IB Biology HL (HIGHER level)- 2024 – Practice Questions- All Topics
Topic 2.3 Carbohydrates and lipids
Topic 2 Weightage : 10%
All Questions for Topic 2.3-Sugar Subunits, Sugar Polymers, Types of Fatty Acids, Triglycerides, Lipid Health Risks, Sugars versus Lipids, Body Mass Index, Functions of Lipids, Lipoproteins, Lipid Absorption
Question
What distinguishes cellulose from glycogen and starch?
Only cellulose is found in plants.
Only cellulose is made up of glucose monomers.
Cellulose is far more branched than starch and glycogen.
Cellulose has a structural role whereas starch and glycogen function in energy storage.
▶️Answer/Explanation
Ans: D

Starch, cellulose and glycogen are all carbohydrates but they differ in their structure and function. Starch is the main storage carbohydrate source in plants while cellulose is the main structural component of the cell wall of plants and glycogen is the main storage carbohydrate energy source of fungi and animals.
Starch is made up of two types of molecules: amylose and amylopectin. Amylose is a linear molecule while amylopectin is branched. Cellulose is made up of long chains of glucose molecules that are linked together by beta-1,4-glycosidic bonds. The chains are held together by hydrogen bonds between adjacent chains. Glycogen is a highly branched polymer of glucose that is stored in the liver and muscles.
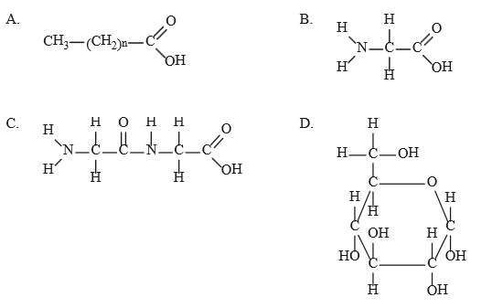
Which of the molecules contain peptide bonds or are sugar molecules?

▶️Answer/Explanation
Markscheme
B
- 3 contains amine bonds which are peptide bonds.
- 2&4 contains a long chain of $\rm{CH_2O}$ chain and are hence referred as sugar molecules.
Question
What type of molecule is shown in this diagram?

A. Trans saturated fatty acid
B. Cis unsaturated fatty acid
C. Cis saturated fatty acid
D. Trans unsaturated fatty acid
▶️Answer/Explanation
Markscheme
B

Given structure is cis because both H at 7&8 carbons are at same side, and the chain is unsaturated because it contains double bond.
Question
What type of molecule is shown in this diagram?

A. Trans saturated fatty acid
B. Cis unsaturated fatty acid
C. Cis saturated fatty acid
D. Trans unsaturated fatty acid
▶️Answer/Explanation
Markscheme
B

Given structure is cis because both H at 7&8 carbons are at same side, and the chain is unsaturated because it contains double bond.
Question
Which structure represents a fatty acid?

▶️Answer/Explanation
Markscheme
Ans:A
A fatty acid consists of a straight chain of an even number of carbon atoms, with hydrogen atoms along the length of the chain and at one end of the chain and a carboxyl group (―COOH) at the other end.
Question
What describes the structure of glycogen?
A. Unbranched polymer of alpha-D-glucose linked by 1,4 glycosidic linkages
B. Branched polymer of alpha-D-glucose linked by 1,6 glycosidic linkages with branches linked by 1,4 glycosidic linkages
C. Unbranched polymer of alpha-D-glucose linked by 1,6 glycosidic linkages
D. Branched polymer of alpha-D-glucose linked by 1,4 glycosidic linkages with branches linked by 1,6 glycosidic linkages
▶️Answer/Explanation
Ans:D
Cellulose is made up of long chains of glucose molecules that are linked together by beta-1,4-glycosidic bonds, so option B describes the structure of Cellulose. The chains are held together by hydrogen bonds between adjacent chains. Glycogen is a highly branched polymer of glucose that is stored in the liver and muscles.
