Topic: 1.1
Which combination of lenses for a light microscope will give the greatest magnification?

▶️ Answer/Explanation
Ans: D
Total magnification is calculated by multiplying the eyepiece lens magnification by the objective lens magnification. Option D (15 × 100 = 1500×) gives the highest magnification compared to others (A: 500×, B: 400×, C: 600×).
Topic: 1.1
The diagram shows an electron micrograph of virus particles in a human nucleus.

What is the diameter of the labelled virus particle?
▶️ Answer/Explanation
Ans: D
Virus particles typically range from 20-300 nm in diameter. Option D (1.5 × 102 nm = 150 nm) falls within this range and is the most reasonable size for a virus particle when viewed under an electron microscope.
Topic: 2.2
What is correct about the synthesis and release of the glycoprotein mucin in goblet cells?
1. The protein is produced on ribosomes and a carbohydrate chain is added in the Golgi body.
2. The glycoproteins are packed into vesicles in the Golgi body forming lysosomes.
3. Secretory vesicles containing the glycoprotein move from the Golgi body and fuse with the cell surface membrane.
▶️ Answer/Explanation
Ans: B
Statement 1 is correct as glycoproteins are synthesized on ribosomes and modified in the Golgi. Statement 3 is correct as secretory vesicles transport glycoproteins to the membrane. Statement 2 is incorrect because glycoproteins are packed into secretory vesicles, not lysosomes.
Topic: 2.1
What are functions of microtubules?
1. allowing movement of cilia in a bronchus
2. attachment to centromeres during metaphase
3. moving secretory vesicles around a cell
▶️ Answer/Explanation
Ans: A
All three statements are correct: microtubules form the structure of cilia (1), make up spindle fibers that attach to centromeres (2), and serve as tracks for vesicle transport (3). Therefore, the correct answer is A (1, 2 and 3).
Topic: 2.1
Which organelles contain nucleic acids?

▶️ Answer/Explanation
Ans: D
Chloroplasts and mitochondria contain their own DNA (nucleic acids), while the Golgi body does not. Therefore, the correct answer is D (chloroplast and mitochondrion only).
Topic: 2.1
Some features of cells are listed.
1. cell wall
2. cell surface membrane
3. ribosomes
Which features can be found in plant cells and in prokaryotic cells?
▶️ Answer/Explanation
Ans: A
Plant cells and prokaryotic cells both have a cell wall (though composition differs), a cell surface membrane, and ribosomes (70S in prokaryotes, 80S in plants). All three features are shared, making A (1, 2 and 3) correct.
Topic: 2.4
Which bonds are present in all viruses?
1. phosphodiester
2. peptide
3. covalent
▶️ Answer/Explanation
Ans: A
All viruses contain nucleic acids (DNA/RNA) with phosphodiester bonds, proteins with peptide bonds, and general covalent bonds in their molecular structures. Thus, A (1, 2 and 3) is correct.
Topic: 3.1
A student carried out the Benedict’s test on four different concentrations of glucose solution and then recorded the time taken for the first appearance of a colour change (the end-point).
The student found it difficult to identify the first appearance of a colour change and consistently timed each solution for two seconds after the colour change first appeared. This introduced a source of error into the experiment.
Which statements about this error are correct?
1. The effect of the error will be reduced if the student performs three repeats at each concentration of glucose.
2. The error will prevent the student from identifying which solution has the highest concentration of glucose.
3. The error is systematic as the student consistently timed each solution for two seconds after the end-point.
▶️ Answer/Explanation
Ans: D
Statement 3 is correct because the consistent 2-second delay makes this a systematic error. Repeats (1) won’t reduce this error, and the error doesn’t prevent identifying the highest concentration (2) as relative timing differences remain detectable. Thus, only D (3 only) is correct.
Topic: 2.3
Which statements about amylopectin and glycogen are correct?
1. Amylopectin and glycogen contain 1-4 glycosidic bonds.
2. Amylopectin contains β-glucose.
3. Glycogen contains more 1-6 branches than amylopectin.
▶️ Answer/Explanation
Ans: B
Both amylopectin and glycogen have 1-4 glycosidic bonds (1 correct). Amylopectin uses α-glucose, not β-glucose (2 incorrect). Glycogen is more branched with more 1-6 bonds than amylopectin (3 correct). Thus, B (1 and 3) is correct.
Topic: 2.3
How many statements about fatty acids are correct?
– Fatty acids are either saturated or unsaturated.
– Fatty acids always have at least two double bonds.
– Long chains of fatty acids are very good energy stores.
– Fatty acids are insoluble in water and do not affect the water potential of the cell.
▶️ Answer/Explanation
Ans: C
Three statements are correct: fatty acids are saturated/unsaturated (correct), long chains are good energy stores (correct), and they’re insoluble (correct). The incorrect statement is about “always two double bonds” – unsaturated fatty acids can have one or more. Thus, C (3) is correct.
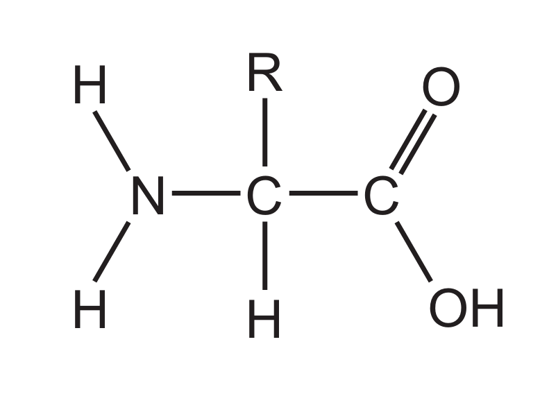
Topic: 2.2
The diagram represents an amino acid.

R represents a variable side chain.
What is not a possible side chain?
▶️ Answer/Explanation
Ans: D
Amino acid side chains must be attached via a single bond to the central carbon. Option D shows a glycerol-like structure with multiple hydroxyl groups that couldn’t attach properly to the amino acid backbone. The other options (A-C) represent valid side chains found in real amino acids (alanine, methionine, and asparagine respectively).
Topic: 3.2
The graph shows the effect of an enzyme on a reaction.

Which row identifies X, Y and Z?

▶️ Answer/Explanation
Ans: D
In enzyme graphs, the uncatalysed reaction (X) always has higher activation energy than the catalysed one (Y). Z represents the overall energy change (products minus reactants). The graph shows energy being released (exergonic reaction), making D correct as it matches these features.
Topic: 3.2
The graph shows the results of two experiments on the effect of increasing substrate concentration on the rate of an enzyme-catalysed reaction.
One experiment was at a high concentration of enzyme and the second was at a low concentration of enzyme.
All other variables were standardised.

What would limit the initial rate of reaction at point X?
▶️ Answer/Explanation
Ans: A
At point X, the reaction rate differs between high and low enzyme concentrations, while substrate concentration is the same. This shows the rate is limited by enzyme availability, not substrate (which would show identical rates). pH (B) and temperature (D) were controlled variables.
Topic: 3.2
Which statements about the Michaelis–Menten constant (Km) of an enzyme are correct?
- At the Km value, half the active sites of the enzyme should be occupied by the substrate.
- Km represents the substrate concentration at which the enzyme is working at half its maximum rate.
- The lower the Km value, the lower the affinity of the enzyme to its substrate.
- When an enzyme has a high Km value, the enzyme-catalysed reaction will proceed very slowly to its maximum rate.
▶️ Answer/Explanation
Ans: B
Statements 1 and 2 correctly define Km. Statement 3 is wrong (lower Km means higher affinity). Statement 4 is correct because high Km enzymes need more substrate to reach Vmax. Therefore, the correct combination is B (1, 2, and 4).
Topic: 4.1
Which component of cell surface membranes helps to reduce fluidity of the phospholipids at high temperatures?
▶️ Answer/Explanation
Ans: C
Cholesterol acts as a “fluidity buffer” – its rigid steroid rings restrict phospholipid movement at high temperatures (reducing fluidity), while preventing solidification at low temperatures. Unsaturated fatty acids (B) increase fluidity, while phosphate groups (A) and proteins (D) don’t directly affect membrane fluidity.
Topic: 4.2
Plant cells were left for 50 minutes in three different sugar solutions, 10%, 5% and 1%. The water potential in the cytoplasm of the three cells was the same at the start of the experiment.
The diagrams show the appearance of the cells after 50 minutes, using a light microscope.

Which conclusion is correct?
▶️ Answer/Explanation
Ans: C
Cell Q appears turgid, indicating it was in the most dilute solution (1%). Plasmolysed cells (P) would be in the strongest solution (10%), while flaccid cells would be in an intermediate concentration (5%). Option C correctly identifies the 1% solution relationship.
Topic: 4.2
The graph shows the effect of increasing the side length of agar cubes on the surface area and the volume of the cubes.

Which row correctly identifies line 1, line 2 and the effect of increasing side length on the surface area: volume ratio of the cubes?
▶️ Answer/Explanation
Ans: C
Volume increases faster than surface area as side length increases (volume ∝ L³, surface area ∝ L²). Therefore, line 1 is volume and line 2 is surface area. As size increases, the surface area:volume ratio decreases, making C the correct choice.
Topic: 5.1
A human embryo consists of 12 cells at the start of day 1. The cells divide by mitosis for 4 complete days at a rate of 1 division every 32 hours.
What is the maximum number of cells in the embryo at the end of day 4?
▶️ Answer/Explanation
Ans: B
In 4 days (96 hours), with divisions every 32 hours, there will be 3 divisions (96/32). Starting with 12 cells: after 1st division → 24 cells, 2nd → 48 cells, 3rd → 96 cells. Therefore, the maximum number at day 4 is 96 cells.
Topic: 5.1
Which diagrams show roles of mitosis?

▶️ Answer/Explanation
Ans: A
All diagrams show mitosis roles: (1) growth, (2) repair, (3) asexual reproduction, and (4) embryonic development. Mitosis is responsible for producing genetically identical cells in all these processes, making A the correct answer.
Topic: 5.1
Which events are part of the mitotic cell cycle?
1. interphase
2. anaphase
3. cytokinesis
▶️ Answer/Explanation
Ans: A
The mitotic cell cycle includes interphase (cell growth/DNA replication), mitosis stages (including anaphase), and cytokinesis (cytoplasm division). All three listed events are integral parts of the complete cell cycle, making A the correct answer.
Topic: 6.1
Which statement correctly describes a feature of a DNA molecule?
▶️ Answer/Explanation
Ans: C
DNA has antiparallel strands (A is wrong). A-T pairs have two hydrogen bonds (B is wrong). The backbone is sugar-phosphate, not just phosphate (D is wrong). DNA ligase forms phosphodiester bonds during replication, making C correct.
Topic: 6.1
Which diagram correctly shows the replication of DNA?


▶️ Answer/Explanation
Ans: C
The correct diagram must show: antiparallel strands, leading strand continuous (S1), lagging strand as Okazaki fragments (S2), and replication forks moving in opposite directions. Only option C shows all these features correctly.
Topic: 6.2
The RNA codon wheel is a tool used to find which amino acid would be translated from an mRNA sequence.

Codon position 1 is in the centre of the wheel, codon position 2 is in the middle of the wheel and codon position 3 is near the edge of the wheel. The three letters on the outside edge of the wheel identify the amino acid.
The diagram shows a section of DNA coding for one amino acid. The template strand is outlined in a box and the DNA base sequence is read in the 5′ to 3′ direction.

Which amino acid is coded for by this section of DNA?
▶️ Answer/Explanation
Ans: C
The template strand is complementary to mRNA. If the DNA template is 3′-ACC-5′, mRNA will be 5′-UGG-3′. Using the codon wheel, UGG codes for Tryptophan (Trp). Therefore, the correct answer is C.
Topic: 7.1
Four students sketched diagrams of the apoplast pathway and the symplast pathway.
Which sketch is the most accurate diagram of the two pathways?
A. 
B. 
C. 
D. 
▶️ Answer/Explanation
Ans: D
The apoplast pathway goes through cell walls until the Casparian strip forces water into the symplast pathway. Option D correctly shows both pathways merging at the Casparian strip before reaching the xylem, making it the most accurate representation.
Topic: 7.2
The photomicrograph shows some xerophytic adaptations in leaf tissue.

Which row shows the correct functions for structures 1, 2 and 3?

▶️ Answer/Explanation
Ans: B
Xerophytes have multiple adaptations: stomatal pits (1) and hairs (2) reduce water vapor gradient, thick cuticle (3) reduces evaporation, and both hairs and pits trap moist air. Option B correctly matches all these functions to the structures.
Topic: 7.2
Which processes are required for the transfer of assimilates from a source cell into a phloem sieve tube?
▶️ Answer/Explanation
Ans: A
The transfer of assimilates (like sucrose) into the phloem involves multiple processes. Active transport is used to load sucrose against its concentration gradient, facilitated diffusion helps move sucrose through plasmodesmata, and simple diffusion allows passive movement where concentration gradients exist. Thus, the correct answer is A.
Topic: 7.2
When sucrose is loaded into the phloem it has to travel from mesophyll cells to a companion cell and then into the phloem.
Which row shows the relative concentrations of sucrose in each type of cell in order for this process to take place?

▶️ Answer/Explanation
Ans: B
Sucrose is actively transported from mesophyll cells (low concentration, e.g., 5) into companion cells (high concentration, e.g., 15) using ATP. It then moves into sieve tube elements (medium concentration, e.g., 10) via diffusion or active transport. This creates the necessary gradient for mass flow. Thus, the correct answer is B.
Topic: 7.2
Which feature of transport in plants is correct for xylem and phloem?
▶️ Answer/Explanation
Ans: B
Both xylem (water/minerals) and phloem (sucrose) rely on mass flow—bulk movement driven by pressure gradients. Xylem transport is passive (A is incorrect for phloem), phloem is bidirectional (D is incorrect), and “source to sink” (C) applies only to phloem. Thus, the correct answer is B.
Topic: 8.1
The diagram shows an anterior view of a vertical section through the human heart.

Which row shows the correct labels for the diagram?

▶️ Answer/Explanation
Ans: C
In the diagram: 1 is the pulmonary artery (carries deoxygenated blood to lungs), 2 is the semilunar valve (prevents backflow), 3 is the atrioventricular valve (e.g., bicuspid), and 4 is the vena cava (returns blood to the heart). Thus, the correct answer is C.
Topic: 8.1
What does the inner layer of veins and capillaries contain?
▶️ Answer/Explanation
Ans: C
The endothelium (a single layer of squamous cells) lines the inner surface of all blood vessels (veins, arteries, capillaries) to reduce friction. Collagen (A) and smooth muscle (D) are in outer layers, while elastic fibres (B) are in arteries. Thus, the correct answer is C.
Topic: 8.2
The graph shows the changes in blood pressure and water potential across a blood capillary from the arterial end of the capillary to the venous end of the capillary.

What could result in an accumulation of excess tissue fluid?
▶️ Answer/Explanation
Ans: B
Increased blood pressure would force more fluid out at the arterial end than can be reabsorbed at the venous end, leading to tissue fluid accumulation. The other options either promote reabsorption (A) or wouldn’t directly cause accumulation (C/D).
Topic: 8.2
Which statement is correct about a red blood cell that has just entered a capillary in a respiring muscle?
▶️ Answer/Explanation
Ans: D
In respiring muscles, CO₂ binds to hemoglobin forming carbaminohaemoglobin (D). Chloride ions actually increase (A is wrong), hemoglobinic acid increases (B is wrong), and carbonic anhydrase amount stays constant (C is wrong).
Topic: 8.1
The graph shows some blood pressure changes that occur in a human during one cardiac cycle.

When does systole start and end in the right atrium and in the right ventricle?
▶️ Answer/Explanation
Ans: A
Atrial systole begins at T (P wave on ECG) and ends at V (when pressure drops). Ventricular systole starts at V (QRS complex) and ends at X (when pressure falls below aortic pressure). This matches option A perfectly.
Topic: 9.1
Which statements about all bronchioles are correct?
▶️ Answer/Explanation
Ans: D
All bronchioles have epithelial cells (2) and smooth muscle (3), but only larger bronchioles have goblet cells (1 is wrong). Terminal bronchioles lack goblet cells, making D (2 and 3 only) correct.
Topic: 9.1
What is shown in the electron micrograph?

▶️ Answer/Explanation
Ans: B
The question describes a micrograph showing flattened cells (squamous epithelium) and distinctive biconcave red blood cells. Since SEM shows surface features and TEM shows internal structures, and the description matches lung alveoli, B is correct.
Topic: 10.1
Which statement correctly describes infectious diseases?
▶️ Answer/Explanation
Ans: D
Infectious diseases are caused by pathogens (like bacteria, viruses, fungi, or protists) and can be transmitted between individuals. Options A describes environmental diseases, B describes genetic disorders, and C describes deficiency diseases. Only D correctly defines infectious diseases.
Topic: 10.2
Organism X produces molecule Y, which blocks the activity of 70S ribosomes.
An experiment was carried out to investigate the effect of Y on bacterial cells.
An agar plate with bacteria growing all over its surface had four wells cut into the agar. Different substances were added to each well and the agar plate with bacteria was incubated for a week.
The diagram shows the results after a week.

Which conclusions can be made from these results?
▶️ Answer/Explanation
Ans: B
The experiment shows that intact cells of organism X didn’t inhibit bacterial growth, while the concentrated cytoplasmic solution did. This suggests Y can’t be released from intact cells (B). The antibiotic effect (A) is shown but not conclusively proven, and human ribosomes are 80S, so Y wouldn’t affect them (C).
Topic: 10.2
A patient has had repeated infections from the same pathogen over a few months. The patient has been treated with the same antibiotic on each occasion.
Which treatment could prevent an increase in the antibiotic resistance of the pathogen?
▶️ Answer/Explanation
Ans: C
Using a specific antibiotic after pathogen testing (C) targets the infection precisely, reducing resistance development. Higher doses (B) or broad-spectrum antibiotics (D) can promote resistance, and non-cellular pathogens (A) aren’t affected by antibiotics. Targeted treatment is most effective against resistance.
Topic: 11.1
A patient with kidney failure can be given a kidney transplant. In a kidney transplant, a healthy kidney is taken from another person and put into the patient’s body.
Sometimes the donated kidney cells are killed by the patient’s body. In this primary immune response, T-lymphocytes bind to antigens on the donated kidney cells and are activated.
The statements describe the next stages of the primary immune response.
1. Activated T-lymphocyte secretes cytokines.
2. B-lymphocytes differentiate into plasma cells and make antibodies.
3. T-killer cells bind to antigens on donor kidney cells.
4. T-killer cells release toxins that destroy the donor kidney cells.
5. T-lymphocytes multiply by mitosis and differentiate into T-killer cells.
Which order correctly explains how donor kidney cells are killed?
▶️ Answer/Explanation
Ans: B
The correct sequence is: (1) Activated T-cells secrete cytokines → (5) T-cells multiply and differentiate into killer cells → (3) Killer cells bind to antigens → (4) Killer cells release toxins to destroy donor cells. This represents the cell-mediated immune response to transplanted tissue.
Topic: 11.2
The diagram shows the simplified structure of an antibody.

Which statement is correct?
▶️ Answer/Explanation
Ans: B
The hinge region (V) provides flexibility, allowing both antigen-binding sites to attach to antigens simultaneously. The variable regions (U/X) bind antigens, but to identical ones (not different as in A). W is the constant region that binds to immune cells, not antigens (C). X is part of the antigen-binding site, not for phagocyte binding (D).
