Topic: 1.1
The diagram shows a transverse section through a blood capillary.

What is the magnification of the drawing?
▶️ Answer/Explanation
Ans: D
The actual size of a capillary is about 7 μm (micrometers). If the drawing shows this as 7 cm (70,000 μm), the magnification would be 70,000 ÷ 7 = ×10,000. Since this isn’t an option, the closest reasonable answer is D (×5000), as capillaries are microscopic structures requiring high magnification.
Topic: 2.1
Which statement explains why lymphocytes with no nucleoli die?
▶️ Answer/Explanation
Ans: D
Nucleoli are responsible for ribosome production. Without ribosomes (D), cells cannot synthesize proteins essential for survival. Other options are incorrect: ventricles (A) are heart structures, mitochondria (B) aren’t produced by nucleoli, and mRNA (C) is transcribed directly from DNA, not nucleoli.
Topic: 1.1
Density gradient centrifugation is used to separate cell structures by their relative density. Larger cell structures have greater density and sink further down the centrifuge tube.
What is the correct order of the cell structures, starting from the top of the centrifuge tube?
▶️ Answer/Explanation
Ans: D
In density gradient centrifugation, smaller/less dense structures remain near the top. The correct order from top (least dense) to bottom is: ribosomes (smallest) → mitochondria → chloroplasts → nuclei (largest and most dense). This matches option D.
Topic: 2.1
Which cell structures contain nucleic acids?
1 chloroplasts
2 Golgi bodies
3 lysosomes
4 ribosomes
▶️ Answer/Explanation
Ans: C
Chloroplasts (1) contain DNA (nucleic acid) for photosynthesis genes. Ribosomes (4) contain rRNA. Golgi bodies (2) and lysosomes (3) are membrane-bound organelles without nucleic acids. Therefore, only 1 and 4 contain nucleic acids, making C correct.
Topic: 2.3
The statements describe processes that take place in a secretory cell.
1 Modification of the protein occurs in the Golgi body.
2 mRNA leaves the nucleus.
3 Ribosomes bind to mRNA during translation.
4 Transcription of a specific DNA sequence occurs.
5 Vesicles fuse with the cell surface membrane.
6 Vesicles transport the protein to the Golgi body.
Statement 4 is the first process, and statement 5 is the last process.
What is the correct sequence of the middle four processes?
▶️ Answer/Explanation
Ans: B
The correct protein secretion sequence is: transcription (4) → mRNA export (2) → translation (3) → vesicle transport to Golgi (6) → protein modification (1) → exocytosis (5). Thus, the middle four processes are 2 → 3 → 6 → 1, matching option B.
Topic: 2.1
How many types of structures with a double membrane that are found in animal cells are also found in plant cells?
▶️ Answer/Explanation
Ans: B
The two double-membrane structures common to both animal and plant cells are the nucleus and mitochondria. Chloroplasts (plant-only) and other organelles either have single membranes or aren’t present in both. Thus, the correct answer is B (2).
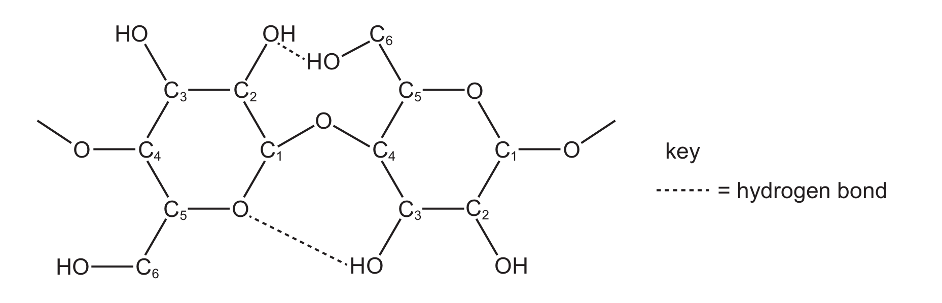
Topic: 2.2
A naturally occurring polysaccharide synthesised in a plant is a branched chain of α-glucose.
The straight parts of the molecule are linked by α-1,6 glycosidic bonds with only a small number of branches which are linked by either an α-1,3 glycosidic bond or an α-1,4 glycosidic bond.
Which polysaccharide has a structure most similar to that described?
▶️ Answer/Explanation
Ans: A
Amylopectin is the branched plant polysaccharide described, with α-1,4 links in straight chains and α-1,6 at branch points. Amylose (B) is unbranched, cellulose (C) has β-1,4 links, and glycogen (D) is animal storage with more frequent branching. Thus, the correct answer is A (amylopectin).
Topic: 2.2
The diagram shows a triglyceride.

An enzyme was used to digest this triglyceride into glycerol and fatty acids.
Which scatter plot correctly represents each fatty acid component of the triglyceride?
▶️ Answer/Explanation
Ans: B
The triglyceride shown has three fatty acids of different lengths (15-20 carbons) and varying unsaturation (0-2 double bonds). Graph B correctly shows this variation, with points scattered across carbon numbers and double bond counts. The other graphs either show incorrect patterns or identical fatty acids. Thus, the correct answer is B.
Topic: 2.2
The diagram shows how the alternating nature of β-glucose monomers along a chain allows hydrogen bonds to form between consecutive monomers.

Hydrogen bonds in cellulose affect the tensile strength (the ability to withstand pulling forces without breaking).
How do the hydrogen bonds shown in the diagram help cellulose function as a suitable material for a cell wall?
▶️ Answer/Explanation
Ans: A
The hydrogen bonds shown form within a single cellulose chain (intramolecular), strengthening the polymer backbone itself. While intermolecular bonds (B/C/D) exist between chains, the diagram specifically shows intramolecular bonds that reinforce individual molecules. Thus, the correct answer is A.
Topic: 2.2
Two solutions, 1 and 2, each contained a mix of two different biological molecules. One solution contained starch and sucrose, and the other contained glucose and protein.
The two solutions were tested with a variety of reagents to identify the presence of the biological molecules in the solution.
The table shows the results recorded for the various tests.
Which row identifies the two solutions?
▶️ Answer/Explanation
Ans: C
Solution 1 (starch + sucrose) should show positive iodine (starch) and negative Benedict’s (sucrose non-reducing), but positive after hydrolysis (sucrose breaks into glucose+fructose). Solution 2 (glucose + protein) shows negative iodine, positive Benedict’s (glucose reducing), and positive biuret (protein). Only row C matches this pattern. Thus, the correct answer is C.
Topic: 2.2
The diagrams show parts of three pairs of amino acids within a protein. The pairs are labelled X, Y and Z.

Which row shows the correct type of interaction that would occur between the two amino acids in each pair?

▶️ Answer/Explanation
Ans: B
Pair X shows hydrogen bonding between C=O and H groups. Pair Y shows hydrophobic interaction between methyl groups. Pair Z shows ionic bonding between NH3+ and C=O groups. Thus, option B correctly matches all three interactions.
Topic: 3.1
A student carried out investigations at pH 1-8 to look at the effect of pH on an enzyme-catalysed reaction. The optimum condition for this enzyme is the acidic environment of the stomach at pH 1-2. The remaining substrate concentration was measured after five minutes at each different pH.
Which graph shows the effect of increasing pH on substrate concentration remaining after five minutes?
▶️ Answer/Explanation
Ans: A
At optimum pH (1-2), enzyme activity is highest, so substrate concentration decreases sharply. As pH increases beyond optimum, enzyme denatures gradually, leading to less substrate breakdown and higher remaining substrate concentration. Graph A correctly shows this pattern.
Topic: 3.1
Which statement is correct for a non-competitive inhibitor?
▶️ Answer/Explanation
Ans: C
Non-competitive inhibitors bind to allosteric sites, reducing Vmax (maximum reaction rate) by decreasing active enzyme concentration. They don’t affect substrate binding affinity, so the Michaelis-Menten constant (Km) remains unchanged, making C the correct statement.
Topic: 3.1
Pyrophosphatase enzymes catalyse a hydrolysis reaction:

In experiment 1, a scientist studied the rate of this reaction using a colorimeter. The absorbance was measured until all pyrophosphate ions were converted. In experiment 2, the procedure was repeated with higher pyrophosphatase concentration.
Which graph shows the effect of increasing the concentration of pyrophosphatase?
▶️ Answer/Explanation
Ans: C
Higher enzyme concentration increases reaction rate, causing faster conversion of substrate (pyrophosphate) to product (phosphate). Both experiments start with same substrate concentration (same initial absorbance) but experiment 2 reaches completion (zero absorbance) faster, matching graph C.
Topic: 3.1
Proteases are a group of enzymes that digest proteins. Which statements about proteases are correct?
- A bacterial protease that is secreted from a disease-causing bacterium could act as an antibody and cause the production of antigens against it.
- Non-competitive inhibition of a protease that has an optimum condition of pH 2 can be overcome by increasing the substrate concentration and increasing the pH.
- Water molecules are required when peptide bonds that link the monomers together are broken by the action of proteases in hydrolysis reactions.
▶️ Answer/Explanation
Ans: D
Statement 1 is incorrect – proteases act as antigens, not antibodies. Statement 2 is wrong – non-competitive inhibition can’t be overcome by substrate concentration. Only statement 3 is correct – hydrolysis requires water to break peptide bonds. Therefore, the correct answer is D (3 only).
Topic: 4.1
The diagram shows part of a cell surface membrane.

Which row correctly identifies the molecules labelled 1 and 2?

▶️ Answer/Explanation
Ans: C
In the cell membrane, glycoproteins (1) are proteins with carbohydrate chains attached, extending from the surface. The phosphate heads (2) of phospholipids form the outer layer of the membrane bilayer. Glycolipids (D) would have lipid tails, and lipoprotein (B) isn’t a standard membrane component. Thus, C is correct.
Topic: 4.1
The diagram shows the mean dimensions of an epithelial cell in micrometres (µm).

Which row shows the surface area to volume ratio of the epithelial cell and how the surface area to volume ratio of the cell would change if the cell width doubled?

▶️ Answer/Explanation
Ans: C
Surface area = 2(2×3 + 2×8 + 3×8) = 92 µm². Volume = 2×3×8 = 48 µm³. Ratio = 92:48 ≈ 23:12. When width doubles (4 µm), new ratio = 136:96 ≈ 17:12, which is smaller. Thus, C (23:12, decreases) is correct.
Topic: 4.2
Which diagram shows the correct direction of net water movement between the four cells due to osmosis?

A. 
B. 
C. 
D. 
▶️ Answer/Explanation
Ans: A
Water moves from higher (less negative) to lower (more negative) water potential. In option A, water correctly moves from -22 kPa (highest) to -40 kPa (lowest), with intermediate flows between -36 kPa and -33 kPa. Other options show incorrect flow directions against the potential gradient.
Topic: 4.1
An investigation was carried out into the effect of four different treatments on the permeability of the cell surface membranes and tonoplasts of beetroot cells. Beetroot cell vacuoles contain a red pigment. This pigment cannot diffuse through the tonoplasts or cell surface membranes.
1 cm³ cubes were cut from beetroot tissue and washed in running water for 20 minutes to remove any pigment released from damaged cells.
Two cubes were then placed in each of the four test-tubes containing different contents and observed for five minutes.
Which row shows a correct explanation for the observation recorded for one of the treatments?

▶️ Answer/Explanation
Ans: B
Ethanol dissolves membrane lipids, causing pigment release (red color). Acid (A) would denature proteins but also likely damage membranes. Cold water (C) wouldn’t denature proteins, and hot water (D) primarily affects protein structure, not just lipids. Thus, B provides the correct explanation.
Topic: 5.1
The photomicrograph shows a stage of mitosis.

What would be correct for the next stage in mitosis?

▶️ Answer/Explanation
Ans: A
The question describes anaphase (chromatids separating). The next stage is telophase where chromatids are fully separated (not attached) and nuclear membranes reform around daughter nuclei. However, the membrane isn’t fully formed yet, so A (no, not present) is correct for early telophase.
Topic: 5.1
What are the correct roles of mitosis?

▶️ Answer/Explanation
Ans: D
Mitosis is responsible for growth (including stem cells) and repair/replacement of cells (like skin cells). However, stem cell growth occurs through asymmetric division, not regular mitosis. The table shows only option D correctly identifies replacing lost skin cells (✓) while correctly marking stem cell growth as not correct (✗).
Topic: 5.1
Which row about the stages of the mitotic cell cycle is correct?

▶️ Answer/Explanation
Ans: D
DNA ligase is used during DNA replication in the S phase to join Okazaki fragments. RNA polymerase is active during G₁ phase for protein synthesis. The other options incorrectly place these enzymes in phases where they’re not primarily active.
Topic: 6.1
Which statements describe how a gene mutation can lead to the production of a non-functional protein?
1 During transcription, an incorrect nucleotide is added to a DNA molecule.
2 The mutated gene results in a new codon being transcribed.
3 The order of the bases in an anticodon on tRNA is altered during translation.
▶️ Answer/Explanation
Ans: D
Only statement 2 is correct – a mutated gene can produce a new codon that changes the amino acid sequence. Statement 1 is incorrect because transcription uses RNA nucleotides, not DNA. Statement 3 is incorrect as tRNA anticodons are not altered during translation.
Topic: 5.1
There are 64 chromosomes in the muscle cells of a particular mammal.
How many DNA molecules are present in a cell during early prophase and telophase of mitosis?

▶️ Answer/Explanation
Ans: C
In early prophase, DNA has replicated (128 molecules) but chromosomes haven’t separated. In telophase, chromosomes have separated but are still in one cell (128 molecules) until cytokinesis completes. The diploid number (64) refers to chromosomes, not DNA molecules during replication.
Topic: 6.1
The diagram shows the nucleotide sequence of a small section of the transcribed strand of a gene.

The table shows the amino acids coded for by 10 mRNA codons.

What is the sequence of the four amino acids in the polypeptide translated from this small section of a gene?
▶️ Answer/Explanation
Ans: C
The transcribed strand is GCG CGC GGC GCG. The mRNA will be complementary (CGC GCG CCG CGC). Using the table: CGC=Arg, GCG=Ala, CCG=Pro, CGC=Arg. Thus the sequence is Arg-Ala-Pro-Arg. Option C matches this sequence exactly.
Topic: 6.1
How many hydrogen bonds form when adenine and cytosine each bind to their complementary bases?
▶️ Answer/Explanation
Ans: B
Adenine pairs with thymine (or uracil in RNA) forming 2 hydrogen bonds, while cytosine pairs with guanine forming 3 hydrogen bonds. Thus, the correct answer is B (2 for adenine, 3 for cytosine).
Topic: 7.1
Which statement correctly identifies the movement of sucrose and amino acids in plant vascular tissue?
▶️ Answer/Explanation
Ans: A
Sucrose and amino acids are transported in the phloem from source (e.g., leaves) to sink (e.g., roots or fruits) via mass flow, which can occur in both upward and downward directions. Thus, the correct answer is A.
Topic: 7.1
Xylem vessel elements are specialised cells that are adapted for the transport of water. Which statement correctly matches an adaptation of a xylem vessel element to its function?
▶️ Answer/Explanation
Ans: C
The hydrophilic cellulose walls of xylem vessels form hydrogen bonds with water, enabling adhesion and helping water move upward. Other options are incorrect: xylem vessels are dead (A/B are irrelevant), and they lack plasmodesmata (D). Thus, the correct answer is C.
Topic: 7.1
A student makes an accurate labelled plan diagram of a section of a leaf containing a vascular bundle. Which statement correctly describes part of their plan diagram?
▶️ Answer/Explanation
Ans: B
In a leaf’s vascular bundle, xylem is typically positioned closer to the upper epidermis, while phloem is near the lower epidermis. A plan diagram would reflect this division (B). Sieve tubes (C) and lignin (D) are not visible in plan diagrams, and labels (A) are excessive for a plan. Thus, the correct answer is B.
Topic: 8.1
Some babies are born with a hole between the right and left atria. These babies are found to have an increased number of red blood cells.
What is the reason for this increase in red blood cells in these babies?
▶️ Answer/Explanation
Ans: D
The hole between atria causes oxygenated and deoxygenated blood to mix, reducing oxygen delivery to tissues. The body compensates by producing more red blood cells to improve oxygen transport (D). Options A/B/C are unrelated to the condition. Thus, the correct answer is D.
Topic: 8.2
An increase in carbon dioxide in human blood shifts the oxyhaemoglobin dissociation curve to the right.
What is the explanation for this effect?
▶️ Answer/Explanation
Ans: D
Increased CO2 lowers blood pH (more H+ ions), reducing haemoglobin’s oxygen affinity (Bohr effect). This rightward shift helps oxygen unloading in tissues needing it most. Other options describe different phenomena unrelated to the curve shift.
Topic: 8.1
‘Heart block’ is a disease which can result in a lower than normal heart rate. A doctor treating a person with heart block found that electrical impulses were initiated as normal but were not correctly conducted to the ventricles, so the rate of ventricular contraction was slowed.
Which parts may not be functioning correctly in the person with heart block?
1. atrioventricular node (AVN)
2. Purkyne tissue
3. sinoatrial node (SAN)
▶️ Answer/Explanation
Ans: A
Since impulses start normally (SAN working), but ventricular conduction fails, the issue lies with the AV node (1) and/or Purkyne tissue (2) that relay signals to ventricles. SAN (3) is functioning as stated.
Topic: 8.3
The pumping action of the heart creates hydrostatic pressure in the blood. The table shows the hydrostatic pressure in a blood capillary.

About 90% of the tissue fluid which surrounds a capillary is returned to the blood at the venule end.
How is this achieved?
▶️ Answer/Explanation
Ans: D
At the venule end, lower hydrostatic pressure allows plasma proteins to create osmotic pressure, pulling water back into capillaries. Other options are incorrect: permeability is similar (A), tissue fluid pressure is lower (B), and blood has more solutes (C).
Topic: 9.1
What is the function of cilia in the gas exchange system?
▶️ Answer/Explanation
Ans: B
Cilia beat rhythmically to move mucus (produced by goblet cells) upward, clearing trapped particles (D). Surface area is increased by alveoli (A), and mucus production is by goblet cells (C).
Topic: 9.1
Which tissues are present in the walls of a trachea and an alveolus?

▶️ Answer/Explanation
Ans: A
Trachea has ciliated epithelium with goblet cells and smooth muscle (for coughing). Alveoli lack both, having thin squamous epithelium for gas exchange. Only option A matches this correctly.
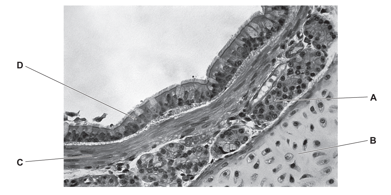
Topic: 9.1
The photomicrograph shows part of a bronchus.
Which label identifies cartilage?
▶️ Answer/Explanation
Ans: B
In the bronchus, cartilage appears as C-shaped rings that provide structural support. The label B correctly identifies this characteristic cartilage structure, while label A likely points to other tissues like smooth muscle or epithelium.
Topic: 10.1
Which structures or compounds are present in a typical cell that can be killed by penicillin?
1. circular DNA
2. cytoplasmic DNA
3. 70S ribosomes
4. peptidoglycan
▶️ Answer/Explanation
Ans: A
Penicillin targets bacterial cells, affecting their circular DNA (1), cytoplasmic DNA (2), 70S ribosomes (3), and peptidoglycan cell walls (4). It inhibits cell wall synthesis (peptidoglycan) and disrupts bacterial protein synthesis (70S ribosomes), while bacterial DNA (circular/cytoplasmic) is also affected during cell death.
Topic: 11.1
Three statements about cholera and its transmission are listed.
1. The pathogen causes watery faeces.
2. Frequent air flight has led to mobile populations.
3. The pathogen is transmitted through water.
Which statements are reasons why outbreaks of cholera are likely to occur?
▶️ Answer/Explanation
Ans: A
All three factors contribute to cholera outbreaks: Watery feces (1) spreads contamination, mobile populations (2) carry the disease globally, and water transmission (3) enables rapid spread in areas with poor sanitation. Thus, the correct answer is A (1, 2, and 3).
Topic: 11.2
What will be produced by the division of memory cells during a secondary immune response?
▶️ Answer/Explanation
Ans: B
During a secondary immune response, memory B cells rapidly divide and differentiate into plasma cells (B), which produce antibodies. The other options (macrophages, neutrophils, monocytes) are part of the innate immune system and not produced by memory cell division.
Topic: 11.2
A vaccine is used to give immunity to the virus that causes the disease influenza.
A new influenza vaccine is needed every year because the virus mutates regularly.
What is the reason for needing a new influenza vaccine every year?
▶️ Answer/Explanation
Ans: D
Influenza viruses undergo antigenic drift, changing their surface antigens (D). This makes existing memory cells ineffective against new strains, requiring updated vaccines. The other options (A/B/C) describe immune system limitations, not the primary reason for annual vaccine updates.
