Topic: 1.3
Sample X is added to water and made up to a total volume of 200 cm³. This gives a solution of 0.100 mol dm⁻³ HCl. What is X?
▶️ Answer/Explanation
Ans: C
We calculate the moles of HCl in the final solution: \(0.100 \, \text{mol dm}^{-3} \times 0.200 \, \text{dm}^3 = 0.020 \, \text{mol}\). Now, we check which option gives the same moles of HCl. For option C: \(0.40 \, \text{mol dm}^{-3} \times 0.050 \, \text{dm}^3 = 0.020 \, \text{mol}\). This matches, confirming C as the correct answer.
Topic: 3.1
A mixture of 10 cm³ of methane and 10 cm³ of ethane was sparked with an excess of oxygen. After cooling, the residual gas was passed through aqueous potassium hydroxide. All gas volumes were measured at the same temperature and pressure. Which volume of gas was absorbed by the alkali?
▶️ Answer/Explanation
Ans: C
The alkali (KOH) absorbs \(\text{CO}_2\) produced from the combustion of methane (\(\text{CH}_4\)) and ethane (\(\text{C}_2\text{H}_6\)). The reactions are:
\[ \text{CH}_4 + 2\text{O}_2 \rightarrow \text{CO}_2 + 2\text{H}_2\text{O} \]
\[ 2\text{C}_2\text{H}_6 + 7\text{O}_2 \rightarrow 4\text{CO}_2 + 6\text{H}_2\text{O} \]
For methane: 10 cm³ produces 10 cm³ \(\text{CO}_2\). For ethane: 10 cm³ produces 20 cm³ \(\text{CO}_2\). Total \(\text{CO}_2\) absorbed = \(10 + 20 = 30\) cm³.
Topic: 9.1
Z is a compound of two elements, X and Y. Element X shows a very large increase between its 5th and 6th ionisation energies. It has the second largest 1st ionisation energy in its group. Element Y shows a very large increase between its 6th and 7th ionisation energies. It has the largest 1st ionisation energy in its group. What is compound Z?
▶️ Answer/Explanation
Ans: C
Element X has a large jump between its 5th and 6th ionisation energies, indicating it has 5 valence electrons (Group 15). The second largest 1st ionisation energy in its group suggests it is phosphorus (P). Element Y has a large jump between its 6th and 7th ionisation energies, indicating 6 valence electrons (Group 16), and the largest 1st ionisation energy in its group points to oxygen (O). Thus, the compound Z is \(P_4O_{10}\), matching option C.
Topic: 2.2
Which statement about \(_{53}^{131} I\) is correct?
▶️ Answer/Explanation
Ans: D
For \(_{53}^{131} I\), the number of neutrons = Mass number (131) – Atomic number (53) = 78. A negative ion means the atom gains 1 electron, so the number of electrons = Atomic number (53) + 1 = 54. Thus, the correct statement is D, which states 78 neutrons and 54 electrons.
Topic: 4.2
When solid aluminium chloride is heated, \(Al_2Cl_6\) is formed. Which bonding is present in \(Al_2Cl_6\)?
▶️ Answer/Explanation
Ans: A
In \(Al_2Cl_6\), aluminium forms covalent bonds with chlorine atoms. Additionally, the two \(AlCl_3\) units are linked via coordinate (dative covalent) bonds, where a lone pair from a chlorine atom is donated to an aluminium atom. Thus, both covalent and coordinate bonding are present, making option A correct.
Topic: 5.1
The structure of the sulfur dioxide molecule is shown.

What is the shape of the sulfur dioxide molecule?
▶️ Answer/Explanation
Ans: B
Sulfur dioxide (\(\text{SO}_2\)) has a bent (non-linear) shape due to the presence of one lone pair on the sulfur atom. The molecule has a trigonal planar electron geometry (3 regions of electron density), but the molecular geometry is bent because of the lone pair repulsion, making option B correct.
Topic: 3.1
What is the density of a sample of fluorine gas at \(32^\circ C\) and 100 000Pa? Assume fluorine behaves as an ideal gas under these conditions.
▶️ Answer/Explanation
Ans: B
Using the ideal gas law \( pV = nRT \) and the relationship \( \rho = \frac{m}{V} \), we derive the density formula for gases: \( \rho = \frac{pM}{RT} \). For fluorine gas (\( F_2 \)) with molar mass \( M = 38.00 \, \text{g mol}^{-1} \), at \( T = 32^\circ C = 305.15 \, \text{K} \) and \( p = 100\,000 \, \text{Pa} \), the calculation gives:
\[ \rho = \frac{(100\,000)(38.00)}{(8.314)(305.15)} \approx 1.5 \, \text{g dm}^{-3} \]
Thus, the correct answer is B.
Topic: 5.2
The graph shows the boiling points of the hydrogen compounds of Group 16 elements.

Which statement correctly explains why water does not fit the trend of the other compounds?
A. There are fewer electrons in the oxygen atoms so there is less shielding of the nuclear charge.
B. There are strong hydrogen bonds in water but not in the other compounds.
C. The covalent bonds in water are much stronger than in the other compounds.
D. The water molecules are smaller and so have stronger van der Waals’ forces.
▶️ Answer/Explanation
Ans: B
Water (\(H_2O\)) has an anomalously high boiling point compared to other Group 16 hydrogen compounds (\(H_2S\), \(H_2Se\), \(H_2Te\)) due to hydrogen bonding. Oxygen’s high electronegativity allows for strong dipole-dipole interactions (hydrogen bonds) between water molecules, which are absent in the other compounds. This explains why water deviates from the trend.
Topic: 6.1
An energy cycle is shown.

The energy changes involved are X, Y and Z.
The numerical value of energy change Y is either –890 or +890.
The numerical value of energy change Z is either –964 or +964.
Which of the three values are negative?
▶️ Answer/Explanation
Ans: C
In the given energy cycle, the formation of products from elements is typically exothermic (negative enthalpy change). Since Y and Z represent formation steps, their values must be negative. X, being the reverse of a formation step, would be positive. Thus, the correct answer is C (Y and Z).
Topic: 7.1
For a certain endothermic reaction, the activation energy is numerically equal to twice the enthalpy change of reaction. Which reaction pathway diagram is correct for this reaction?

▶️ Answer/Explanation
Ans: B
For an endothermic reaction, the products have higher energy than the reactants (\(\Delta H > 0\)). Given that the activation energy \(E_a = 2 \Delta H\), the energy barrier must be twice the enthalpy change. In diagram B, the peak of the curve is correctly positioned such that the activation energy is twice the energy difference between products and reactants, satisfying the given condition.
Topic: 10.1
Sodium chromate(VI), Na₂CrO₄, is manufactured by heating chromite, FeCr₂O₄, with sodium carbonate in an oxidising atmosphere. Chromite contains \(Cr_2O_4^{2–}\) ions.
What happens in this reaction?
▶️ Answer/Explanation
Ans: A
In this reaction, chromite (\(FeCr_2O_4\)) is heated with sodium carbonate (\(Na_2CO_3\)) in an oxidizing atmosphere. The chromium in \(Cr_2O_4^{2-}\) is oxidized from \(+3\) to \(+6\) (in \(Na_2CrO_4\)), and the iron (\(Fe\)) is oxidized from \(+2\) to \(+3\) (likely forming \(Fe_2O_3\)). Carbon remains in the \(+4\) oxidation state (\(CO_2\)), so it is not oxidized. Thus, only chromium and iron are oxidized, making option A correct.
Topic: 10.1
Oxygen can be prepared by the reaction of potassium manganate(VII), \(KMnO_4\), hydrogen peroxide, \(H_2O_2\), and sulfuric acid, \(H_2SO_4\). Each \(H_2O_2\) molecule loses two electrons in this reaction. The other products of the reaction are potassium sulfate, manganese(II) sulfate, and water. How many moles of oxygen gas are produced when 1.0 mol of \(KMnO_4\) reacts with an excess of \(H_2O_2\) in acidic conditions?
▶️ Answer/Explanation
Ans: B
First, balance the redox reaction: \[ 2KMnO_4 + 5H_2O_2 + 3H_2SO_4 \rightarrow K_2SO_4 + 2MnSO_4 + 5O_2 + 8H_2O \] Here, \(2 \, \text{mol}\) of \(KMnO_4\) produce \(5 \, \text{mol}\) of \(O_2\). Thus, for \(1.0 \, \text{mol}\) of \(KMnO_4\), the moles of \(O_2\) produced are: \[ \frac{5}{2} \times 1.0 = 2.5 \, \text{mol}. \]
Topic: 8.1
An alcohol, ROH, reacts reversibly with ethanoic acid to produce an ester.
![]()
3.0 mol of ROH, 2.0 mol of ethanoic acid, and 1.0 mol of water are mixed together. At equilibrium, 1.5 mol of CH₃COOR is present. What is the value of the equilibrium constant, \(K_c\), for this reaction?
▶️ Answer/Explanation
Ans: D
The esterification reaction is:
\[ \text{ROH} + \text{CH}_3\text{COOH} \rightleftharpoons \text{CH}_3\text{COOR} + \text{H}_2\text{O} \]
Initial moles: ROH = 3.0, CH₃COOH = 2.0, H₂O = 1.0, CH₃COOR = 0.
At equilibrium: CH₃COOR = 1.5 mol, so:
– \[ \text{ROH} = 3.0 – 1.5 = 1.5 \text{ mol}, \quad \text{CH}_3\text{COOH} = 2.0 – 1.5 = 0.5 \text{ mol}, \quad \text{H}_2\text{O} = 1.0 + 1.5 = 2.5 \text{ mol} \]
The equilibrium constant \(K_c\) is:
\[ K_c = \frac{[\text{CH}_3\text{COOR}][\text{H}_2\text{O}]}{[\text{ROH}][\text{CH}_3\text{COOH}]} = \frac{(1.5)(2.5)}{(1.5)(0.5)} = 5.00 \]
Thus, the correct answer is D (5.00).
Topic: 8.1
Graphs can be drawn to show the percentage of ammonia at equilibrium when nitrogen and hydrogen are mixed at different temperatures and pressures. Which diagram correctly represents these two graphs?

▶️ Answer/Explanation
Ans: D
The Haber process (\(N_2 + 3H_2 \rightleftharpoons 2NH_3\)) is exothermic. According to Le Chatelier’s principle:
- Effect of Temperature: Lower temperatures favor the forward reaction (more \(NH_3\) at equilibrium), so the graph should show higher % \(NH_3\) at lower \(T\).
- Effect of Pressure: Higher pressures favor the forward reaction (fewer gas molecules), so the graph should show higher % \(NH_3\) at higher \(P\).
Graph D correctly represents these trends, making it the correct choice.
Topic: 7.2
The Boltzmann distribution for the hydrogenation of an alkene at a particular temperature in the absence of a catalyst is shown.

Which row correctly describes the effects of adding a nickel catalyst to the reaction vessel?

▶️ Answer/Explanation
Ans: C
A catalyst lowers the activation energy (\(E_a\)) of a reaction by providing an alternative pathway, but it does not change the Boltzmann distribution or the total energy of the system. Therefore, the peak of the curve remains at the same energy, and the area under the curve (representing the total number of molecules) stays unchanged. The correct row is C, as it indicates no change in peak energy or area under the curve.
Topic: 9.3
Elements Y and Z are both in Period 3 of the Periodic Table. When the chloride of element Y is added to water, it reacts and a solution of pH 2 is produced. When the chloride of element Z is added to water, it dissolves and a solution of pH 7 is produced. Which statement explains these observations?
▶️ Answer/Explanation
Ans: D
– **Element Y (Silicon)**: \(SiCl_4\) hydrolyzes in water, producing \(HCl\) (pH ≈ 2) and silicic acid. – **Element Z (Sodium)**: \(NaCl\) dissolves in water but does not hydrolyze, resulting in a neutral solution (pH = 7). – **Option D** correctly identifies Y as silicon (acidic chloride) and Z as sodium (neutral chloride). – Other options are incorrect because they either misidentify the elements or do not match the observed pH behavior.
Topic: 9.2
Aluminium, silicon and phosphorus are elements in Period 3 of the Periodic Table. Each element forms an oxide. Which row is correct?

▶️ Answer/Explanation
Ans: C
Aluminium oxide (\(\text{Al}_2\text{O}_3\)) is amphoteric, silicon dioxide (\(\text{SiO}_2\)) is weakly acidic, and phosphorus pentoxide (\(\text{P}_4\text{O}_{10}\)) is strongly acidic. This matches row C, where the oxides progress from amphoteric to weakly acidic to strongly acidic across the period.
Topic: 9.1
Which statement is correct?
▶️ Answer/Explanation
Ans: D
A: Incorrect. Atomic radius decreases across Period 3 (left to right). Silicon (\(Si\)) has a smaller radius than aluminium (\(Al\)).
B: Incorrect. Chlorine (\(Cl_2\)) is a diatomic gas with a low boiling point, while silicon (\(Si\)) is a covalent solid with a very high boiling point.
C: Incorrect. Sulfur (\(S\)) has a slightly lower first ionisation energy than phosphorus (\(P\)) due to electron-electron repulsion in its \(3p^4\) configuration.
D: Correct. Magnesium (\(Mg\)) has greater electrical conductivity than sodium (\(Na\)) because it contributes two delocalized electrons per atom (vs. one for \(Na\)), enhancing metallic bonding.
Topic: 11.2
All solubility data in this question is given at the same temperature. The table gives some data for compounds of calcium and for compounds of X, an unidentified element in Group 2.

What is the missing data for element X? 
▶️ Answer/Explanation
Ans: B
The missing data for element X can be deduced by comparing trends in Group 2 compounds. Calcium hydroxide (\(Ca(OH)_2\)) is sparingly soluble, and since X is another Group 2 element, its hydroxide (\(X(OH)_2\)) is expected to be soluble if X is below calcium (e.g., strontium or barium). However, the sulfate (\(XSO_4\)) solubility decreases down the group (as seen with \(CaSO_4\) being sparingly soluble). Thus, the correct missing data for X is soluble hydroxide and sparingly soluble sulfate, matching option B.
Topic: 11.2
What is the total volume of gas produced, measured at room conditions, when 0.010 mol of anhydrous magnesium nitrate is completely decomposed by heating?
▶️ Answer/Explanation
Ans: C
The decomposition reaction of anhydrous magnesium nitrate is:
\[ 2Mg(NO_3)_2 \rightarrow 2MgO + 4NO_2 + O_2 \]
For 0.010 mol of \( Mg(NO_3)_2 \), the moles of gas produced are:
\[ \text{NO}_2 = 0.010 \times 2 = 0.020 \, \text{mol} \]
\[ \text{O}_2 = 0.010 \times 0.5 = 0.005 \, \text{mol} \]
Total gas volume at room conditions (24 dm³/mol):
\[ (0.020 + 0.005) \times 24,000 \, \text{cm}³ = 600 \, \text{cm}³ \]
Topic: 11.3
A solid sodium halide, NaX, is reacted with concentrated sulfuric acid. The lowest oxidation state of sulfu)r in the products is +4. Halogen Y₂ is less volatile than halogen X₂. What are the identities of sodium halide NaX and halogen Y₂?

▶️ Answer/Explanation
Ans: B
When a sodium halide (NaX) reacts with concentrated sulfuric acid (H₂SO₄), sulfur is reduced to its lowest oxidation state of +4 (in SO₂). This occurs with NaBr (sodium bromide), where bromide ions (Br⁻) are oxidized to bromine (Br₂). Since Y₂ is less volatile than X₂, and iodine (I₂) is less volatile than bromine (Br₂), the correct pair is NaBr and I₂ (option B).
Topic: 11.3
Compound Q dissolves in water. Q(aq) does not react with dilute sulfuric acid. Q(aq) forms a precipitate when aqueous silver nitrate is added. This precipitate is partially soluble in aqueous ammonia. What could be compound Q?
▶️ Answer/Explanation
Ans: C
1. No reaction with dilute \(H_2SO_4\) rules out barium compounds (A and B), as barium forms an insoluble sulfate precipitate.
2. Precipitate with \(AgNO_3\) suggests a halide (Br⁻ or I⁻).
3. Partial solubility in \(NH_3(aq)\) indicates the halide is bromide (AgBr is partially soluble, while AgI is insoluble).
4. Magnesium bromide (C) fits all criteria, as it dissolves in water, does not react with \(H_2SO_4\), and forms AgBr, which is partially soluble in ammonia.
Topic: 13.1
Nitrogen dioxide is a gas that contributes to air pollution. It is produced in internal combustion engines. Which statement is correct?
▶️ Answer/Explanation
Ans: A
Nitrogen dioxide (\(NO_2\)) is known to catalyze the oxidation of sulfur dioxide (\(SO_2\)) to sulfur trioxide (\(SO_3\)) in the atmosphere, which is a key step in acid rain formation. This makes statement A correct. The other options are incorrect because:
- B: In catalytic converters, \(NO_2\) is reduced to \(N_2\), not \(NO\).
- C: PAN (Peroxyacyl nitrates) form from \(NO_2\) and incomplete combustion products (hydrocarbons), not complete combustion.
- D: \(NO_2\) forms from \(N_2\) and \(O_2\) under high-temperature combustion, not from fuel impurities.
Topic: 5.1
What is the bond angle in the ammonium ion?
▶️ Answer/Explanation
Ans: C
The ammonium ion (\(\text{NH}_4^+\)) has a tetrahedral shape due to:
- 4 bonding pairs around the central nitrogen atom.
- No lone pairs on nitrogen (lone pair is used to form the fourth bond with H\(^+\)).
In a perfect tetrahedron, the bond angle is 109.5°. While lone pairs typically reduce bond angles (e.g., 107° in ammonia, \(\text{NH}_3\)), the absence of lone pairs in \(\text{NH}_4^+\) allows for the ideal tetrahedral angle.
Thus, the correct answer is C (109.5°).
Topic: 15.1
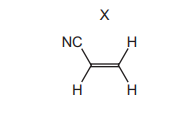
Structural isomerism and stereoisomerism should be taken into account when answering this question. The structure of 3-methylcyclobutene is shown.

A mixture containing all stereoisomers of 3-methylcyclobutene is treated with HBr. This produces a mixture of isomeric bromomethylcyclobutanes. How many stereoisomers does 3-methylcyclobutene have, and how many isomeric bromomethylcyclobutanes are present in the product mixture?

▶️ Answer/Explanation
Ans: C
Step 1: Determine stereoisomers of 3-methylcyclobutene
3-methylcyclobutene has a double bond, restricting rotation. The methyl group can be on the same side (cis) or opposite side (trans) relative to the double bond’s plane, giving 2 stereoisomers.
Topic: 14.1
The diagram shows the structure of X.

Which row is correct?

▶️ Answer/Explanation
Ans: C
The structure X is benzene (C6H6), an aromatic hydrocarbon. In benzene:
- All C-C bonds are identical in length due to resonance (intermediate between single and double bonds).
- The molecule is planar (flat) with bond angles of 120°.
- It contains 12 σ bonds (6 C-C and 6 C-H) and 3 π bonds (delocalized π electrons above and below the ring).
Thus, the correct row is C, as it accurately describes benzene’s planar shape and the number of σ and π bonds.
Topic: 13.2
The diagram shows the skeletal formula of citric acid.

What is the molecular formula of citric acid?
▶️ Answer/Explanation
Ans: A
– **Counting Carbon Atoms**: The skeletal structure of citric acid contains **6 carbon atoms** (vertices and intersections in the diagram). – **Counting Hydrogen Atoms**: Each carbon forms 4 bonds. Accounting for bonds to O and other C atoms, there are **8 hydrogen atoms**. – **Counting Oxygen Atoms**: The structure has **7 oxygen atoms** (3 carboxyl groups \(-COOH\) and 1 hydroxyl \(-OH\) group). – **Conclusion**: The molecular formula is \(C_6H_8O_7\), making option A correct.
Topic: 14.2
Which reaction occurs when ethane and chlorine are mixed in diffused sunlight?
A. a free-radical substitution with hydrogen given off
B. a free-radical substitution with hydrogen chloride given off
C. a free-radical substitution with no gas given off
D. a nucleophilic substitution with hydrogen chloride given off
▶️ Answer/Explanation
Ans: B
When ethane (\(\text{C}_2\text{H}_6\)) reacts with chlorine (\(\text{Cl}_2\)) in diffused sunlight, it undergoes free-radical substitution, producing chloroethane (\(\text{C}_2\text{H}_5\text{Cl}\)) and hydrogen chloride (\(\text{HCl}\)) gas. The reaction mechanism involves initiation, propagation, and termination steps, with \(\text{HCl}\) being the gaseous byproduct.
Topic: 16.1
A molecule of geraniol is shown.

What is formed when geraniol is reacted with an excess of cold dilute acidified MnO₄⁻?

▶️ Answer/Explanation
Ans: A
Geraniol is an unsaturated alcohol with the structure:

When reacted with cold dilute acidified KMnO₄, the following occurs:
- The C=C double bonds are cleaved to form diols (vicinal diols).
- The −OH group remains unaffected under these mild conditions.
Thus, the product is a diol with two new −OH groups at the sites of the former double bonds, matching option A.
Topic: 17.1
Q is either a primary or a tertiary halogenoalkane. Q undergoes hydrolysis with aqueous sodium hydroxide. The first step in the mechanism of this reaction involves two species reacting together. Which row is correct?

▶️ Answer/Explanation
Ans: B
The hydrolysis of halogenoalkanes with aqueous NaOH proceeds via a nucleophilic substitution mechanism. For both primary and tertiary halogenoalkanes, the first step involves the nucleophile (\(OH^-\)) attacking the δ+ carbon atom bonded to the halogen. However, tertiary halogenoalkanes (but not primary) also involve heterolytic fission of the C-X bond in the first step, forming a carbocation intermediate. Thus, the correct row must include both \(OH^-\) (nucleophile) and the halogenoalkane (Q), matching option B.
Topic: 17.1
2-bromopropane is converted to 1,2-dibromopropane in a pathway involving two reactions.

What are the reagents and conditions for the two reactions?

▶️ Answer/Explanation
Ans: D
The conversion involves two steps:
- Elimination (Reaction 1): Reagent: Concentrated NaOH (or KOH) in ethanol Condition: Heat This removes HBr to form propene (alkene).
- Electrophilic Addition (Reaction 2): Reagent: Br₂ (bromine) Condition: Room temperature (no catalyst needed) This adds Br₂ across the double bond to form 1,2-dibromopropane.
Thus, the correct reagents and conditions are given in Option D.
Topic: 18.2
Compound X is a single, pure, optical isomer. Compound X is heated with an excess of concentrated H₂SO₄. Only one organic product is formed. What is compound X?

▶️ Answer/Explanation
Ans: D
Compound X is an optical isomer, meaning it has a chiral center. When heated with concentrated H₂SO₄, it undergoes dehydration (elimination of water) to form a single alkene product. Option D (2-methylbutan-2-ol) is a tertiary alcohol that dehydrates to form only 2-methylbut-2-ene (no positional isomers possible). The other options either lack chirality or produce multiple products.
Topic: 18.2
Which reagents could be used to form 2-bromobutane from butan-1-ol?
▶️ Answer/Explanation
Ans: D
1. Option A (Br₂/UV) is incorrect because it brominates alkanes via free-radical substitution, not alcohols.
2. Option B (H₂SO₄ + KBr) produces HBr in situ, but refluxing leads to elimination (forming but-1-ene) rather than substitution.
3. Option C (H₂SO₄ followed by Br₂) is unsuitable as Br₂ adds to alkenes (if formed) but does not convert alcohols to alkyl bromides.
4. Option D (H₂SO₄ followed by HBr) is correct: – Step 1: H₂SO₄ protonates the –OH group of butan-1-ol, converting it to a better leaving group (H₂O). – Step 2: HBr substitutes the –OH with –Br via an SN2 mechanism, forming 2-bromobutane (with possible rearrangement).
Topic: 19.1
X is a non-cyclic ketone with a single carbonyl group and no other functional groups. Ketone X has the following properties.
- When ketone X is treated with \(NaBH_4\), the organic product has a \(M_r\) 2.3256% greater than the \(M_r\) of ketone X.
- Ketone X gives a yellow precipitate with alkaline \(I_2\)(aq).
How many isomeric ketones could be ketone X?
▶️ Answer/Explanation
Ans: B
To determine the number of possible isomeric ketones:
- Mass Increase Analysis:
- Reduction with \(NaBH_4\) converts the carbonyl group (\(C=O\)) to an alcohol (\(CH-OH\)), increasing \(M_r\) by 2 (from adding 2 H atoms).
- Given a 2.3256% increase: \( \frac{2}{M_r} = 0.023256 \Rightarrow M_r \approx 86 \).
- Iodoform Test:
- A yellow precipitate with alkaline \(I_2\) indicates a methyl ketone (\(CH_3CO-\) group).
- Possible Ketones:
- For \(M_r = 86\) with a \(CH_3CO-\) group, the possible non-cyclic ketones are:
- Butanone (\(CH_3COCH_2CH_3\))
- 3-Methyl-2-butanone (\(CH_3COCH(CH_3)_2\))
- For \(M_r = 86\) with a \(CH_3CO-\) group, the possible non-cyclic ketones are:
Thus, there are 2 possible isomeric ketones that fit both criteria.
Topic: 19.1
Compound Y:
● changes the colour of acidified K₂Cr₂O₇ from orange to green
● has no effect on Fehling’s reagent
● produces an orange precipitate with 2,4-dinitrophenylhydrazine reagent.
What is compound Y?

▶️ Answer/Explanation
Ans: C
Analysis of tests:
- K₂Cr₂O₇ (orange → green): Indicates oxidation of an alcohol or aldehyde. However, since Fehling’s reagent is unaffected, it rules out aldehydes (which reduce Fehling’s). Thus, Y must be a secondary alcohol (oxidizable to a ketone).
- No reaction with Fehling’s: Confirms Y is not an aldehyde (e.g., CH₃CHO or HCOOH).
- 2,4-DNPH (orange precipitate): Confirms the presence of a carbonyl group (C=O), consistent with a ketone (or aldehyde, but already ruled out).
Conclusion: Y is CH₃COCH₃ (a ketone), as it fits all observations:
- Secondary alcohols (like isopropanol) oxidize to ketones (e.g., acetone), explaining the K₂Cr₂O₇ result.
- Ketones do not react with Fehling’s reagent.
- Ketones form orange precipitates with 2,4-DNPH.
Thus, the correct answer is C (CH₃COCH₃).
Topic: 19.2
The product of the reaction between propanone and hydrogen cyanide is hydrolysed under acidic conditions. What is the formula of the final product?
▶️ Answer/Explanation
Ans: D
Step 1: Reaction with HCN
Propanone (CH₃COCH₃) reacts with HCN to form a cyanohydrin: (CH₃)₂C(OH)CN.
Topic: 19.2
P is a carboxylic acid with molecular formula \(C_5H_{10}O_2\). Carboxylic acid P reacts with an excess of \(LiAlH_4\) to form compound Q. Which pairs of molecules could be carboxylic acid P and compound Q?

▶️ Answer/Explanation
Ans: D
1. Reaction Mechanism: \(LiAlH_4\) reduces carboxylic acids (\(RCOOH\)) to primary alcohols (\(RCH_2OH\)).
2. Analysis of Options: – Option 1 (Pentanoic acid) would reduce to 1-pentanol, but 1-pentanol isn’t shown as product 2. – Option 2 (3-methylbutanoic acid) would reduce to 3-methylbutan-1-ol, but this isn’t shown as product 3. – Option 3 (2,2-dimethylpropanoic acid) correctly reduces to 2,2-dimethylpropan-1-ol (product 3).
3. Conclusion: Only Option 3 correctly shows both the carboxylic acid and its corresponding alcohol product, making D the correct answer.
Topic: 20.1
Compound X is treated with an excess of dilute aqueous potassium hydroxide.

What is the structure of the organic product? 
▶️ Answer/Explanation
Ans: A
– Reaction Type: The reaction shown is a nucleophilic substitution where the bromine (Br) in the halogenoalkane is replaced by a hydroxyl group (OH) from KOH. – Product Identification: The product retains the same carbon skeleton but now has an OH group where the Br was originally attached. – Option Analysis: Among the given options, only option A correctly shows the structure with the OH group in the correct position. – Conclusion: The correct organic product is represented by option A.
Topic: 15.1
A section showing two repeat units of an addition polymer is shown.

What is the identity of the monomer that produced this polymer?
A. 2-chloro-3-methylbutane
B. 2-chloro-3-methylbut-2-ene
C. 2-chloropent-2-ene
D. 2,4-dichloro-3,3,4,5-tetramethylhexane
▶️ Answer/Explanation
Ans: B
The polymer structure shows a repeating unit with a chlorine atom and two methyl groups on adjacent carbons. To find the monomer, we “reverse” the addition polymerization process by identifying the double bond that would form the polymer chain. The correct monomer is 2-chloro-3-methylbut-2-ene (Option B), as it has the necessary C=C double bond and substituents (Cl and CH3) to form the given polymer structure through addition polymerization.
Topic: 2.1
The relative atomic mass of antimony is 121.76. Antimony has two isotopes. The mass numbers of the two isotopes differ by two. The isotope with the lower mass number is the more abundant. What is the percentage abundance of the isotope with the higher mass number?
▶️ Answer/Explanation
Ans: B
Let the two isotopes of antimony have mass numbers \( x \) and \( x+2 \).
Given:
- The relative atomic mass of antimony = 121.76
- The lower mass isotope (\( x \)) is more abundant.
Assume the percentage abundance of the higher mass isotope (\( x+2 \)) is \( y \% \), then the lower mass isotope has \( (100 – y) \% \) abundance.
The average atomic mass equation is:
\[ \frac{x(100 – y) + (x + 2)y}{100} = 121.76 \]
Solving for \( y \):
\[ 100x + 2y = 12176 \quad \Rightarrow \quad 2y = 12176 – 100x \]
Since the mass numbers differ by 2 and must be integers, the most likely values are \( x = 121 \) and \( x + 2 = 123 \) .
Substituting \( x = 121 \):
\[ 2y = 12176 – 12100 = 76 \quad \Rightarrow \quad y = 38\% \]
Thus, the percentage abundance of the higher mass isotope is 38%, making B the correct answer.
