9701_m21_qp_42-NehaS
Question
(a) The most common oxidation states of cobalt are +2 and +3.
Complete the electronic configurations of the following free ions.
● Co2+ [Ar]
● Co3+ [Ar]
(b) Co2+ and Co3+ both form complexes with edta4-.

Use the data in the table to predict what happens, if anything, when separate aqueous solutions of Co3+ and [Co(edta)]– are left to stand in the air.
(c) Hydrated cobalt(II) nitrate, Co(NO3)2•6H2O, is a red solid that behaves like hydrated
magnesium nitrate, Mg(NO3)2•6H2O, when heated.
Describe in detail what you would expect to observe when crystals of Co(NO3)2•6H2O are
heated in a boiling tube, gently at first and then more strongly.
(d) Explain why the thermal stability of the Group 2 nitrates increases down the group.
Answer/Explanation
Answer: (a) Co2+ = [Ar] 3d7(4s0)
Co3+ = [Ar] 3d6 (4s0)
(b) M1/2: Any two of:
• Co3+ is reduced Co2+
• oxygen gas/O2 is evolved
• E of Co3+ greater than E of O2
M3: no change (to [Co(edta)]–) / not feasible OWTTE
(c) Any two of VISUAL observations:
• condensation on tube / steam evolved
• brown fumes / brown gas evolved
• O2 formed that relights a glowing splint
• (solid) dissolves / turns to liquid
(d) M1: cationic radius / ion size increases (down the group)
M2: less polarisation / distortion of nitrate ion / anion / NO3–
Question
(a) Iron(II) compounds are generally only stable in neutral, non-oxidising conditions.
It is difficult to determine the lattice energy of FeO experimentally.
(i) Use data from the Data Booklet and this Born–Haber cycle to calculate the lattice energy, ∆Hlatt, of FeO(s) in kJmol-1.

(ii) Most naturally occurring samples of iron(II) oxide are found as the mineral wüstite.
Wüstite has formula Fe20Ox. It contains both Fe2+ and Fe3+ ions.
90% of the iron is present as Fe2+ and 10% is present as Fe3+.
Deduce the value of x.
(iii) State and explain how the lattice energy of FeO(s) compares to the lattice energy of
CaO(s).
(b) Heating of FeO results in the formation of Fe3O4, as shown.
reaction 1 \(4FeO \rightarrow Fe + Fe_{3}O_{4}\)
Each formula unit of Fe3O4 contains one Fe2+ and two Fe3+ ions.
(i) Show how reaction 1 can be described as a disproportionation reaction.
Fe3O4(l) can be electrolysed using inert electrodes to form Fe.
(ii) Write the half-equation for the reaction that occurs at the anode during the electrolysis of
Fe3O4(l).
(iii) Calculate the maximum mass of iron metal formed when Fe3O4(l) is electrolysed for
six hours using a current of 50A.
Assume the one Fe2+ and two Fe3+ ions are discharged at the same rate.
(c) LiFePO4 can be used in lithium-ion rechargeable batteries.
When the cell is charging, lithium reacts with a graphite electrode to form LiC6.
When the cell is discharging, the half-equations for the two processes that occur are as follows.
anode half-equation \(LiC_{6} \rightarrow 6C + Li^{+} + e^{-}\)
cathode half-equation \(Li^{+} + FePO_{4} + e^{-} \rightarrow LiFePO_{4}\)
(i) State one possible advantage of developing cells such as lithium-ion rechargeable
batteries.
(ii) Use the cathode half-equation to determine the change, if any, in oxidation states of lithium
and iron at the cathode during discharging.

(iii) Write the equation for the overall reaction that occurs when this cell is discharging.
Answer/Explanation
Answer: (a)(i) M1 the only number extracted: 762, 1560, 496 M2 correct multiplier, other four numbers used and calculation to the answer
–272 = +416 + 1⁄2(496) + 762 + 1560 –141 + 798 + ΔHlattice ∴ ΔHlattice = –3915 (kJ mol-1) ecf
(a)(ii) 20 × [0.9(+2) + 0.1(+3)] –2x = 0 ∴ x = 21
(a)(iii) • FeO more exothermic/more negative • Fe2+ has smaller radius/higher charge density (also same charge)
• greater attraction/ stronger ionic bonds (between Fe2+ and O2-)
All three for two marks
(b)(i) •Fe2+ reduced to Fe OR oxid no. Fe +2 → 0
• Fe2+ oxidised to Fe3+ (in Fe3O4) OR oxid no. Fe +2 → +3 BOTH bullets required
(b)(ii) 2O2- → O2 + 4e–
(b)(iii) M1: coulombs and correct use of ÷ 96500 M2: correct use of 3 and 8
M3: correct use of 55.8 and answer
M1: Q = It = 50 × 6 × 60² OR 1.08 × 106 C AND no. of faraday = 1.08 × 106 ÷ 96500 OR 11.2 / 11.19 mol e–
M2: Fe2+ + 2Fe3+ + 8e– → 3Fe
∴ moles of Fe = 3 / 8 × M1 = 4.20 mol Fe ecf
M3: mass of Fe = 55.8 × M2 = 234.2 g ecf 3sf min
(c)(i) Any one of: small size / compact, low mass, high voltage OWTTE
(c)(ii) Li from +1 to +1
Fe from +3 to +2
(c)(iii) LiC6 + FePO4 → LiFePO4 + 6C
Question
Iodates are compounds that contain the IO3– anion.
(a) The IO3– anion is shown.

Explain, with reference to the qualitative model of electron-pair repulsion, why the IO3– anion has a pyramidal shape.
(b) The reaction of iodine and hot aqueous sodium hydroxide is similar to that of chlorine and hot aqueous sodium hydroxide. Sodium iodate, NaIO3, is formed as one of the products.
Suggest an equation for the reaction of iodine and hot aqueous sodium hydroxide.
(c) The decomposition of hydrogen peroxide, H2O2, is catalysed by acidified IO3–. H2O2 reduces acidified IO3– as shown.
\(5H_{2}O_{2} + 2H^{+} + 2IO_{3}^{-} \rightarrow I_{2} + 5O_{2} + 6H_{2}O\)
This reaction is followed by the oxidation of I2 by H2O2.

(i) Use the data to show that the separate reactions of H2O2 with IO3– and with I2 are both feasible under standard conditions.
In your answer, give the equation for the reaction of H2O2 with I2.
(ii) Write the overall equation for the decomposition of H2O2 catalysed by acidified IO3– .
(d) A student collects some data for the reaction of H2O2 with acidified IO3– , as shown in the table.

(i) Use the data to determine the order of reaction with respect to [H2O2], [IO3–] and [H+].
Show your reasoning.
(ii) Use your answer to (d)(i) to write the rate equation for this reaction.
(iii) Calculate the value of the rate constant, k, using data from experiment 4 and your answer
to (d)(ii).
Give the units of k.
(e) Pb(IO3)2 is only sparingly soluble in water at 25°C.
The solubility product, Ksp, of Pb(IO3)2 is 3.69 × 10–13mol³ dm-9 at 25°C.
(i) Write an expression for the solubility product of Pb(IO3)2.
(ii) Calculate the solubility, in moldm-3, of Pb(IO3)2 at 25°C.
(f) NH4IO3 is an unstable compound that readily decomposes when warmed. The decomposition
reaction is shown.
\(NH_{4}IO_{3}(s) \rightarrow \frac{1}{2}N_{2} (g)+ \frac{1}{2}N_{2}(g) +\frac{1}{2}I_{2}(g) + 2H_{2}O(l)\) ΔH = -154.6kJ mol-1
(i) Use the data in the table to calculate the entropy change of reaction,∆S, of the decomposition of NH4IO3(s).

(ii) This reaction is feasible at all temperatures.
Explain why, using the data in (f) and your answer to (f)(i).
Answer/Explanation
Answer: (a) 3 bonding-pair centres and one lone pair (on iodine)
(b) 3I2 + 6NaOH → NaIO3 + 5NaI + 3H2O
(c)(i) M1: Eθcell for IO3– / H2O2 = –0.68 + 1.19 = +0.51 ( ∴ feasible)
M2: Eθcell for H2O2 / I2 = +1.77 – 1.19 = +0.58 ( ∴ feasible)
M3: 5H2O2 + I2 → 4H2O + 2IO3– + 2H+
(c)(ii) 2H2O2 → 2H2O + O2
(d)(i) M1: first order w.r.t. H2O2 AND change in conc. × 1.5 gives increase rate × 1.5 (expts 3 / 4)
M2: first order w.r.t. IO3– AND change in conc. × 2 gives increase rate × 2 (as reaction first order w.r.t. H2O2) (expts 1 / 3)
M3: zeroth order w.r.t. H+ AND change in conc. has no effect on rate (expts 1 / 3 / 4 and 2)
(d)(ii) rate = k[H2O2][IO3– ] ecf
(d)(iii) M1:
k = 8.82 × 10-5 ÷ (0.150 × 0.140) = 4.20 × 10-3 min 2sf ecf
M2: mol-1 dm³ s-1 ecf
(e)(i) Ksp = [Pb 2+][IO3– ]²
(e)(ii) M1: 3.69 × 10-13 = x(2x)² OR x = ∛(3.69 × 10-13 ÷ 4)
M2: = 4.5(2) × 10-5 (mol dm-3) min 2sf ecf
(f)(i) M1: ΔS = 1⁄2(192) + 1⁄2(205) + 1⁄2(261) + 2(70) – 42
M2: (+)427 (J K-1mol-1) ecf
(f)(ii) ΔG (always) negative because
• ΔH < 0 / negative OR exothermic AND
• ΔS > 0 / positive OR – TΔ S < 0 for all T
Question
The transition elements are able to form stable complexes with a wide range of molecules and ions.
(a) State the meaning of transition element.
(b) The d orbitals in an isolated transition metal ion are degenerate. In complexes, the d orbitals occupy two energy levels.
(i) Complete the diagram to show the arrangement of d orbital energy levels in octahedral and in tetrahedral complexes.

(ii) Sketch the shape of two d orbitals:
● one d orbital from the lower energy level in an octahedral complex
● one d orbital from the higher energy level in an octahedral complex.
Use the axes below.

(c) Edds4- and edta4- are polydentate ligands that form octahedral complexes with Fe3+(aq).

The formulae of the complexes are [Fe(edds)]– and [Fe(edta)]– respectively.
(i) On the diagram of edds4- , circle each atom that forms a bond to the Fe3+ ion in [Fe(edds)]– .
(ii) [Fe(edds)]– is red and [Fe(edta)]– is yellow.
Explain why the two complexes have different colours.
State the type of reaction that occurs.
(iv) Write an expression for the stability constant, Kstab, of [Fe(edds)]– (aq).
(v) The table shows the values for the stability constants, Kstab, of both complexes.

Predict which of the [Fe(edds)]– and [Fe(edta)]– complexes is more stable.
Explain your answer with reference to the Kstab value for each complex.
(vi) When an excess of edta4-(aq) is added to [Fe(edds)]– (aq), the following equilibrium is established.
\([Fe(edds)]^{-}(aq) + edta^{4-}(aq) \rightleftharpoons [Fe(edta)]^{-} (aq) + edds^{4-}(aq)\)
Calculate the equilibrium constant, Kc, for this equilibrium, using the Kstab values given in
the table in (c)(v).
Answer/Explanation
Answer: (a) (element that forms one or more stable) ions with incomplete/ partially filled 3d-orbitals/d-subshell
(b)(i)
![]()
(b)(ii)

(c)(i) Circles round both N atoms and all four O–
(c)(ii) M1: (d–d) energy gap / ΔE is different M2: different frequency / wavelength (of light) absorbed
(c)(iii) ligand exchange / substitution / displacement / replacement
(c)(iv) 
(c)(v) [Fe(edta)]– is more stable as it has the higher Kstab
(c)(vi) ![]()
Question
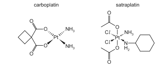
(a) Carboplatin and satraplatin are used as anticancer drugs instead of cisplatin.

(i) Describe the action of cisplatin as an anticancer drug.
(ii) Suggest the geometry of the platinum centre in the carboplatin complex.
(iii) Suggest why carboplatin does not show cis-trans isomerism.
(iv) Satraplatin is a neutral complex, containing the ligands CH 3CO2–, C6H11NH2, Cl– and NH3.
Deduce the oxidation state of platinum in satraplatin.
(b) Compound M is made from 1,3-dimethylbenzene in a two-step synthesis.

(i) Draw the structure of L.
(ii) Suggest reactants and conditions for each step of this synthesis.
(iii) Write an equation for step 2.
(iv) A student investigates a possible synthesis of M directly from benzene using COCl2 in the
presence of an AlCl3 catalyst.
Benzene initially reacts with COCl2 as shown.

Suggest a mechanism for reaction 2.
Answer/Explanation
Answer: (a)(i) M1: (cisplatin) can bond / bind with DNA / (nitrogenous) base A, T, C, G etc.
M2: which prevents replication (of the DNA / strand)
OR prevents cell division / prevents mitosis
OR prevents transcription (and formation of mRNA)
(a)(ii) square planar
(a)(iii) the distance between two coordinating oxygens is too small to bond trans
OR atoms in a bidentate ligand can only bond 90° not 180°
(a)(iv) +4
(b)(i) 
(b)(ii) M1: heat / reflux with acidified / alkaline KMnO4 (then acidify)
M2: PCl5OR SOCl2/ (heat with) PCl3
(b)(iii) ![]()
(b)(iv)
D
Question
Fumaric acid is a naturally occurring dicarboxylic acid.

(a) Identify the products of the reaction between fumaric acid and an excess of hot, concentrated, acidified manganate(VII).
(b) Fumaric acid can form addition and condensation polymers.
(i) Draw the repeat unit of the addition polymer poly(fumaric acid).
(ii) Draw the repeat unit of the polyester formed when fumaric acid reacts with ethane-1,2-diol,
(CH2OH)2.
The ester bond should be shown fully displayed.
(iii) Explain why polyesters normally biodegrade more readily than polyalkenes.
(c) Fumaric acid reacts with cold, dilute, acidified manganate(VII) to form compound P.

Only three stereoisomers of P exist. One of the stereoisomers is shown.

Complete the three-dimensional diagrams in the boxes to show the other two stereoisomers of P.

(d) The enzyme fumarase catalyses the reaction of fumarate ions, C4H2O42-, with water to form malate ions, C4H4O52-.
\(C_{4}H_{2}O_{4}^{2-} + H_{2}O \rightleftharpoons C_{4}H_{4}O_{5}^{2-}\)
Describe, with the aid of a suitably labelled diagram, how an enzyme such as fumarase can catalyse a reaction.
Answer/Explanation
Answer: (a) CO2 and H2O / in words
(b)(i) 
(b)(ii) 
(b)(iii) C—C bonds are non-polar / polyalkenes cannot be hydrolysed
OR polyesters / they can be broken down by hydrolysis
(c) 
(d) 
Question
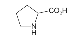
Proline (Pro) is a naturally occurring amino acid.
(a) Proline is often found bonded to glycine (Gly) in a protein.

(i) Draw the dipeptide Pro-Gly.
The peptide bond must be shown fully displayed.
(ii) Name the type of reaction that forms a dipeptide from two amino acids.
(iii) Proline is able to form a poly(proline) peptide chain.
A section of a poly(proline) chain is shown.

Suggest why the secondary structure of poly(proline) cannot be stabilised by hydrogen
bonding.
(b) The reaction scheme shows several reactions of proline.

(i) Write an equation for the reaction of proline with NaOH(aq) in reaction 1.
C4H7NHCO2H + ___________________
(ii) Proline has a secondary amine functional group.
Secondary amines react with acyl chlorides. For example, dimethylamine reacts with
RCOCl according to the following equation.

Suggest the skeletal structure of R, C7H11NO3, the product of reaction 2.
(iii) Suggest the reagent required for reaction 3.
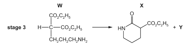
(c) Proline was first synthesised in the laboratory using a multi-stage synthetic route.
In stage 1, CH2(CO2C2H5)2 and CH2=CHCN . react to form a single product U.

(i) Name all the functional groups present in the reactants of stage 1.
CH2(CO2C2H5)2
CH2=CHCN .
(ii) Suggest the type of reaction that occurs in stage 1.
In stage 2, U reacts with reagent V to form W.

(iii) Suggest a suitable reagent V.
Stage 3 takes place in the presence of an acid catalyst.
X and Y are the only products of the reaction.

(iv) Suggest the type of reaction that occurs in stage 3.
(v) Deduce the identity of Y.
After several further stages, Z is produced.

In the final stage of the synthesis, Z reacts via a nucleophilic substitution mechanism to form
proline.
(vi) Complete the diagram to describe the reaction mechanism of the final stage. Draw curly
arrows, ions and charges, partial charges and lone pairs of electrons, as appropriate.
Draw the structure of any organic intermediate ion.

(vii) Identify with an asterisk (*) the chiral centre in proline.

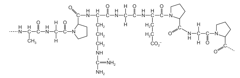
(d) Part of the structure of gelatin is shown.

Identify the number of amino acid units in the structure shown.
(e) (i) At pH 6.5, proline exists in aqueous solution as a zwitterion.
Draw the structure of the zwitterion of proline.
Explain how the zwitterion of proline forms.
(ii) The isoelectric point of an amino acid is the pH at which it exists as a zwitterion.
Three of the amino acids in gelatin are proline, alanine and glutamic acid. Their isoelectric
points are shown.

A mixture of these amino acids was analysed by electrophoresis using a buffer solution at
pH 4.0.
Draw and label three spots on the diagram of the electropherogram to indicate the likely
position of each of these three species after electrophoresis.
Explain your answer.

(f) The weak acid ACES is a compound that can be used to make a buffer solution for electrophoresis
experiments.
The anion of the sodium salt of ACES, C4H9N2O4SNa, is a strong base.
A buffer solution is prepared by the following steps.
● 3.50g of C4H9N2O4SNa is dissolved in 100cm³ of distilled water.
● 50.0cm³ of 0.200moldm-3 dilute hydrochloric acid is added to the solution.
● The resulting mixture is transferred to a 250.0cm volumetric flask, and the solution made up to the mark.
C4H9N2O4SNa reacts with HCl with a 1:1 stoichiometry.
The pKa of ACES is 6.88 at 298K.
Calculate the pH of the buffer solution formed at 298K.
[Mr : C4H9N2O4SNa, 204.1]
Answer/Explanation
Answer: (a)(i) 
(a)(ii) condensation ALLOW substitution / addition–elimination
(a)(iii) there is no H attached to the N
(b)(i) (C4H7NHCO2H +) NaOH → C4H7NHCO2Na + H2O
(b)(ii) 
(b)(iii) LiAlH4
(c)(i) CH2(CO2C2H5)2: ● (di)ester CH2=CHCN: ● alkene
● nitrile/cyanide
All three correct for two marks
(c)(ii) addition
(c)(iii) H2 / Ni OR H2 / Pt OR H2 / Pd
(c)(iv) condensation / (nucleophilic) substitution / elimination
(c)(v) ethanol / C2H5OH / CH3CH2OH
(c)(vi) 
(c)(vii) Asterisk on *CHCO2H
(d) 9
(e)(i) 
(e)(ii) 
(f) M1: initial amount of C4H9N2O4SNa = 3.50 / 204.1 OR 0.0171(48) mol
AND amount of HCl added = 0.200 × 50.0 / 1000 OR 0.0100 mol
M2: equilibrium amount of C4H9N2O4SNa = 0.0171(48) – 0.0100 OR 0.0071(48) mol
AND equilibrium amount of ACES = 0.0100 mol ecf
M3: Ka = 10-6.88 = 1.32 ×10-7 (mol dm–3) [H+] = (1.32 ×10-7)0.01 / 0.0071(48) = 1.86 × 10-7 OR 1.8465 × 10-7 ecf
M4: pH = –log(1.86 × 10-7) = 6.73 3sf min ecf
