Question
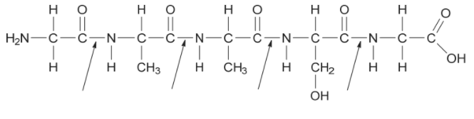
(a) (i) Label a peptide bond in the diagram of a polypeptide.

(ii) Outline the primary structure of proteins.
(b) Identify two hydrolysis reactions that occur in the small intestine.
Answer/Explanation
Ans: a (i)

a (ii) number/sequence/order of amino acids «in a protein/polypeptide chain»
b)
a. polysaccharides to disaccharides/monosaccharides
OR
starch/glycogen to maltose
b. sucrose to glucose AND fructose
c. maltose to glucose
d. lactose to glucose AND galactose
e. proteins/peptides/polypeptides to shorter peptides/amino acids
OR
dipeptides to amino acids
f. triglycerides/lipids/fats/oils to glycerol AND fatty acids
Question
(a) The graph shows blood pressure changes on the left side of the heart during one heartbeat. Identify the two parts of the circulatory system that produce traces I and II on the graph.

(b)Outline the actions taken by the body to avoid infection when the skin is cut.
(c) Hormones are distributed throughout the body by the blood. Outline the roles of two reproductive hormones during the menstrual cycle in women.
Answer/Explanation
Ans:
a)
I. aorta
II: «left» atrium
b)
a. platelets/cut tissues release clotting factors
b. «clotting factors» activate thrombin «from prothrombin»
c. thrombin converts fibrinogen to fibrin
d. «fibrin» forms a clot/scab/mesh that seals the cut
e. phagocytic white blood cells ingest pathogens
c)
a. FSH/follicle stimulating hormone stimulates the development of follicles/follicle cell division in the ovary «to produce eggs»
b. LH/luteinizing hormone triggers ovulation/development of the corpus luteum
c. estrogen stimulates development of the uterine lining/endometrium
d. progesterone maintains the uterine lining/endometrium
OR
inhibits other hormones by negative feedback eg, FSH
e. HCG stimulates ovary to produce progesterone «in early pregnancy»
f. other verifiable hormone and roles relevant to the menstrual cycle
