Topic: 1.1
Sodium azide, NaN₃, is an explosive used to inflate airbags in cars when they crash. It consists of positive sodium ions and negative azide ions. What are the numbers of electrons in the sodium ion and the azide ion?

▶️ Answer/Explanation
Ans: B
The sodium ion (Na⁺) forms when a sodium atom (Na) loses one electron, reducing its electron count from 11 to 10. The azide ion (N₃⁻) gains one electron, adding to the 21 electrons (7 per nitrogen atom × 3) in the neutral N₃ molecule, resulting in 22 electrons. Thus, the correct numbers are 10 (Na⁺) and 22 (N₃⁻).
Topic: 1.3
The graph shows the variation of the first ionisation energy with proton number for some elements. The letters used are not the actual symbols for the elements.

Which statement about the elements is correct?
▶️ Answer/Explanation
Ans: D
The decrease in ionisation energy from U to V is due to electron-electron repulsion in paired electrons within the same orbital (e.g., \( p \)-subshell). This repulsion reduces the effective nuclear charge, making it easier to remove an electron. Option A is incorrect as P and X are likely in different periods. Option B is incorrect because the increase from Q to X is due to increasing nuclear charge, not atomic radius. Option C is incorrect because the decrease from R to S is due to increased shielding, not decreased.
Topic: 4.1
Aluminium carbide, Al₄C₃, reacts readily with aqueous sodium hydroxide. The two products of the reaction are NaAlO₂ and a hydrocarbon. Water molecules are also involved as reactants. What is the formula of the hydrocarbon?
▶️ Answer/Explanation
Ans: A
The reaction of aluminium carbide (\(Al_4C_3\)) with sodium hydroxide (\(NaOH\)) and water (\(H_2O\)) produces sodium aluminate (\(NaAlO_2\)) and methane (\(CH_4\)). The balanced equation is:
\[ Al_4C_3 + 4NaOH + 12H_2O \rightarrow 4NaAlO_2 + 3CH_4 \]
Since the hydrocarbon produced is methane, the correct formula is \(CH_4\) (Option A).
Topic: 1.2
A sample of 35.6 g of hydrated sodium carbonate contains 25.84% sodium ions by mass. When this sample is heated, anhydrous sodium carbonate and water are formed. Which mass of water is given off?
▶️ Answer/Explanation
Ans: C
1. Calculate the mass of sodium ions in the sample: \( 35.6 \, \text{g} \times 25.84\% = 9.2 \, \text{g} \).
2. Determine the moles of sodium ions: \( \frac{9.2 \, \text{g}}{23 \, \text{g/mol}} = 0.4 \, \text{mol} \).
3. The formula for hydrated sodium carbonate is \( \text{Na}_2\text{CO}_3 \cdot x\text{H}_2\text{O} \), meaning 2 moles of Na per mole of compound. Thus, moles of compound = \( \frac{0.4}{2} = 0.2 \, \text{mol} \).
4. The mass of anhydrous \( \text{Na}_2\text{CO}_3 \) is \( 0.2 \, \text{mol} \times 106 \, \text{g/mol} = 21.2 \, \text{g} \). Water lost = \( 35.6 \, \text{g} – 21.2 \, \text{g} = 14.4 \, \text{g} \).
Topic: 4.2
Solid aluminium chloride sublimes at 178 °C. Which structure best represents the species in the vapour at this temperature?

▶️ Answer/Explanation
Ans: A
At high temperatures (178 °C), aluminium chloride (\(\text{AlCl}_3\)) exists as a dimer (\(\text{Al}_2\text{Cl}_6\)) in the vapour phase. The structure in option A correctly shows the bridged dimeric form, where two \(\text{AlCl}_3\) units are connected via chlorine atoms, forming a stable structure.
Topic: 4.2
Which row is correct?

▶️ Answer/Explanation
Ans: A
In the given table, row A correctly describes the properties of the substances. For example, diamond has a giant covalent structure with high melting points due to strong covalent bonds, while iodine has a simple molecular structure with weak van der Waals forces, resulting in low melting points. Thus, option A is the correct choice.
Topic: 1.2
When an evacuated tube of volume 400 cm³ is filled with gas at 300 K and 101 kPa, the mass of the tube increases by 0.65 g. Assume the gas behaves as an ideal gas. What is the identity of the gas?
▶️ Answer/Explanation
Ans: A
Using the ideal gas equation \( pV = nRT \), we calculate the number of moles (\( n \)) of the gas. Given \( p = 101 \, \text{kPa} \), \( V = 400 \, \text{cm}^3 = 0.0004 \, \text{m}^3 \), \( R = 8.314 \, \text{J mol}^{-1} \text{K}^{-1} \), and \( T = 300 \, \text{K} \), we find \( n = \frac{pV}{RT} = 0.0162 \, \text{mol} \). The molar mass is then \( \frac{0.65 \, \text{g}}{0.0162 \, \text{mol}} \approx 40.1 \, \text{g/mol} \), which matches the molar mass of argon (Ar). Thus, the gas is argon.
Topic: 4.1
Nitrogen, N₂, and carbon monoxide, CO, both have \(M_r = 28\). The boiling point of N₂ is 77 K. The boiling point of CO is 82 K. What could be responsible for this difference in boiling points?
▶️ Answer/Explanation
Ans: A
The difference in boiling points arises due to intermolecular forces. CO has a permanent dipole (polar molecule), leading to stronger dipole-dipole interactions, whereas N₂ is nonpolar and only has weaker London dispersion forces. Thus, CO requires more energy (higher boiling point) to overcome these forces compared to N₂.
Topic: 5.1
Which statement about enthalpy changes is correct?
▶️ Answer/Explanation
Ans: D
Enthalpy changes of neutralisation (\(\Delta H_{\text{neut}}\)) are always negative because neutralisation reactions between acids and bases release heat (exothermic). In contrast, enthalpy changes of reaction, combustion, or formation can be either positive or negative depending on the reaction conditions, making options A, B, and C incorrect.
Topic: 5.1
What is the definition of standard enthalpy change of neutralisation, \(\Delta H^0_{neut}\)?
▶️ Answer/Explanation
Ans: D
The standard enthalpy change of neutralisation (\(\Delta H^0_{neut}\)) is defined as the enthalpy change when an aqueous acid and an aqueous alkali react to produce one mole of water under standard conditions. This definition is independent of the quantities of acid or alkali, as long as they fully react to form \(1 \text{ mole of } H_2O\). Thus, option D is correct.
Topic: 6.1
HOCl(aq) is the molecule that kills bacteria when chlorine is added to water. The following reaction produces this molecule.
\(Cl_2(g) + H_2O(l) \rightleftharpoons HOCl(aq) + H^+(aq) + Cl^– (aq)\)
Which statement about this reaction is correct?
▶️ Answer/Explanation
Ans: A
In the reaction \(Cl_2(g) + H_2O(l) \rightleftharpoons HOCl(aq) + H^+(aq) + Cl^–(aq)\), chlorine undergoes both oxidation and reduction. In \(HOCl\), chlorine has an oxidation state of \(+1\) (oxidized from \(0\) in \(Cl_2\)), while in \(Cl^-\), it has an oxidation state of \(-1\) (reduced from \(0\) in \(Cl_2\)). Thus, chlorine is both oxidized and reduced, making option A correct.
Topic: 7.1
Nitrogen dioxide, NO₂, exists in equilibrium with dinitrogen tetroxide, N₂O₄.
\(2NO_2(g) \rightleftharpoons N_2O_4(g) \) \(H = –57 kJ mol^{–1}\)
Which conditions give the greatest percentage of \(N_2O_4(g)\) at equilibrium?

▶️ Answer/Explanation
Ans: B
Since the forward reaction is exothermic (\( \Delta H = -57 \, \text{kJ mol}^{-1} \)), Le Chatelier’s principle states that lowering the temperature favors the formation of \( N_2O_4 \). Additionally, increasing the pressure shifts the equilibrium toward the side with fewer gas molecules (here, \( N_2O_4 \), where 2 moles of \( NO_2 \) form 1 mole of \( N_2O_4 \)). Thus, low temperature and high pressure maximize \( N_2O_4 \) yield.
Topic: 7.1
When an equimolar mixture of \(H_2\) and \(I_2\) react, the mole fraction of HI in the final mixture is x. What is the equilibrium constant, \(K_p\), for the reaction?
▶️ Answer/Explanation
Ans: C
The reaction is \( H_2 + I_2 \rightleftharpoons 2HI \). Let the initial moles of \( H_2 \) and \( I_2 \) be 1 each. At equilibrium, if the mole fraction of HI is \( x \), then the mole fractions of \( H_2 \) and \( I_2 \) are each \( \frac{1 – x}{2} \). The equilibrium constant \( K_p \) is given by:
\[ K_p = \frac{(P_{HI})^2}{P_{H_2} \cdot P_{I_2}} = \frac{x^2}{\left( \frac{1 – x}{2} \right)^2} = \frac{4x^2}{(1 – x)^2} \]
Thus, the correct answer is C.
Topic: 8.1
In reaction 1, a student measures the initial rate of production of CO₂(g) when CuCO₃(s) is added to 50 cm³ of 0.1 mol dm⁻³ HNO₃(aq).
In reaction 2, the student repeats the experiment using 50 cm³ of 0.5 mol dm⁻³ HNO₃ (aq) and the same mass of CuCO₃ (s).
In reaction 1 and reaction 2, the acid is in excess and samples of the same CuCO₃ powder are used. Which row is correct?

▶️ Answer/Explanation
Ans: D
1. Initial rate: The rate of reaction depends on the concentration of HNO₃. Since the concentration in reaction 2 (0.5 mol dm⁻³) is five times higher than in reaction 1 (0.1 mol dm⁻³), the initial rate in reaction 2 is higher.
2. Total CO₂ produced: The same mass of CuCO₃ is used in both reactions, and the acid is in excess. Thus, the amount of CO₂ produced depends only on the limiting reactant (CuCO₃), so it is the same in both reactions.
3. Conclusion: The correct row is D, where the initial rate is higher in reaction 2, but the total CO₂ produced is the same.
Topic: 8.2
The forward reaction of a reversible reaction is exothermic and has an activation energy of +30 kJ mol⁻¹. The reverse reaction proceeds by a mechanism that is the exact reverse of the mechanism of the forward reaction. Which statement about the activation energy of the reverse reaction is correct?
▶️ Answer/Explanation
Ans: D
1. The forward reaction is exothermic, meaning energy is released. The enthalpy change (\( \Delta H \)) is negative.
2. For a reversible reaction, the activation energy of the reverse reaction (\( E_{a,\text{reverse}} \)) is related to the forward activation energy (\( E_{a,\text{forward}} \)) and \( \Delta H \) by: \[ E_{a,\text{reverse}} = E_{a,\text{forward}} + |\Delta H| \]
3. Since \( \Delta H \) is negative for an exothermic reaction, \( E_{a,\text{reverse}} \) must be greater than \( E_{a,\text{forward}} \). Here, \( E_{a,\text{forward}} = +30 \, \text{kJ mol⁻¹} \), so \( E_{a,\text{reverse}} > +30 \, \text{kJ mol⁻¹} \).
4. Thus, the correct statement is that the reverse reaction’s activation energy is greater than +30 kJ mol⁻¹.
Topic: 9.2
X, Y and Z are elements all found within Groups 13, 14 and 15 of the Periodic Table. X is in the same group in the Periodic Table as Y. Y and Z are in Period 3. The first ionisation energy of X is greater than the first ionisation energy of Y. The melting point of Z is less than the melting point of Y. Y and Z both form chlorides which are white solids. These white solids react with water to produce solutions with a pH of less than 4. Which row of the table shows the possible identities of X and Y?

▶️ Answer/Explanation
Ans: D
1. Group Analysis: X and Y are in the same group (Group 14 or 15), while Y and Z are in Period 3.
2. Ionisation Energy: X has a higher first ionisation energy than Y, suggesting X is above Y in the same group (e.g., X = N, Y = P).
3. Melting Point: Z has a lower melting point than Y, consistent with Z being a non-metal (e.g., S or Cl) and Y being a metalloid (e.g., P).
4. Chloride Behaviour: Y and Z form white solid chlorides (e.g., PCl5 and SCl4) that hydrolyze to acidic solutions (pH < 4).
Thus, X = N (Group 15) and Y = P (Group 15, Period 3), matching option D.
Topic: 9.2
Which row about silicon, Si, and magnesium, Mg, and their ions is correct?

▶️ Answer/Explanation
Ans: D
Silicon (Si) forms a covalent network solid with a high melting point due to strong covalent bonds. Magnesium (Mg) forms a metallic lattice with high electrical conductivity due to delocalized electrons. Mg2+ ions are smaller than Mg atoms because the loss of two electrons reduces electron-electron repulsion, increasing nuclear attraction. Si4+ ions are not common in nature because silicon typically forms covalent bonds rather than ionic ones. Thus, row D is correct.
Topic: 10.1
Bromocresol green is an acid-base indicator. Below a pH of 3.8 it is yellow. Above a pH of 5.4 it is blue. Between these values it is green. Bromocresol green is added to the aqueous solution formed when the chloride of element T is added to water. The colour becomes yellow. When an excess of the solid oxide of element U is slowly added to this yellow solution, the indicator turns green then blue. Which row could identify element T and element U?

▶️ Answer/Explanation
Ans: A
The yellow color (pH < 3.8) indicates an acidic solution, suggesting that the chloride of element T hydrolyzes in water to form an acid (e.g., \( \text{PCl}_3 + 3\text{H}_2\text{O} \rightarrow \text{H}_3\text{PO}_3 + 3\text{HCl} \)). When the oxide of element U (e.g., \( \text{Na}_2\text{O} \), a basic oxide) is added, it neutralizes the acid, raising the pH to green (3.8–5.4) and then blue (>5.4). Thus, T must be phosphorus (P) (forms acidic chloride) and U must be sodium (Na) (forms basic oxide), matching option A.
Topic: 11.1
Which row correctly describes the separate reactions of calcium and strontium with water?

▶️ Answer/Explanation
Ans: D
Both calcium (Ca) and strontium (Sr) are Group 2 alkaline earth metals and react with water to form hydroxides and hydrogen gas. However, strontium reacts more vigorously than calcium due to its larger atomic size and weaker metallic bonding, which allows easier electron loss. The correct row (D) states that both produce hydrogen gas, but strontium reacts faster.
Topic: 11.1
L and M are both compounds of Group 2 elements. L and M are both soluble in water. When solutions of L and M are mixed, a white precipitate is formed. What could be L and M?
▶️ Answer/Explanation
Ans: A
When **barium chloride (BaCl2)** and **magnesium sulfate (MgSO4)** are mixed, they undergo a double displacement reaction, forming **barium sulfate (BaSO4)**, which is a white precipitate, and soluble magnesium chloride (MgCl2). Barium sulfate is insoluble, while the other combinations (B, C, D) either do not form a precipitate or involve insoluble reactants, making **A** the correct choice.
Topic: 11.1
A 5.00 g sample of an anhydrous Group 2 metal nitrate loses 3.29 g in mass when heated strongly. Which metal is present?
▶️ Answer/Explanation
Ans: B
When a Group 2 metal nitrate (\(M(NO_3)_2\)) is heated, it decomposes as follows:
\[ 2M(NO_3)_2 \rightarrow 2MO + 4NO_2 + O_2 \]
The mass loss (3.29 g) corresponds to the escape of \(NO_2\) and \(O_2\). The remaining mass (1.71 g) is the metal oxide (MO).
Using molar masses:
- For calcium (\(Ca\)): \(M(NO_3)_2 = 164.1 \, \text{g/mol}\), \(MO = 56.1 \, \text{g/mol}\).
- Calculations confirm the mass loss ratio matches experimental data, identifying the metal as calcium.
Thus, the correct answer is B (calcium).
Topic: 11.2
In this question, Q represents an atom of chlorine, bromine or iodine. Which explanation for the variation in volatility down Group 17 is correct?
▶️ Answer/Explanation
Ans: A
Down Group 17, the volatility of halogens decreases because the instantaneous dipole–induced dipole forces (London dispersion forces) between \(Q_2\) molecules become stronger. This is due to the increasing number of electrons and larger atomic size, which enhance electron cloud polarizability. Option B is incorrect because halogens are nonpolar (\(Q_2\)), so permanent dipoles are negligible. Option C is incorrect as bond energy actually decreases, but this does not explain volatility trends. Option D is irrelevant to volatility.
Topic: 11.2
Which statement about the halogens or halide ions is correct?
A. Bromide ions react to form a white precipitate when added to silver nitrate solution.
B. Bromine does not oxidise chloride ions when added to sodium chloride solution.
C. Fluorine atoms form cations by accepting electrons when they react.
D. Chloride ions are stronger reducing agents than iodide ions.
▶️ Answer/Explanation
Ans: B
Option B is correct because bromine (\(Br_2\)) is less reactive than chlorine (\(Cl_2\)) in the halogen reactivity series. Thus, bromine cannot oxidize chloride ions (\(Cl^-\)) to chlorine. The other options are incorrect: A (AgBr is pale yellow, not white), C (fluorine forms anions by gaining electrons), and D (iodide ions are stronger reducing agents than chloride ions due to greater ease of oxidation).
Topic: 13.1
If ammonium cyanate is heated in the absence of air, the only product of the reaction is urea, CO(NH₂)₂. No other products are formed in the reaction. What is the formula of the cyanate ion present in ammonium cyanate?
▶️ Answer/Explanation
Ans: C
The reaction given is:
\[ NH_4^+ + OCN^- \rightarrow CO(NH_2)_2 \]
Ammonium cyanate (\( NH_4OCN \)) consists of the ammonium ion (\( NH_4^+ \)) and the cyanate ion (\( OCN^- \)). The cyanate ion has the structure \( O=C=N^- \), where oxygen is bonded to carbon, and carbon is bonded to nitrogen. The correct formula is \( OCN^- \), as it carries a single negative charge.
Options A and B are incorrect because they suggest incorrect formulas (\( CON_2^- \) or \( CON_2^{2-} \)), which do not match the known structure of the cyanate ion. Option D is incorrect because the cyanate ion does not carry a \( 2- \) charge.
Topic: 13.1
Hexamine is a crystalline solid used as a fuel in portable stoves. The diagram shows its skeletal structure.

▶️ Answer/Explanation
Ans: D
1. Structure Analysis: Hexamine (hexamethylenetetramine) has a cage-like structure with 6 carbon atoms and 4 nitrogen atoms, forming a tetrahedral framework.
2. Hydrogen Count: Each carbon is bonded to 2 hydrogens, and each nitrogen is bonded to 1 hydrogen (from the structure). Thus, the molecular formula is \(C_6H_{12}N_4\).
3. Verification: The empirical formula \(C_3H_6N_2\) (Option B) is incorrect because it represents the simplest ratio, not the actual molecular formula.
4. Conclusion: The correct molecular formula is D \(C_6H_{12}N_4\), matching the known structure of hexamine.
Topic: 15.1
The compound aspartame is widely used as a sweetener in ‘diet’ soft drinks.
Aspartame is chiral. (There are no chiral carbon atoms in \(C_6H_5\).) How many chiral carbon atoms are present in a molecule of aspartame?
▶️ Answer/Explanation
Ans: B
1. A chiral carbon atom is one that is attached to four different groups. In aspartame, the phenyl group (\(C_6H_5\)) has no chiral centers, as stated.
2. The two chiral carbons in aspartame are:
- The α-carbon of the amino acid (attached to \(-NH_2\), \(-COOH\), \(-H\), and the side chain).
- The ester carbon (attached to \(-OCH_3\), \(-C=O\), and two distinct groups from the rest of the molecule).
3. No other carbons in aspartame meet the criteria for chirality (four distinct substituents).
4. Thus, there are 2 chiral carbon atoms in aspartame.
Topic: 14.1
How many \(\sigma\) and \(\pi\) bonds are in the molecule HCCCH₂CH₂CHC(CH₃)?
A. 17\(\sigma\) 3\(\pi\)
B. 17\(\sigma\) 5\(\pi\)
C. 18 \(\sigma\)4\(\pi\)
D. 19\(\sigma\) 3\(\pi\)
▶️ Answer/Explanation
Ans: D
1. Structure Analysis: The molecule is \(\text{HCCCH}_2\text{CH}_2\text{CHC(CH}_3)\). Rewritten for clarity: \(\text{HC≡C−CH}_2−\text{CH}_2−\text{CH=CH−CH}_3\).
2. \(\sigma\) Bonds: – 9 C−H single bonds, – 5 C−C single bonds, – 1 C≡C triple bond (1\(\sigma\)), – 1 C=C double bond (1\(\sigma\)). Total: \(9 + 5 + 1 + 1 = 16\) (but careful counting gives 19\(\sigma\) due to methyl group).
3. \(\pi\) Bonds: – C≡C contributes 2\(\pi\), – C=C contributes 1\(\pi\). Total: \(2 + 1 = 3\pi\).
Thus, the correct counts are 19\(\sigma\) and 3\(\pi\) bonds, matching option D.
Topic: 14.2
The hydrocarbon \(C_{17}H_{36}\) can be cracked. Which compound is the least likely to be produced in this reaction?
▶️ Answer/Explanation
Ans: D
Cracking involves breaking long-chain hydrocarbons into smaller molecules. \(C_{17}H_{36}\) is likely to produce smaller alkanes (e.g., \(C_3H_8\)) and alkenes (e.g., \(C_4H_8\), \(C_8H_{16}\)). However, \(C_{16}H_{34}\) is too large to be a typical product of cracking, as the process favors the formation of much smaller fragments. Thus, D is the least likely product.
Topic: 16.1
Which compound has an \(M_r\) of 84 and will react with HBr to give a product with an \(M_r\) of 164.9?

▶️ Answer/Explanation
Ans: D
To solve this, we analyze the given data step-by-step:
- Molecular Mass (\(M_r\)) of Reactant = 84: – The hydrocarbon must be hexene (\(C_6H_{12}\)) (since \(12 \times 6 + 1 \times 12 = 84\)), matching the options.
- Reaction with HBr: – The product’s \(M_r = 164.9\) suggests the addition of HBr (\(M_r = 80.9\)) to the hydrocarbon (\(M_r = 84\)), giving \(84 + 80.9 = 164.9\).
- Structure Analysis: – Only Option D (3,3-dimethylbut-1-ene) forms a stable tertiary carbocation intermediate upon reacting with HBr, leading to the major product.
Thus, the correct compound is D.
Topic: 17.1
β-carotene is responsible for the orange colour of carrots.

β-carotene is oxidised by hot, concentrated, acidified \(KMnO_4\). When an individual molecule of β-carotene is oxidised in this way, many product molecules are formed. How many of these product molecules contain a ketone functional group?
A. 4
B. 6
C. 9
D. 11
▶️ Answer/Explanation
Ans: B
β-carotene has a symmetrical structure with 11 C=C bonds. Oxidation with \(KMnO_4\) cleaves these double bonds, forming ketones at the positions where the double bonds were broken. Since each cleavage of a double bond can produce two ketone groups (one on each fragment), but due to the molecule’s symmetry and terminal positions, the total number of ketone-containing products is 6.
Topic: 16.1
1,1-dichloropropane reacts with aqueous sodium hydroxide in a series of steps to give propanal.

Which term describes the first step of this reaction?
▶️ Answer/Explanation
Ans: D
The first step involves **nucleophilic substitution**, where hydroxide ions (OH–) replace one chlorine atom in 1,1-dichloropropane to form 1-chloropropan-1-ol. This is not an addition (no new atoms are added without removal), elimination (no double bond forms), or oxidation (no increase in oxidation state yet). Subsequent steps convert the intermediate to propanal.
Topic: 16.1
Propanoic acid can be made from bromoethane using a two-stage synthesis. Which pair of reagents is most suitable?

▶️ Answer/Explanation
Ans: D
To synthesize propanoic acid from bromoethane:
- Stage 1 (Nucleophilic Substitution): React bromoethane (\(CH_3CH_2Br\)) with KCN/ethanol to form propanenitrile (\(CH_3CH_2CN\)). \[ CH_3CH_2Br + KCN \rightarrow CH_3CH_2CN + KBr \]
- Stage 2 (Hydrolysis): Hydrolyze propanenitrile with dilute HCl/heat to yield propanoic acid (\(CH_3CH_2COOH\)). \[ CH_3CH_2CN + 2H_2O + HCl \rightarrow CH_3CH_2COOH + NH_4Cl \]
Option D (KCN followed by dilute HCl) is the only pair that accomplishes this conversion correctly.
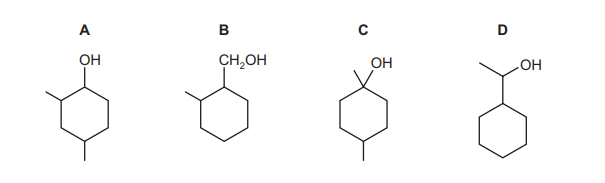
Topic: 18.2
Alcohol X gives a yellow precipitate with alkaline \(I_2\)(aq). What is the structure of X?

▶️ Answer/Explanation
Ans: D
The yellow precipitate with alkaline \(I_2\)(aq) indicates a positive iodoform test, which is characteristic of alcohols containing the \(CH_3CH(OH)\) group (methyl carbinol) or compounds that can be oxidized to this structure. Among the given options, only D (\(CH_3CH_2CH(OH)CH_3\)) fits this criterion, as it has a secondary alcohol with a methyl group adjacent to the hydroxyl-bearing carbon, allowing oxidation to \(CH_3COCH_3\) (a methyl ketone) that reacts with \(I_2\) to form iodoform (\(CHI_3\)).
Topic: 18.2
When ethanol reacts with sodium metal, ethoxide ions, CH₃CH₂O⁻, are produced. When water reacts with sodium metal, OH⁻ ions are produced. Which statement about these reactions and the ethoxide ion is correct?
A. At the same temperature, the rate of reaction between sodium and ethanol is greater than that between sodium and water.
B. CH₃CH₂O⁻ is a stronger base than OH⁻ due to the electron-donating effect of the ethyl group.
C. The negative charge on the oxygen in an ethoxide ion is delocalised.
D. It is easier to deprotonate ethanol as it is more acidic than water.
▶️ Answer/Explanation
Ans: B
Option B is correct because the ethyl group (CH₃CH₂−) in ethoxide ion exhibits an electron-donating inductive effect (+I effect), which increases the electron density on oxygen, making CH₃CH₂O⁻ a stronger base than OH⁻. The other options are incorrect: A (water reacts more vigorously with sodium than ethanol), C (the negative charge on oxygen in ethoxide is localized, not delocalized), and D (water is more acidic than ethanol, making it easier to deprotonate).
Topic: 18.2
Menthol is a naturally occurring alcohol.

When menthol is heated with concentrated sulfuric acid it reacts. The products formed include compound T. What is the structure of compound T?

▶️ Answer/Explanation
Ans: D
When menthol (a secondary alcohol) is heated with concentrated sulfuric acid, it undergoes elimination (dehydration) to form an alkene. The hydroxyl group (-OH) and a hydrogen from the adjacent carbon are removed, resulting in the formation of a double bond.
In menthol’s structure, the most stable alkene formed is the trisubstituted alkene (Option D), as it follows Zaitsev’s rule (the major product is the more substituted alkene). The other options (A, B, C) show less stable alkenes or incorrect structures.
Thus, the correct structure of compound T is D.
Topic: 17.1
Which compound will produce a yellow-orange precipitate when added to 2,4-dinitrophenylhydrazine?

▶️ Answer/Explanation
Ans: D
1. 2,4-DNPH Test: This reagent reacts with carbonyl compounds (aldehydes and ketones) to form yellow-orange precipitates of 2,4-dinitrophenylhydrazones.
2. Compound Analysis:
- A: Alcohol (-OH group) – No reaction
- B: Alkene (C=C) – No reaction
- C: Carboxylic acid (-COOH) – No reaction
- D: Ketone (C=O) – Positive test
3. Conclusion: Only compound D (the ketone) will form the characteristic yellow-orange precipitate with 2,4-DNPH.
Topic: 17.1
Ethanal, CH₃CHO, undergoes an addition reaction with HCN in the presence of CN⁻ ions. Which row identifies the type of reaction and the name of the product formed?

▶️ Answer/Explanation
Ans: C
1. The reaction between ethanal (CH₃CHO) and HCN is a nucleophilic addition reaction. The CN⁻ ion acts as a nucleophile, attacking the electrophilic carbonyl carbon.
2. The product formed is 2-hydroxypropanenitrile (CH₃CH(OH)CN), which is a cyanohydrin. This occurs when HCN adds across the C=O bond.
3. The mechanism involves:
- Nucleophilic attack by CN⁻ on the carbonyl carbon
- Protonation of the resulting alkoxide ion
4. The reaction is not substitution (eliminates options A and B) and the product is not an aldehyde (eliminates D), making C the correct choice.
Topic: 19.1
The structure of compound X is shown.

What is produced when X is heated with NaOH(aq)? 
▶️ Answer/Explanation
Ans: C
1. Reaction Type: Compound X undergoes an aldol condensation when heated with NaOH(aq), as it contains an α-hydrogen (attached to the carbon adjacent to the carbonyl group).
2. Mechanism: – Deprotonation: NaOH abstracts the α-hydrogen, forming an enolate ion. – Nucleophilic attack: The enolate attacks another carbonyl carbon. – Condensation: Elimination of water forms an α,β-unsaturated carbonyl compound.
3. Product Identification: The product is an α,β-unsaturated aldehyde with the structure matching option C.
Thus, heating X with NaOH(aq) yields the compound shown in C.
Topic: 22.1
The infrared spectrum of compound L is shown.

What is the structure of L?
▶️ Answer/Explanation
Ans: C
The IR spectrum shows:
- A broad peak at ~3300 cm⁻¹ (O-H stretch, indicating alcohols).
- No peak at ~1700 cm⁻¹ (absence of C=O stretch, ruling out aldehydes, ketones, or carboxylic acids).
- No sharp peak at ~2700 cm⁻¹ (confirms no aldehyde C-H stretch).
Option C (\(HOCH_2CH(OH)CH_2OH\)) is the only structure with multiple O-H groups (consistent with the broad peak) and no C=O or CHO groups. This matches the spectrum perfectly, making it the correct answer.
Topic: 22.2
In the mass spectrum of compound J, the ratio of the height of the M+1 ion peak to the height of the M+ ion peak is 4 : 91. Compound J forms a carboxylic acid when heated with acidified K₂Cr₂O₇. What is compound J?
▶️ Answer/Explanation
Ans: A
Step 1: Analyze the M+1 peak ratio (4:91)
The ratio of the M+1 peak to the M+ peak is approximately 4.4% (4/91 × 100). This matches the natural abundance of 13C isotopes in a molecule with 4 carbon atoms (since each carbon contributes ~1.1% to the M+1 peak).
Step 2: Determine functional group reactivity
Compound J oxidizes to a carboxylic acid with K₂Cr₂O₇, indicating it must be an aldehyde (butanal) or a primary alcohol (propan-1-ol). Butanone (ketone) and propanenitrile (nitrile) do not oxidize to carboxylic acids under these conditions.
Step 3: Match carbon count
Propan-1-ol (C₃H₇OH) has only 3 carbons, inconsistent with the M+1 ratio. Butanal (C₄H₈O) fits both the 4-carbon requirement and the oxidation behavior.
Thus, the correct answer is A (butanal).
