Question
An antiderivative of \(f(x)=e^{x+e^{x}} \)is
(A)\(\frac{e^{x+e^{x}}}{1+e^{x}}\) (B)\(\left ( 1+e^{x} \right )e^{x+e^{x}}\) (C)\(e^{x+e^{x}}\) (D) 1 (E)\(e^{e^{x}}\)
Answer/Explanation
Ans:E
Question
If f is the antiderivative of \(\frac{x^2}{1+x^5}\) such that f (1) = 0 , then f (4) =
(A) -0.012 (B) 0 (C) 0.016 (D) 0.376 (E) 0.629
Answer/Explanation
Ans:D

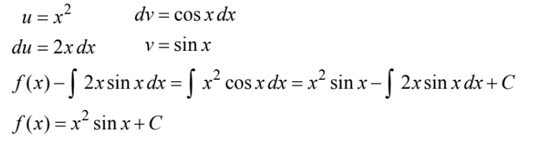
Question
If \(\int x^{2}cosxdx=f(x)-\int 2xsinxdx,thenf(x)\)
(A)\(2sinx+2xcosx+C\)
(B)\(x^{2}sinx+C\)
(C)\(2xcosx-x^{2}-x^{2}sinx+C\)
(D)\(4cosx-2xsinx+C\)
(E)\(\left ( 2-x^{2} \right )cosx-4sinx+C\)
Answer/Explanation
Ans:B
Use the technique of antiderivatives by parts to evaluate ![]()

Question
If \(\int f(x)sinxdx=-f(x)cosx+\int 3x^{2}cosxdx,\) then f(x) could be
(A)\(3x^{2}\) (B)\(x^{3}\) (C)\(-x^{3}\) (D)sinx (E)cosx
Answer/Explanation
Ans:D
