Topic: 23.1
Potassium iodide, KI, is used as a reagent in both inorganic and organic chemistry.
(a) KI forms an ionic lattice that is soluble in water.
(i) Define enthalpy change of solution, \(ΔH_{sol}\).
(ii) KI(s) has a high solubility in water although its enthalpy change of solution is endothermic. Explain how this high solubility is possible.
(b) Table 1.1 gives some data about the halide ions, \(Cl^–, Br^–\) and \(I^–\), and their potassium salts.

(i) Explain the trend in the enthalpy change of hydration of the halide ions.
(ii) The \(ΔH_{sol}\) values of these potassium halides are almost constant. Use the \(ΔH_{hyd}\) and \(ΔH_{latt}\) data in Table 1.1 to suggest why.
(iii) The enthalpy change of solution of KI(s) is +21.0 kJ mol⁻¹. Use this information and the data in Table 1.1 to calculate the enthalpy change of hydration of the potassium ion, K⁺(g).
(iv) Solid PbI₂ forms when KI(aq) is mixed with Pb²⁺(aq) ions. The solubility product, \(K_{sp}\), of \(PbI_2\) is 7.1 × 10⁻⁹ mol³ dm⁻⁹ at 25°C. Calculate the solubility, in moldm⁻³, of PbI₂(s).
(v) The ionic radius of \(Pb^{2+}\) is 0.120 nm compared to 0.133 nm for \(K^+\). Suggest how the \(ΔH^o_{latt}\) of PbI₂(s) differs from \(ΔH^o_{latt}\) of KI(s). Explain your answer.
(c) KI slowly oxidises in air, forming I₂.
![]()
Table 1.2 shows some data relevant to this question.

(i) Calculate the standard entropy change, \(ΔS^o\) , of reaction 1.
(ii) Use your answer to (c)(i) to show that reaction 1 is spontaneous at 298K.
(iii) The Group 1 carbonates are much more thermally stable than the Group 2 carbonates. State and explain the trend in the thermal stability of the Group 2 carbonates.
(d) A student electrolyses a solution of KI(aq) for 8 minutes using a direct current. The half-equation for the reaction that occurs at the anode is given.
\(2I^–(aq) \to I_2(aq) + 2e^–\)
(i) Write a half-equation for the reaction that occurs at the cathode. Include state symbols.
(ii) After the electrolysis, the \(I_2(aq)\) produced requires 21.35 cm³ of 0.100 moldm–³ Na₂S₂O₃(aq) to react completely.
\(I_2(aq) + 2Na_2S_2O_3(aq) \to 2NaI(aq) + Na_2S_4O_6(aq)\)
Calculate the average current used in 8 minutes during the electrolysis
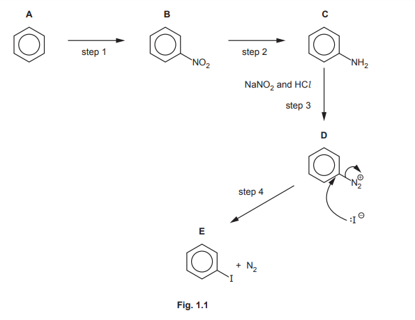
(e) KI is used as a source of I⁻ ions in organic synthesis. One example of this is shown in the synthetic route in Fig. 1.1.

(i) Identify the reagents required for steps 1 and 2.
(ii) Step 3 occurs in two stages.
stage I NaNO₂ and HCl undergo an acid–base reaction to produce HNO₂.
stage II HNO₂ reacts with C, C₆H₅NH₂, to produce D, C₆H₅N₂⁺. Complete the equations for stage I and for stage II.
stage I NaNO₂ + HCl …………………………………………………………………………………….
stage II ……………………………………………………………………………………………………………..
(iii) The \(I^–\) from KI reacts with D in step 4. The mechanism is shown in Fig. 1.1. Suggest the name for this mechanism.
▶️ Answer/Explanation
(a)(i) The enthalpy change of solution, \(ΔH_{sol}\), is the enthalpy change when one mole of a substance dissolves in water to form a solution of infinite dilution.
Explanation: This definition includes both the solute dissolving and the formation of an infinitely dilute solution, ensuring clarity in thermodynamic terms.
(a)(ii) The high solubility of KI despite an endothermic \(ΔH_{sol}\) is due to a large increase in entropy (\(ΔS > 0\)), making \(ΔG = ΔH – TΔS\) negative.
Explanation: Even though dissolving KI requires energy (endothermic), the system’s disorder increases significantly, driving the process spontaneously.
(b)(i) The enthalpy change of hydration (\(ΔH_{hyd}\)) becomes less exothermic down the group (\(Cl^–\) to \(I^–\)) because the anionic charge density decreases, reducing ion-dipole attraction with water.
Explanation: Larger halide ions have lower charge density, weakening their interaction with water molecules.
(b)(ii) The \(ΔH_{sol}\) values are almost constant because the difference between \(ΔH_{latt}\) and \(ΔH_{hyd}\) remains roughly the same for all potassium halides.
Explanation: As both lattice and hydration enthalpies decrease similarly down the group, their net effect on solubility enthalpy stays consistent.
(b)(iii) Using \(ΔH_{sol} = ΔH_{latt} + ΔH_{hyd}\):
\(ΔH_{hyd}(K^+) = ΔH_{sol} – ΔH_{latt}(KI) – ΔH_{hyd}(I^-)\)
\(= 21.0 – (-629) – (-293) = -315 \text{ kJ mol}^{-1}\).
Explanation: The calculation combines given data to find the hydration enthalpy of \(K^+\).
(b)(iv) For \(PbI_2\), \(K_{sp} = [Pb^{2+}][I^-]^2 = x(2x)^2 = 4x^3\).
Solving \(4x^3 = 7.1 \times 10^{-9}\) gives \(x = 1.21 \times 10^{-3} \text{ mol dm}^{-3}\).
Explanation: The solubility is derived from the solubility product expression, accounting for the stoichiometry of dissociation.
(b)(v) The lattice enthalpy of \(PbI_2\) is more exothermic than that of KI because \(Pb^{2+}\) has a higher charge and smaller ionic radius, leading to stronger ionic attraction.
Explanation: Higher charge density of \(Pb^{2+}\) enhances electrostatic forces in the lattice.
(c)(i) \(ΔS^o = 2(155.5) + 2(116.1) – 4(106.3) – 2(213.6) – 205.2 = -514.4 \text{ J K}^{-1} \text{ mol}^{-1}\).
Explanation: The entropy change is calculated by summing the standard entropies of products and reactants.
(c)(ii) \(ΔG = ΔH – TΔS = -203.4 – 298(-0.5144) = -50.1 \text{ kJ mol}^{-1}\). Since \(ΔG < 0\), the reaction is spontaneous.
Explanation: The negative Gibbs free energy confirms spontaneity at 298 K.
(c)(iii) Thermal stability of Group 2 carbonates increases down the group due to larger cation size, reducing polarisation of the carbonate ion and strengthening the C-O bond.
Explanation: Larger cations distort the carbonate ion less, making decomposition less favorable.
(d)(i) Cathode reaction: \(2H^+(aq) + 2e^- \to H_2(g)\).
Explanation: In aqueous KI, \(H^+\) ions are reduced preferentially over \(K^+\).
(d)(ii) Moles of \(S_2O_3^{2-} = 0.02135 \times 0.100 = 2.135 \times 10^{-3}\).
Charge \(Q = 2.135 \times 10^{-3} \times 2 \times 96500 = 412.1 \text{ C}\).
Current \(I = Q/t = 412.1 / 480 = 0.429 \text{ A}\).
Explanation: The current is derived from stoichiometry and Faraday’s law, using the titration data.
(e)(i) Step 1: Concentrated \(HNO_3\) and \(H_2SO_4\). Step 2: Sn and concentrated HCl.
Explanation: These reagents are standard for nitration and reduction in organic synthesis.
(e)(ii) Stage I: \(NaNO_2 + HCl \to HNO_2 + NaCl\).
Stage II: \(C_6H_5NH_2 + HNO_2 + H^+ \to C_6H_5N_2^+ + 2H_2O\).
Explanation: The equations represent diazotization, a key step in forming aryl diazonium salts.
(e)(iii) The mechanism is nucleophilic aromatic substitution.
Explanation: The iodide ion replaces the diazonium group via a nucleophilic attack on the aromatic ring.
Topic: 24.2
Water is an amphoteric compound that also acts as a good solvent of polar and ionic compounds.
(a) Equation 1 shows water acting as a Brønsted–Lowry acid.
equation 1 \(H_2O + NO_2^– \rightleftharpoons HNO_2 + OH^–\)
(i) Identify the two conjugate acid–base pairs in equation 1

(ii) Water also behaves as a Brønsted–Lowry acid when it dissolves CH₃NH₂. Explain the ability of CH₃NH₂ to act as a base.
(iii) Write an equation to show water acting as a base with CH₃COOH.
(b) The ionic product of water, \(K_w\), measures the extent to which water dissociates.
\(H_2O(l) \rightleftharpoons H^+(aq) + OH^–(aq)\)
Fig. 2.1 shows how \(K_w\) varies with temperature

(i) Write an expression for \(K_w\).
(ii) Use information from Fig. 2.1 to deduce whether the dissociation of water is an exothermic or an endothermic process. Explain your answer
(iii) An aqueous solution has pH = 7.00 at 30°C. Use information from Fig. 2.1 to explain why this solution can be considered to be alkaline at 30°C.
(c) The three physical states of \(H_2O\) have different standard entropies, \(S^o\) , associated with them. Table 2.1 shows these \(S^o\) values

(i) Explain the difference in the \(S^o\) values of \(H_2O(s)\) and \(H_2O(l)\).
(ii) Explain why the increase in \(S^o\) is much greater when H2O boils than when it melts.
(iii) The energy changes for \(H_2O(s) → H_2O(l)\) are shown.
ΔG = 0.00 kJ mol⁻¹
ΔH = +6.03 kJ mol⁻¹
Use these data to show that the melting point of \(H_2O(s)\) is 0°C.
(d) Metal–air batteries are electrochemical cells that generate electrical energy from the reaction of metal anodes with air. The standard electrode potentials for the zinc–air battery are shown.

(i) Calculate the standard cell potential, \(E^o_{cell}\), of the zinc–air battery.
(ii) The zinc–air battery usually operates at pH 11 and 298 K. The overall cell potential is dependent on \([OH^–]\). The Nernst equation shows how the electrode potential at the cathode changes with \([OH^–]\).

Calculate the electrode potential, E, at pH 11.
▶️ Answer/Explanation
(a)(i) ● conjugate base of acid I = \(OH^–\)
● acid II = HNO₂
● conjugate base of acid II = \(NO_2^–\)
Explanation: In the reaction \(H_2O + NO_2^– \rightleftharpoons HNO_2 + OH^–\), \(H_2O\) donates a proton to \(NO_2^–\) forming \(OH^–\) and \(HNO_2\). Thus, the conjugate pairs are \(H_2O/OH^–\) and \(HNO_2/NO_2^–\).
(a)(ii) lone pair on the N can be donated to a proton/\(H^+\).
OR lone pair on the N can accept / gain a proton /\(H^+\)
OR lone pair on the N can form a dative bond to a proton/\(H^+\)
Explanation: CH₃NH₂ has a lone pair on nitrogen, which can accept a proton (\(H^+\)) from water, making it a base.
(a)(iii) \(H_2O + CH_3COOH \to H_3O^+ + CH_3COO^–\)
Explanation: Here, water acts as a base by accepting a proton from acetic acid (\(CH_3COOH\)), forming \(H_3O^+\) and \(CH_3COO^–\).
(b)(i) \((K_w) = [H^+][OH^–]\) ALLOW \((K_w) = K_a \times K_b\)
Explanation: The ionic product of water, \(K_w\), is the product of the concentrations of \(H^+\) and \(OH^–\) ions in water.
(b)(ii) endothermic
AND equilibrium position moves right OR as water dissociates more
OR \(K_w\) increases with temperature
Explanation: Since \(K_w\) increases with temperature, the dissociation of water must be endothermic (absorbs heat).
(b)(iii) M1 (\(K_w\) increases with temperature so) pH of neutral solution decreases
OR (from graph) \(K_w = 1.50 \times 10^{–14} = [H^+]\)
∴ neutral pH = –½ log (1.50 × 10⁻¹⁴) = 6.91
OR \([H^+]\) = 10⁻⁷
∴ [OH⁻] = 1.50 × 10⁻¹⁴ / 10⁻⁷ = 1.50 × 10⁻⁷
M2 pH 7 is therefore above neutral pH / is alkaline
OR \([OH^–] > [H^+]\) (so alkaline)
Explanation: At 30°C, neutral pH is ~6.91. A pH of 7 means \([OH^–] > [H^+]\), making the solution slightly alkaline.
(c)(i) \(H_2O(l)\) particles / molecules has more randomness / disorder
OR \(H_2O(l)\) has more ways to arrange particles / energy (than in solid)
Explanation: Liquid water has higher entropy (\(S^o\)) than ice because molecules move more freely, increasing disorder.
(c)(ii) \(H_2O(g)\) particles / molecules has much more randomness / disorder
OR \(H_2O\)(g) has many more ways to arrange particles / energy (than in liquid)
Explanation: Gaseous water has significantly higher entropy than liquid because gas molecules are far apart and move freely.
(c)(iii) +6030 / (70.1 – 48.0) = 272.85 / 272.9 / 273 K (which is 0 °C)
Explanation: At melting point, ΔG = 0. Using ΔG = ΔH – TΔS, solving for T gives 273 K (0°C).
(d)(i) (+)1.62 V
Explanation: \(E^o_{cell} = E^o_{cathode} – E^o_{anode} = 0.40 – (–1.22) = +1.62 \, \text{V}\).
(d)(ii) \([OH^–] = 10^{–14}/10^{–11} = 1 \times 10^{–3}\)
E = +0.40 – ½ × 0.059 × \(log (10^{–3})^2\) = +0.40 – 0.059(–3) = +0.577 (V) min 2sf
Explanation: At pH 11, \([OH^–] = 10^{-3}\). Substituting into the Nernst equation gives \(E = +0.577 \, \text{V}\).
Topic: 28.4
Iron is a transition metal in Group 8 of the Periodic Table.
(a) (i) Explain why iron has variable oxidation states.
(ii) Complete the shorthand electronic configurations of Fe and Fe³⁺.
(b) An aqueous solution of \(Fe(NO_3)_3\) contains the complex \([Fe(H_2O)_6]^{3+}\). When solutions of KSCN(aq) and \([Fe(H_2O)_6]^{3+}\)(aq) are mixed, a colour change is observed. The red complex \([Fe(H_2O)_5SCN]^{2+}\) forms.
(i) Define complex.
(ii) State the coordination number of Fe in \([Fe(H_2O)_6]^{3+}\).
(iii) The H—O—H bond angle in water is 104.5°. Suggest the H—O—H bond angle in \([Fe(H_2O)_6]^{3+}\). Explain your answer.
(iv) Explain why iron complexes are coloured.
(v) Aqueous solutions of complexes \([Fe(H_2O)_6]^{3+}\) and \([Fe(H_2O)_5SCN]^{2+}\) are different colours. Explain why these complexes are different colours.
(c) Table 3.1 gives values for the stability constants, \(K_{stab}\), of different complexes of iron.

(i) \([Fe(H_2O)_5(H_2PO_4)]^{2+}\) can form when H₃PO₄ reacts with \([Fe(H_2O)_6]^{3+}\). Write an equation for this reaction.
(ii) Write an expression for \(K_{stab}\) of \([Fe(H_2O)_5SCN]^{2+}\) and give its units.
(iii) Use the stability constant data in Table 3.1 to calculate the value of the equilibrium constant, \(K_c\), for the following equilibrium.
\([Fe(H_2O)_5(H_2PO_4)]^{2+} + SCN^– \rightleftharpoons [Fe(H_2O)_5SCN]^{2+} + H_2PO_4^–\)
▶️ Answer/Explanation
(a)(i) Iron has variable oxidation states because the energies of the 3d and 4s orbitals are very close, allowing electrons to be lost from both subshells easily.
(a)(ii) Fe: \([Ar] 3d^6 4s^2\) and Fe³⁺: \([Ar] 3d^5\). The 4s electrons are lost first, followed by one 3d electron.
(b)(i) A complex is a central metal ion surrounded by ligands bonded via coordinate bonds.
(b)(ii) 6, as there are six water molecules bonded to Fe³⁺.
(b)(iii) The bond angle increases to ~107° because the lone pair on oxygen is donated to Fe³⁺, reducing repulsion.
(b)(iv) Iron complexes are coloured due to d-d transitions, where electrons absorb visible light to move between split d orbitals.
(b)(v) The colour difference arises because SCN⁻ alters the ligand field strength, changing the energy gap (\(\Delta E\)) and thus the absorbed light wavelength.
(c)(i) \([Fe(H_2O)_6]^{3+} + H_3PO_4 \rightarrow [Fe(H_2O)_5(H_2PO_4)]^{2+} + H_3O^+\)
(c)(ii) \(K_{stab} = \frac{[[Fe(H_2O)_5(SCN)]^{2+}]}{[[Fe(H_2O)_6]^{3+}][SCN^-]}\), units: \(\text{mol}^{-1} \text{dm}^3\).
(c)(iii) \(K_c = \frac{K_{stab}([Fe(H_2O)_5SCN]^{2+})}{K_{stab}([Fe(H_2O)_5(H_2PO_4)]^{2+})} = \frac{1.30 \times 10^2}{59.0} = 2.20\).
Topic: 28.5
Ruthenium and osmium are transition metals below iron in Group 8 of the Periodic Table.
(a) Two different complex ions, X and Y, can form when anhydrous RuCl₃ reacts with water under certain conditions. X and Y have octahedral geometry. Aqueous samples of X and Y react separately with an excess of AgNO₃ (aq). Different amounts of AgCl are precipitated:
• 1 mole of complex ion X produces 2 moles of AgCl
• 1 mole of complex ion Y produces 1 mole of AgCl.
(i) Complete Table 4.1 to suggest formulae for X and Y

(ii) Both complexes react with an excess of bipyridine, bipy, to form a mixture of two stereoisomers of [Ru(bipy)₃]³⁺.

Bipyridine is a bidentate ligand. Draw three-dimensional diagrams of the two stereoisomers of [Ru(bipy)₃]³⁺. Use
to represent the bipy ligand in your structures.
![Stereoisomers of [Ru(bipy)₃]³⁺](https://www.iitianacademy.com/wp-content/uploads/2025/01/Screenshot-2025-01-26-125750.png)
(b) Fig. 4.1 shows another ruthenium complex.

This complex contains the neutral ligand pyrazine.

(i) Suggest how pyrazine is able to bond to two separate ruthenium ions.
(ii) Pyrazine is an aromatic compound. The bonding and structure of pyrazine is similar to that of benzene. Describe and explain the shape of pyrazine. In your answer, include:
• the hybridisation of the nitrogen and carbon atoms
• how orbital overlap forms π bonds between the atoms in the ring.
(iii) Predict the number of peaks seen in the carbon–13 NMR spectrum of pyrazine. Explain your answer.
(iv) The overall charge of the ruthenium complex in Fig. 4.1 is 5+.
Deduce the possible oxidation states of the two ruthenium ions in the complex.
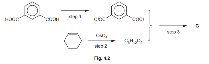
(c) Osmium tetroxide, OsO₄, reacts with alkenes in a similar manner to cold dilute acidified MnO₄⁻. Fig. 4.2 shows a proposed synthesis of a condensation polymer G.

(i) Suggest a reagent for step 1.
(ii) Draw the structure of exactly one repeat unit of the condensation polymer G. The ester linkage should be shown fully displayed.
▶️ Answer/Explanation
(a)(i)

Explanation: For complex X, 2 moles of AgCl precipitate, indicating 2 Cl⁻ ions are outside the coordination sphere. Thus, X is \([Ru(H₂O)₄Cl₂]^+\). For Y, only 1 mole of AgCl precipitates, so Y is \([Ru(H₂O)₅Cl]^{2+}\).
(a)(ii)
Explanation: The two stereoisomers of \([Ru(bipy)₃]^{3+}\) are the Λ (lambda) and Δ (delta) enantiomers, which are non-superimposable mirror images due to the octahedral geometry with bidentate ligands.
(b)(i) Pyrazine has a lone pair on each N atom, which can form coordinate bonds with two separate Ru ions.
Explanation: The nitrogen lone pairs in pyrazine act as Lewis bases, donating electrons to the Ru ions to form dative bonds.
(b)(ii) Pyrazine is planar with \(sp^2\) hybridized C and N atoms. The π bonds form via sideways overlap of p orbitals above and below the ring.
Explanation: The \(sp^2\) hybridization gives a trigonal planar geometry, and the unhybridized p orbitals create a delocalized π system, similar to benzene.
(b)(iii) 1 peak.
Explanation: All carbon atoms are equivalent in the symmetric pyrazine ring, resulting in a single \(^{13}\text{C}\) NMR peak.
(b)(iv) Possible oxidation states: +2 and +3, or +4 and +1.
Explanation: The total charge of 5+ is distributed between the two Ru ions, with common stable states being +2/+3 or +4/+1 combinations.
(c)(i) Reagent: SOCl₂ or PCl₅.
Explanation: These reagents convert carboxylic acids to acyl chlorides, which are more reactive for ester formation.
(c)(ii)

Explanation: The repeat unit shows the ester linkage formed between the diol and diacyl chloride, with the structure displayed fully.
Topic: 33.3
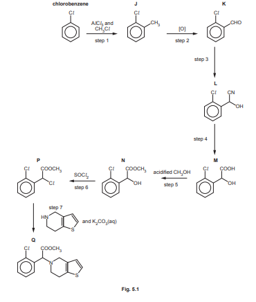
Compound Q can be synthesised from chlorobenzene in seven steps, using the route shown in Fig. 5.1.

(a) (i) Write an equation for the formation of the electrophile for step 1.
(ii) Complete the mechanism in Fig. 5.2 for step 1, the alkylation of chlorobenzene. Include all relevant curly arrows and charges. Draw the structure of the intermediate. 
(iii) Step 2 is an oxidation reaction. Construct an equation for the reaction in step 2. Use [O] to represent an atom of oxygen from an oxidising agent.
(iv) Suggest reagents for the conversion of K to M in steps 3 and 4.
(v) Identify the type of reaction that occurs in step 5.
(vi) Step 7 takes place when P is heated with a weak base such as K₂CO₃(aq).

Suggest why a strong base such as NaOH(aq) is not used for this reaction.
(vii) Q is optically active. Explain the meaning of optically active.
(viii) Give two reasons why it might be desirable to synthesise a single optical isomer of Q for use as a drug.
(b) Q is commonly used in conjunction with aspirin.

Aspirin is a weak Brønsted–Lowry acid.
(i) The \(pK_a\) of aspirin is 3.49. 75mg of aspirin dissolves in water to form 100 cm³ of an aqueous solution. Calculate the pH of this solution.
[\(M_r\): aspirin, 180.0]
(ii) Aspirin undergoes acid hydrolysis in the stomach. Give the structures of the organic products of this acid hydrolysis.

▶️ Answer/Explanation
(a)(i) \(\text{AlCl}_3 + \text{CH}_3\text{Cl} \rightarrow \text{AlCl}_4^- + \text{CH}_3^+\)
Explanation: The electrophile \(\text{CH}_3^+\) is formed when \(\text{AlCl}_3\) reacts with \(\text{CH}_3\text{Cl}\), abstracting a chloride ion.

(iii) \(C_6H_4(Cl)CH_3 + 2[O] \rightarrow C_6H_4(Cl)CHO + H_2O\)
Explanation: The methyl group on chlorobenzene is oxidised to an aldehyde group, consuming two oxygen atoms from the oxidising agent.
(iv) Step 3: HCN and KCN (catalyst) or KCN and \(H_2SO_4\)/HCl. Step 4: \(H_2SO_4\) (aq) or HCl (aq).
Explanation: Step 3 involves nucleophilic addition of cyanide to form a nitrile, while step 4 hydrolyses the nitrile to a carboxylic acid.
(v) Addition-elimination / condensation.
Explanation: Step 5 is a nucleophilic acyl substitution where an amine reacts with a carboxylic acid derivative.
(vi) A strong base like NaOH would hydrolyse the ester.
Explanation: Weak bases like \(K_2CO_3\) selectively deprotonate without breaking the ester linkage.
(vii) Optically active substances rotate plane-polarised light.
Explanation: This occurs due to the presence of chiral centres in the molecule.
(viii) Two reasons: (1) Reduced side effects from inactive enantiomers, (2) Higher potency requiring lower dosage.
Explanation: Single enantiomers ensure predictable biological activity and minimise unwanted effects.
(b)(i) pH = 2.93 to 2.94
Explanation: First, calculate \([HA] = \frac{75 \times 10^{-3}/180}{0.100} = 4.17 \times 10^{-3} \text{ mol dm}^{-3}\). Then, \([H^+] = \sqrt{K_a \times [HA]} = \sqrt{10^{-3.49} \times 4.17 \times 10^{-3}} = 1.16 \times 10^{-3} \text{ mol dm}^{-3}\). Finally, pH = \(-\log[H^+]\).

Topic: 37.3
Amino acids are molecules that contain \(—NH_2\) and —COOH functional groups. Glycine, \(H_2NCH_2COOH\), is the simplest stable amino acid.
(a) The isoelectric point of glycine is 6.2.
(i) Define isoelectric point.
(ii) Draw the structure of glycine at pH 4.
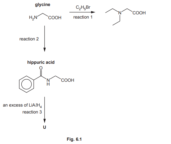
(b) Fig. 6.1 shows two syntheses starting with glycine.

(i) State the essential conditions for reaction 1.
(ii) Identify the reagent used in reaction 2.
(iii) Draw the structure of the organic product U that forms when hippuric acid reacts with an excess of \(LiAlH_4\) in reaction 3.
(iv) A molecule of phenylalanine, R, can react with a molecule of glycine to form two dipeptides, S and T. S and T are structural isomers.

Draw the structures of these dipeptides. The peptide bond formed should be shown fully displayed. 
(c) A student proposes a synthesis of hippuric acid by the reaction of benzamide, C₆H₅CONH₂, and chloroethanoic acid, ClCH₂COOH. The reaction does not work well because benzamide is a very weak base.
(i) Explain why amides are weaker bases than amines.
(ii) The \(pK_a\) of chloroethanoic acid is 2.86 whereas the \(pK_a\) of ethanoic acid is 4.76. Explain the difference between these two \(pK_a\) values.
(d) Compound V is another amino acid. The proton (1H) NMR spectrum of V shows hydrogen atoms in five different environments, a, b, c, d and e, as shown in Fig. 6.2.


(i) Complete Table 6.2 for the proton \((^1H)\) NMR spectrum of V taken in CDCl₃. Table 6.1 gives some relevant data.

(ii) Complete Table 6.3 by placing a tick (✓) to indicate any protons whose peaks are still present in the proton \((^1H)\) NMR spectrum of V taken in \(D_2O\). 
▶️ Answer/Explanation
(a)(i) The isoelectric point is the pH at which a molecule has no overall charge (is neutral or exists as a zwitterion where charges cancel out).
(a)(ii) At pH 4 (acidic), glycine exists as \(H_3N^+CH_2COOH\) because the \(—NH_2\) group is protonated.

(b)(i) Ethanol and heat in a sealed tube (or high pressure) are required for reaction 1 (esterification).
(b)(ii) The reagent for reaction 2 is \(C_6H_5COCl\) (benzoyl chloride) or benzoyl anhydride.
(b)(iii) Product U is \(C_6H_5CONHCH_2CH_2OH\) after reduction of the carboxyl group by \(LiAlH_4\).

(b)(iv) The dipeptides are Gly-Phe (S) and Phe-Gly (T), differing in the order of amino acids.

(c)(i) Amides are weaker bases than amines because the nitrogen lone pair is delocalized into the C=O group, making it less available for protonation.
(c)(ii) Chloroethanoic acid has a lower \(pK_a\) (2.86) than ethanoic acid (4.76) because the electron-withdrawing Cl group stabilizes the carboxylate anion, making it a stronger acid.
(d)(i) Table 6.2 is completed by matching proton environments (a-e) with their chemical shifts and splitting patterns.

(d)(ii) In \(D_2O\), exchangeable protons (e.g., \(—NH_2\), \(—OH\)) disappear, while non-exchangeable protons (e.g., \(—CH_2\)—) remain.
