ‘metal or lead allows electrons to flow’)
This question is about Group 1 metals and their reactions.
(a) When lithium is added to water, bubbles of hydrogen gas are observed.
(i) Give two other observations that could be made.
(ii) Give the test for hydrogen gas.
(b)(i) Give one observation that would be different if potassium is used instead of lithium.
(ii) The diagram represents an atom of lithium and an atom of potassium.
![]()
Explain why potassium is more reactive than lithium.
(c) The equation for the reaction between lithium and water is:
\[ 2Li(s) + 2H_2O(l) \rightarrow 2LiOH(aq) + H_2(g) \]
(i) A mass of 0.500 g of lithium reacts with an excess of water.
Calculate the volume, in cm\(^3\), of hydrogen gas produced at rtp.
[molar volume of a gas at rtp = 24 000 cm\(^3\)]
Give your answer to three significant figures.
(ii) In a reaction between lithium and water, 150 cm\(^3\) of lithium hydroxide solution is formed.
The lithium hydroxide solution is then completely neutralised by 24.85 cm\(^3\) of 0.100 mol/dm\(^3\) sulfuric acid.
The equation for the neutralisation is:
\[ 2LiOH(aq) + H_2SO_4(aq) \rightarrow Li_2SO_4(aq) + 2H_2O(l) \]
Calculate the concentration, in mol/dm\(^3\), of the lithium hydroxide solution.
Most-appropriate topic codes (Edexcel IGCSE Chemistry – 4CH1):
• 1(e): Chemical formulae, equations and calculations — part (c)(i)
• 1.35C: Calculations involving gas volumes and the molar volume of a gas — part (c)(i)
• 1.34C: Calculations involving amount of substance, volume and concentration — part (c)(ii)
• 2(f) & 2(g): Acids, alkalis, titrations, bases and salt preparations — part (c)(ii)
▶️ Answer/Explanation
(a)(i) Any two from:
• (Lithium) moves (on the surface) / floats
• (Lithium) gets smaller / disappears
• Colourless solution forms
(a)(ii) (When mixed with air) lit splint/spill or flame gives (squeaky) pop.
Alternative: Burns with a (squeaky) pop.
(b)(i) Any one from:
• More rapid bubbles/fizzing/effervescence
• Turns into a ball / potassium melts
• Moves more quickly
• Catches alight / burns / produces a flame
(b)(ii) An explanation that makes reference to:
• Potassium has more electron shells than lithium / potassium atom is larger. (1)
• (Therefore) the outer electron is further from the nucleus / there is more shielding. (1)
• So the attraction between the nucleus and the outer electron is weaker / the outer electron is more easily lost. (1)
(c)(i)
Moles of Li = \( \frac{0.500}{6.9} \approx 0.07246 \) mol (using Ar(Li) = 6.9)
From equation: 2 mol Li produces 1 mol H2
Moles of H2 = \( \frac{0.07246}{2} = 0.03623 \) mol
Volume of H2 at rtp = \( 0.03623 \times 24000 = 869.52 \) cm³
Answer to 3 s.f. = 870 cm³
Alternative calculation using exact values yields 857–870 cm³ depending on Ar used.
(c)(ii)
Moles of H2SO4 = \( 0.02485 \times 0.100 = 0.002485 \) mol
From equation: 1 mol H2SO4 reacts with 2 mol LiOH
Moles of LiOH = \( 2 \times 0.002485 = 0.004970 \) mol
Volume of LiOH solution = 150 cm³ = 0.150 dm³
Concentration of LiOH = \( \frac{0.004970}{0.150} = 0.03313 \) mol/dm³
Answer = 0.0331 mol/dm³ (to 3 s.f.)
This question is about ethane and ethene.
(a) Ethane can be obtained from crude oil. Describe the industrial process used to separate crude oil into fractions.
(b) The equation for the reaction between ethene gas and hydrogen gas is
\[C_2H_4 + H_2 \rightarrow C_2H_6\]
The rate of this reaction can be increased by increasing the pressure.
(i) Explain why increasing the pressure increases the rate of this reaction.
(ii) The rate of this reaction can also be increased by using a catalyst. Explain how using a catalyst increases the rate of a reaction.
(iii) Give one other way that the rate of reaction between ethene gas and hydrogen gas can be increased.
(iv) The reaction between ethene and hydrogen is exothermic.
Complete the reaction profile diagram, including labels for the activation energy and the enthalpy change, \(\Delta H\).
![]()
(c) The reaction between ethene and hydrogen can be represented using displayed formulae.
![]()
| Bond | Bond energy in kJ/mol |
|---|---|
| C=C | 612 |
| C–H | 412 |
| H–H | 436 |
| C–C | 348 |
Use the bond energies in the table to calculate the enthalpy change, \(\Delta H\), in kJ/mol for this reaction.
Most-appropriate topic codes (Edexcel IGCSE Chemistry 4CH1):
• 3(b): Rates of reaction — parts (b)(i), (b)(ii), (b)(iii), (b)(iv)
• 3(a): Energetics — parts (b)(iv), (c)
• 4(d): Alkenes — parts (b), (c)
▶️ Answer/Explanation
(a) A description including:
M1 (use) fractional distillation / fractionating column / fractionating tower (1)
M2 (crude oil) heated / vaporised (1)
M3 column is cooler at top / hotter at the bottom / temperature gradient (1)
M4 fractions condense/collected at different heights (1)
(b)(i)
M1 Particles/molecules are closer together / more particles per unit volume. (1)
M2 Therefore more (successful) collisions per unit time. (1)
(b)(ii)
M1 (A catalyst provides) an alternative pathway / provides a surface for the reaction. (1)
M2 Of lower activation energy. (1)
(b)(iii)
Increase the temperature / heat it up. (1)
(b)(iv) Completed diagram should show:
![]()
• Products (\(C_2H_6\)) on a horizontal line below the reactants. (1)
• Activation energy correctly shown (arrow from reactants to top of curve) and labelled. (1)
• \(\Delta H\) correctly shown (arrow from reactants level to products level) and labelled. (1)
(See mark scheme notes for details).
(c)
M1 Energy to break bonds: \( (4 \times 412) + 612 + 436 = 2696 \text{ kJ}\) (1)
M2 Energy released forming bonds: \( (6 \times 412) + 348 = 2820 \text{ kJ}\) (1)
M3 \(\Delta H = 2696 – 2820 = -124 \text{ kJ/mol}\) (1)
(a) Ethanol, \( C_2H_5OH \), can be produced by the fermentation of glucose, \( C_6H_{12}O_6 \).
(i) Complete the equation for the fermentation of glucose.
\(C_{6}H_{12}O_{6} \rightarrow 2C_{2}H_{5}OH + 2 ………………..\)
(ii) State why it is necessary for fermentation to be done in the absence of air.
(iii) Explain why the temperature should not be higher than 40°C.
(iv) When 4 mol of glucose is fermented, a mass of 55.2 g of ethanol is produced. Show that the percentage yield of ethanol is 15%.
[Mr of \( C_2H_5OH = 46 \)]
(b) Ethanol can also be produced by the reaction between ethene and steam. The equation for the reaction is
\[ C_2H_4(g) + H_2O(g) \rightleftharpoons C_2H_5OH(g) \]
(i) This reaction is in dynamic equilibrium. Give two features of a reaction in dynamic equilibrium.
(ii) When the equilibrium mixture is heated, the yield of ethanol decreases. Explain whether the forward reaction is exothermic or endothermic.
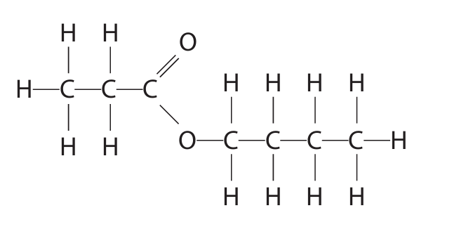
(c) Carboxylic acids react with alcohols to form esters. The displayed formula of an ester is:
(i) Carboxylic acid A and alcohol B react to produce this ester. Give the displayed formula of carboxylic acid A and of alcohol B.
(ii) Indicators can be used to test for carboxylic acids. Describe a different chemical test for a carboxylic acid.
Most-appropriate topic codes (Edexcel IGCSE Chemistry 4CH1):
• 1(e): Chemical formulae, equations and calculations (percentage yield) — part (a)(iv)
• 3(c): Reversible reactions and equilibria — part (b)(i), (b)(ii)
• 4(f): Carboxylic acids — part (c)(ii)
• 4(g): Esters — part (c)(i)
• 2(h): Chemical tests — part (c)(ii)
▶️ Answer/Explanation
(a)(i) \( CO_2 \) (carbon dioxide)
\[C_6H_{12}O_6 \rightarrow 2C_2H_5OH + 2CO_2\]
(a)(ii) To prevent oxidation of ethanol to ethanoic acid (vinegar).
(a)(iii) Fermentation uses enzymes from yeast as catalysts. Enzymes denature (lose their shape and function) at temperatures above 40°C, stopping the reaction.
(a)(iv)
Theoretical yield: 4 mol glucose → \( 4 \times 2 = 8 \) mol ethanol
Theoretical mass = \( 8 \times 46 = 368 \) g
Percentage yield = \( \frac{55.2}{368} \times 100 = 15\% \) ✓
(b)(i) Two features:
1. The forward and reverse reactions occur at the same rate.
2. The concentrations of reactants and products remain constant.
(b)(ii) Increasing temperature decreases ethanol yield → equilibrium shifts left (towards reactants). Therefore, the forward reaction is exothermic (releases heat). Heating favours the endothermic reverse reaction.
(c)(i)
Carboxylic acid A (Propanoic acid):
Alcohol B (Butan-1-ol):
(c)(ii) Method 1: Add a carbonate/hydrogencarbonate (e.g., sodium carbonate) → effervescence/bubbles (CO₂ produced).
Method 2: Add a reactive metal (e.g., magnesium, zinc) → effervescence/bubbles (H₂ produced).
Method 3: Add an alcohol with concentrated sulfuric acid catalyst and warm → sweet smell of ester formed.
