Section A
For each question there are four possible answers A, B, C and D. Choose the one you consider to be correct.
Use of the Data Booklet may be appropriate for some questions.
Question
What number of protons, neutrons and electrons are present in the ion \(^{54}Fe^{3+}\)

▶️Answer/Explanation
Ans:C
Question
For which hydrocarbon are the molecular and empirical formulae the same?
A butane
B ethane
C pent-1-ene
D propane
▶️Answer/Explanation
ANS:D
Question:
Which molecule does not have any 90° or 180° bond angles?
A \(C_{2}H_{6}\) B \(CO_{2}\) C \(PF_{5}\) D \(SF_{6}\)
▶️Answer/Explanation
A
Question:
The following data are needed for this question.
\(NaHCO_{3}(s)~+~ HC \imath(aq)\rightarrow NaC \imath(aq)~+~H_{2}O(l)~+~CO_{2}g ~~~\Delta H = 38.97 kJ~mol^{-1}\)
On heating, sodium hydrogencarbonate decomposes as shown
\(NaHCO_{3}(s)\rightarrow Na_{2}CO_{3}(s)~+~H_{2}O(l)+CO_{2}(g)\)
What is the enthalpy change for this decomposition?
A \(-57.62kJ~mol^{-1}\)
B \(-18.65kJ~mol^{-1}\)
C \(18.65kJ~mol^{-1}\)
D \(57.62kJ~mol^{-1}\)
▶️Answer/Explanation
Ans:C
Question:
In the redox reaction shown, how do the oxidation states of vanadium and sulfur change?
\(VO_{2}^{~+}+SO_{2}\rightarrow V^{3}+SO_{4}^{~2-}\)

▶️Answer/Explanation
Ans:D
Question:
The equation for the reaction between silver chloride and aqueous ammonia is shown.
\(AgC \imath(s)+2NH_{3}(aq)\rightleftharpoons [ag(NH_{3})_{2}]^{+}(aq)~+~C\imath^{-}(aq)\)
What are the units of \(K_{c}\) for this reaction?
A no units B \(mol^{-1}dm^{3}\) C \(mol^dm^{3}\) D \(mol^{2}dm^{-6}\)
▶️Answer/Explanation
Ans: A
Question:
Sodium azide, \(NaN_{3}\), decomposes as shown.
\(2NaN_{3}\rightarrow 2Na+3N_{2}\)
Which volume of nitrogen, measured at room temperature and pressure, will be produced by the decomposition of 150 g of sodium azide?
A \(166dm^{3}\) B \(83dm^{3}\) C \(55dm^{3}\) D \(37dm^{3}\)
▶️Answer/Explanation
Ans:B
Question:
A stable ion \(N_{5}^{~+}\) has been produced by research chemists. Which structure is most likely to show the electron arrangement of this ion?

▶️Answer/Explanation
Ans:B
Question:
1.8 g of water, heated to 227 °C in a sealed container, turns to steam with a pressure of 200 kPa.
What is the approximate volume of the container?
A \(9~x~10^{-4}m^{3}\) B \(2~x~10^{3}m^{3}\) C \(2m^{3}\) D \(8~x~10^{7}m^{3}\)
▶️Answer/Explanation
Ans:C
Question:
When the equation is correctly balanced, what is the value of c?
\(aC_{2}H_{4}~+~bH_{2}O~+~cH^{+}~+~2MnO_{4}^{~-}\rightarrow dC_{2}H_{6}O_{2}~+~eMn^{2+}\)
A 3 B 4 C 5 D 6
▶️Answer/Explanation
Ans:D
Question:
The main stage in the Contact process is an equilibrium reaction.
\(2SO_{2}~+~O_{2}\rightleftharpoons 2SO_{3}\)
Which row describes the effect of the named condition on the equilibrium yield?

▶️Answer/Explanation
Ans:B
Question:
X and Y are oxides of different Period 3 elements. If one mole of X is added to water, the solution formed is neutralised by exactly one mole of Y. What could be the identities of X and Y?

▶️Answer/Explanation
Ans:D
Question:
Compound Z is insoluble in water but soluble at low pH. What could be compound Z?
A barium carbonate
B barium chloride
C barium hydroxide
D barium sulfate
▶️Answer/Explanation
Ans:A
Question:
Hot aqueous sodium hydroxide reacts with chlorine.
\(6NaOH(aq)~+~3C\imath_{2}(g)\rightarrow 5NaC \imath~+~NaC \imath O_{3}(aq)~+~3H2O(l)\)
Which statement is correct?
A The oxidation numbers of chlorine and hydrogen both change in the reaction.
B The oxidation numbers of chlorine in the products are –1 and +1.
C If the aqueous sodium hydroxide is cold the reaction produces NaClO instead of NaClO3.
D Sodium undergoes disproportionation in this reaction.
▶️Answer/Explanation
Ans:C
Question:
Solid ammonium nitrate is put into a test-tube and solution X is added to it. The resulting mixture
is warmed and the gas given off is tested with damp red litmus paper. The litmus paper changes
colour from red to blue. What could be the identity of X and its role in the reaction?

▶️Answer/Explanation
Ans:B
Question:
Sodium, magnesium and aluminium are three elements in Period 3 of the Periodic Table. Each element forms an oxide. Which row is correct?

▶️Answer/Explanation
Ans:D
Question:
A student investigates calcium nitrate crystals by heating them in the apparatus shown. A colourless gas leaves the apparatus at Y. A flame is held to this gas.

Which observations would the student make?
▶️Answer/Explanation
Ans:D
Question:
How does concentrated sulfuric acid behave when it reacts with sodium chloride?
A as an acid only
B as an acid and oxidising agent
C as an oxidising agent only
D as a reducing agent only
▶️Answer/Explanation
Ans:A
Question:
Which statement about nitrogen or its compounds is correct?
A In the Haber process the temperature is kept high to give a good equilibrium yield of
ammonia.
B Nitrogen gas is unreactive because of the strong nitrogen–nitrogen double bond.
C Nitrogen monoxide will react with carbon monoxide under suitable conditions.
D The formula of ammonium sulfate is \(NH_{4}SO_{4}\).
▶️Answer/Explanation
Ans:C
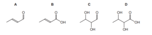
Question:
Which pair of compounds are functional group isomers of each other?
A butan-1-ol and butanal
B ethylpropanoate and pentanoic acid
C hex-1-ene and hex-2-ene
D propylamine and propanenitrile
▶️Answer/Explanation
Ans:B
Question:
Which row identifies a suitable starting material and reagent that can be used to produce butanenitrile?

▶️Answer/Explanation
Ans:B
Question:
The diagram shows the structure of ethanedioic acid.

Ethanedioic acid reacts with ethanol in the presence of a few drops of concentrated sulfuric acid
to form a diester. The molecular formula of the diester is \(C_{6}H_{10}O_{4}\)
What is the structural formula of the diester?
A \(CH^{3}CH_{2}CO_{2}CO_{2}CH_{2}CH^{3}\)
B \(CH^{3}CH_{2}OCOCO_{2}CH_{2}CH_{3}\)
C \(CH_{3}CH_{2}O_{2}CO_{2}CCH_{2}CH_{3}\)
D \(CH_{3}CO_{2}CH_{2}CH_{2}OCOCH_{3}\)
▶️Answer/Explanation
Ans:B
Question:
The infrared spectrum shown was obtained from a compound J.

Which statement about J is correct?
A Both C=O and C≡N are present.
B Neither C=O nor C≡N are present.
C C=O is present but not C≡N.
D C≡N is present but not C=O.
▶️Answer/Explanation
Ans:C
Question:
A section of a polymer chain is shown.

What is the correct monomer?

▶️Answer/Explanation
Ans:A
Question:
Structural isomerism and stereoisomerism should be considered when answering this question.
How many non-cyclic isomers have the molecular formula \(C_{5}H_{10}\)
A 3 B 4 C 5 D 6
▶️Answer/Explanation
Ans:D
Question:
An excess of dry HBr is warmed with compound Y.

What is the major product of the reaction?

▶️Answer/Explanation
Ans:C
Question:
Which reaction would produce propanoic acid as one of its products?
A heating \((CH_{3})_{2}C=CHCH_{2}CH_{3}\) with concentrated, acidified \(kMnO_{4}\)
B heating \(CH_{3}CH_{2}CO_{2}CH_{2}CH_{2}CH_{3}\) with NaOH(aq)
C heating \(CH_{3}CH_{2}OH\) with acidified \(K_{2}Cr_{2}O_{7}\) under reflux
D reacting \(CH_{3}CHO\) with HCN then heating the organic product with \(H_{2}SO_{4}(aq)\)
▶️Answer/Explanation
Ans:A
Question:
Compound X is treated with an excess of lithium aluminium hydride. The reaction is allowed to go to completion.

What is the structure of the organic product?

▶️Answer/Explanation
Ans:D
Question:
What is the skeletal formula of the compound formed when \(CH_{3}CH=CHCH_{2}OH\) is heated, under
reflux, with \(K_{2}Cr_{2}O_{7}/H^{+}\)?

▶️Answer/Explanation
Ans:B
Question:
The diagram shows the structure of compound Q.

Two of the rings, X and Y, contain a C=C bond. Which row is correct?

▶️Answer/Explanation
Ans:D
Question:
Carbon and nitrogen are adjacent in the Periodic Table.
Which properties do they both have?
1 There is an empty 2p orbital in each atom of the element.
2 The principal quantum number of the highest occupied orbital is 2.
3 They can form compounds in which their atoms form four bonds.

▶️Answer/Explanation
Ans:C
Question:
The strong hydrogen bonding present in liquid water causes an increase in which properties?
1 viscosity
2 boiling point
3 surface tension

▶️Answer/Explanation
Ans:A
Question:
A reaction between carbon and oxygen is shown.
\(C(s)~+~\frac{1}{2}O_{2}g\rightarrow CO(g)\)
How can the standard enthalpy change of this reaction be described correctly?
1 standard enthalpy change of formation
2 standard enthalpy change of combustion
3 standard enthalpy change of atomisation

▶️Answer/Explanation
Ans:D
Question:
Hydrochloric acid reacts with zinc
\(1HC \imath(aq)~+~Zn(s)\rightarrow ZnC\imath_{2}(aq)~+~H_{2}g\)
What will increase the rate of this reaction but will not change the Boltzmann distribution of molecular energies?
1 addition of a suitable catalyst
2 an increase in concentration of hydrochloric acid
3 an increase in temperature of hydrochloric acid

▶️Answer/Explanation
Ans:B
Question:
The element astatine, At, is below iodine in Group 17 of the Periodic Table. Which statements concerning At are likely to be correct?
1 It is a dark-coloured solid at room temperature.
2 It is a more powerful oxidising agent than iodine.
3 Its hydride is more thermally stable than HBr.

▶️Answer/Explanation
Ans:D
Question:
Which statements are correct?
1 Aluminium chloride dissolves in water to give an acidic solution.
2 Magnesium chloride dissolves in water to give a solution of pH close to 7.
3 Sodium chloride dissolves in water to give an alkaline solution.

▶️Answer/Explanation
Ans:B
Question:
Ethanal and hydrogen cyanide react together. The reaction mechanism involves cyanide ions
![]()
Which statements about this mechanism are correct?
1 CN– acts as a catalyst.
2 CN– is a nucleophile.
3 It is an addition reaction

▶️Answer/Explanation
Ans:A
The responses A to D should be selected on the basis of

No other combination of statements is used as a correct response
Question:
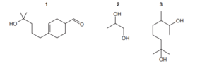
Which compounds will produce a yellow precipitate with alkaline aqueous iodine?


▶️Answer/Explanation
Ans:C
Question:
Which statements apply to tetrafluoromethane?
1 It is rapidly decomposed by ultraviolet radiation.
2 It is less harmful to the ozone layer than dichlorodifluoromethane.
3 It is a non-polar molecule.

▶️Answer/Explanation
Ans:C
Question:
Which statements comparing ethene and ethane are correct?
1 The bond angles in ethene are larger than the bond angles in ethane.
2 Ethene reacts much more quickly with bromine in the dark than ethane does.
3 Complete combustion of 0.01 mol of ethene or ethane produces the same volume of gas measured at room temperature and pressure

▶️Answer/Explanation
Ans:A

