Topic: 9.1
The elements silicon, phosphorus and sulfur are in Period 3 of the Periodic Table.
(a) (i) Describe the variation in atomic radius from silicon to sulfur.
(ii) The melting point of silicon is 1410°C. The melting point of sulfur is 113°C. Explain this difference.
(b) Table 1.1 shows some properties of the elements Si to S. The first ionisation energy of P is not shown.

(iii) Three possible values for the first ionisation energy of P are given.
619 \(kJmol^{–1}\) 893 \(kJmol^{–1}\) 1060\(kJmol^{–1}\)
Circle the correct value. Explain your choice, including a comparison of your chosen value to those of Si and S.
(iv) SiCl₄ and PCl₅ each react with water, forming misty fumes. Identify the chemical responsible for the misty fumes.
(v) Predict the shape of the SCl₂ molecule.
▶️ Answer/Explanation
(a)(i) The atomic radius decreases from silicon to sulfur.
Explanation: Across Period 3, the nuclear charge increases while electrons are added to the same shell. The stronger effective nuclear attraction reduces the atomic radius.
(a)(ii) Silicon has a giant covalent structure, whereas sulfur has simple molecular structure.
Explanation: Silicon’s high melting point is due to breaking strong covalent bonds, while sulfur’s low melting point involves overcoming weak intermolecular forces.
(b)(iii) The correct value is 1060 \(kJmol^{–1}\).
Explanation: Phosphorus has a higher ionisation energy than silicon due to greater nuclear charge. Sulfur’s ionisation energy is lower than phosphorus due to electron repulsion in paired 3p orbitals.
(b)(iv) The misty fumes are due to hydrogen chloride (HCl).
Explanation: Both SiCl₄ and PCl₅ react with water to form HCl gas, which produces misty fumes in moist air.
(b)(v) The shape of SCl₂ is non-linear (bent).
Explanation: SCl₂ has two bonding pairs and two lone pairs on sulfur, resulting in a bent molecular geometry (V-shaped).
Topic: 7.1
NO and NO₂ react at 25°C to give N₂O₃ as shown in the equation.
\(NO(g) + NO_2(g)\rightleftharpoons N_2O_3(g)\) ΔH =\( –7.2kJmol^{–1}\)
The reaction is reversible and reaches equilibrium in a closed system.
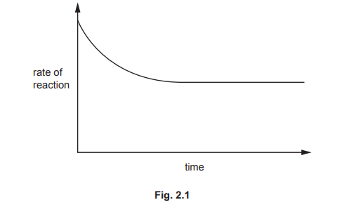
(a) Fig. 2.1 shows how the rate of the forward reaction changes with time. Initially, the rate of the reverse reaction is zero. Complete Fig. 2.1 to sketch how the rate of the reverse reaction changes with time.

(b) State how the position of equilibrium changes, if at all, when the reaction takes place at 100°C. Explain your answer. Assume the pressure remains constant.
(c) Table 2.1 shows the composition of an equilibrium mixture of NO(g), \(NO_2(g)\) and \(N_2O_3(g)\) at 101 kPa.

Calculate \(K_p\), the equilibrium constant with respect to partial pressures. Deduce the units of \(K_p\).
(d) Identify one natural process and one man-made process that cause the formation of atmospheric NO and NO₂.
(e) NO₂ is a brown gas that can be used to form nitric acid.
(i) NO₂ is a free radical. Define free radical.
(ii) NO₂ has a catalytic role in the oxidation of atmospheric sulfur dioxide. Write equations to show the catalytic role of NO₂ in this oxidation.
(iii) State one environmental consequence of the oxidation of atmospheric sulfur dioxide.
(f) A student titrates nitric acid with a base to form a solution containing aqueous magnesium nitrate.
(i) Identify a base that the student could use.
(ii) The student evaporates the water to obtain magnesium nitrate solid. When this solid is heated it decomposes. Write an equation for the decomposition of magnesium nitrate.
(iii) State how the thermal stability of Group 2 nitrates changes down the group.
▶️ Answer/Explanation
(a)

Explanation: The reverse reaction rate starts at zero and increases over time until it matches the forward reaction rate at equilibrium. The graph shows a curve rising to meet the horizontal line of the forward reaction rate.
(b) The equilibrium shifts to the left (towards reactants).
Explanation: Since the forward reaction is exothermic (\(ΔH = –7.2\,kJ\,mol^{–1}\)), increasing the temperature (to 100°C) favors the endothermic reverse reaction, shifting the equilibrium left.
(c) \(K_p = \frac{P_{N_2O_3}}{P_{NO} \cdot P_{NO_2}} = \frac{20}{(30)(50)} = 0.0133\,kPa^{-1}\).
Explanation: Using partial pressures from the table, \(K_p\) is calculated. The units are \(kPa^{-1}\) because the numerator has one gas and the denominator has two partial pressures.
(d) Natural process: lightning. Man-made process: internal combustion engines.
Explanation: Lightning produces NO and NO₂ from atmospheric nitrogen and oxygen, while combustion engines emit these gases as pollutants.
(e)(i) A free radical is a species with one or more unpaired electrons.
(ii) \(NO_2 + SO_2 → SO_3 + NO\) and \(NO + \frac{1}{2}O_2 → NO_2\).
Explanation: NO₂ oxidizes SO₂ to SO₃ and is regenerated, acting as a catalyst.
(iii) Acid rain formation.
(f)(i) Magnesium hydroxide (Mg(OH)₂).
(ii) \(Mg(NO_3)_2 → MgO + 2NO_2 + \frac{1}{2}O_2\).
Explanation: Heating magnesium nitrate decomposes it into magnesium oxide, nitrogen dioxide, and oxygen.
(iii) Thermal stability increases down Group 2.
Topic: 11.3
Phosphoric(V) acid, H₃PO₄, is used in both inorganic and organic reactions.
(a) H₃PO₄ is made in a two-step process from phosphorus.
step 1 Phosphorus reacts with an excess of oxygen to form a white solid.
step 2 The white solid then reacts with water to form H₃PO₄.
(i) Write an equation for each step.
(ii) H₃PO₄ is a weak Brønsted–Lowry acid. Define weak Brønsted–Lowry acid.
(b) H₃PO₄ is also formed in the process shown in reaction 1.
reaction 1 \(4H_3PO_3 \to 3H_3PO_4 + PH_3\)
Table 3.1 shows some relevant thermodynamic data.
(i) Define enthalpy change of formation.
(ii) Use the data in Table 3.1 to calculate the enthalpy change, \(\Delta H_r\), of reaction 1.
(iii) Explain why reaction 1 is a disproportionation reaction. Explain your reasoning with reference to relevant oxidation numbers.
(c) Fig. 3.1 shows a reaction scheme that involves H₃PO₄ in several reactions.
(i) Identify A, which reacts with propene in the presence of H₃PO₄ in reaction 2.
(ii) Draw the structure of B.
(iii) Name the type of reaction that occurs in reaction 3.
(iv) Reaction 3 is monitored using infrared spectroscopy. It is not possible to use the O—H absorption frequency to monitor the reaction. Use Table 3.2 to identify a suitable bond whose absorption frequency can be used to monitor the progress of reaction 3. State the change you would see in the infrared spectrum during reaction 3.

(d) H₃PO₄ also reacts with alcohols to form organophosphates. Organophosphates are compounds similar to esters. They have the general structure shown in Fig. 3.2.

(i) Complete the equation to suggest the products of the reaction of H₃PO₄ with methanol, CH₃OH.
(ii) Compound T is a simple organophosphate. The mass spectrum of T shows a molecular ion peak at m/e = 182. This peak has a relative intensity of 12.7. The relative intensity of the M+1 peak is 0.84. Deduce the number of carbon atoms in T. Hence suggest the molecular formula of T. Assume that phosphorus and oxygen exist as single isotopes. Show your working.
▶️ Answer/Explanation
(a)(i)
Step 1: \(4P + 5O_2 \to P_4O_{10}\)
Step 2: \(P_4O_{10} + 6H_2O \to 4H_3PO_4\)
Explanation: Phosphorus reacts with oxygen to form phosphorus pentoxide (\(P_4O_{10}\)), which then hydrolyzes with water to produce phosphoric acid (\(H_3PO_4\)).
(a)(ii) A weak Brønsted–Lowry acid is a proton (H⁺) donor that partially dissociates in solution.
Explanation: \(H_3PO_4\) does not fully ionize in water, releasing only a fraction of its protons.
(b)(i) Enthalpy change of formation is the energy change when one mole of a compound is formed from its constituent elements in their standard states.
(b)(ii) \(\Delta H_r = +9 + 3(-1281) – 4(-972) = +54 \text{ kJ mol}^{-1}\)
Explanation: The enthalpy change is calculated using the given stoichiometry and standard enthalpies of formation.
(b)(iii) This is a disproportionation reaction because phosphorus in \(H_3PO_3\) is both oxidized (to \(H_3PO_4\)) and reduced (to \(PH_3\)).
Explanation: The oxidation state of P changes from +3 to +5 (oxidation) and +3 to -3 (reduction).
(c)(i) A is \(H_2O\) (water/steam).
(c)(ii) Structure of B:

(c)(iii) The reaction type is condensation.
(c)(iv) Bond: C=O
Change in infrared spectrum: The absorption shifts from 1670–1740 cm⁻¹ to 1710–1750 cm⁻¹.
(d)(i) \(H_3PO_4 + 3CH_3OH \to (CH_3O)_3PO + 3H_2O\)
(d)(ii) Number of carbon atoms = \(\frac{0.84}{12.7} \times \frac{100}{1.1} = 6\)
Molecular formula: \(C_6H_{15}O_4P\)
Explanation: The M+1 peak intensity ratio is used to determine the number of carbon atoms, leading to the molecular formula.
Topic: 15.1
Lactic acid, CH₃CH(OH)COOH, and pyruvic acid, CH₃COCOOH, both contain two functional groups.

(a) (i) Explain why lactic acid exists as optical isomers.
(ii) Give the systematic name of lactic acid.
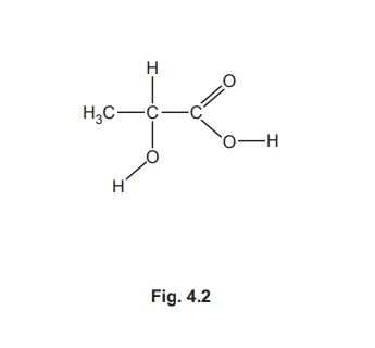
(iii) Lactic acid forms hydrogen bonds with water. Complete Fig. 4.2 to show the formation of a hydrogen bond between one molecule of lactic acid and one molecule of water. Label the hydrogen bond. Show any relevant dipoles and lone pairs of electrons.

(b) Two possible syntheses of pyruvic acid are shown in Fig. 4.3 and Fig. 4.4. Each synthesis has a total of three steps.

(i) Complete the diagram in Fig. 4.5 to show the mechanism for the reaction of propene with Br₂. Include charges, dipoles, lone pairs of electrons and curly arrows, as appropriate. 
(ii) Write an equation for the oxidation of lactic acid to pyruvic acid, the third step of Fig. 4.4. Use [O] to represent one atom of oxygen from an oxidising agent.
CH₃CH(OH)COOH + ………………….
(iii) Complete Table 4.1 to give details of the reagents and conditions used in each of the two syntheses shown in Fig. 4.3 and Fig. 4.4.

▶️ Answer/Explanation
(a)(i) Lactic acid exists as optical isomers because it contains a chiral carbon (the central carbon bonded to four different groups: -H, -OH, -CH₃, and -COOH), leading to non-superimposable mirror images.
(a)(ii) The systematic name of lactic acid is 2-hydroxypropanoic acid.
(a)(iii) The hydrogen bond forms between the lone pair on the oxygen of water and the hydrogen of the -OH group in lactic acid. The diagram shows a dashed line for the H-bond, partial charges (δ⁺ and δ⁻), and lone pairs.

(b)(i) The mechanism for the reaction of propene with Br₂ involves electrophilic addition, forming a cyclic bromonium ion intermediate, followed by nucleophilic attack by Br⁻ to yield 1,2-dibromopropane.

(b)(ii) The oxidation equation is:
CH₃CH(OH)COOH + [O] → CH₃COCOOH + H₂O
(b)(iii) Reagents and conditions for the syntheses:
Fig. 4.3: HCN/KCN (or NaCN with H₂SO₄), NaOH(aq), dilute HCl/H₂SO₄.
Fig. 4.4: Acidified K₂Cr₂O₇.
