Refraction AP Physics 2 MCQ – Exam Style Questions etc.
Refraction AP Physics 2 MCQ
Unit 13: Geometric and Physical Optics
Weightage : 15–18%
Exam Style Practice Questions , Refraction AP Physics 2 MCQ
Question

(10 points, suggested time 20 minutes)
A rectangular tank with a mirrored bottom is filled with water (index of refraction \( n_{w}\)). A beam of light passes from air (index of refraction \( n_{a}\)) into the water at angle qi from the normal, as shown in Figure 1. Index of refraction \( n_{w}\) is greater than index of refraction \( n_{a}\).
(a) On the following diagram, sketch the entire path of the beam as the beam enters, travels through, and then exits the water.


Sugar is then added to the water, resulting in a mixture that has a different index of refraction than water. A student considers two models, Model A and Model B, for how the sugar mixes with water. The models are shown in Figure 2.
Model A: The sugar is uniformly mixed throughout the water, resulting in a mixture with index of refraction \( n_{m}\) such that \( n_{m}\) > \( n_{w}\).
Model B: Layers are formed of varying concentrations of sugar in the water. There are three distinct layers of equal volume. The top layer is only water (index of refraction \( n_{w}\)). The middle layer has the same concentration of sugar as the mixture in Model A (index of refraction nm). The bottom layer has the highest concentration of sugar (index of refraction \( n_{b}\)).
(b) Consider Model A. Briefly describe how the observed wavelength of light changes, if at all, as the beam travels from air into the mixture.
(c) Relevant angles between the beam and the normal for the various layers present in models A and B are defined in the following table.

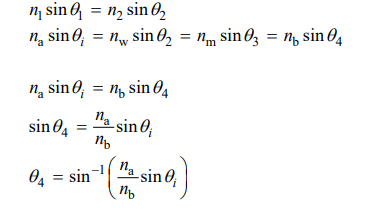
i. Determine an expression for \(\Theta _{4}\) in terms of \(\Theta _{i}\), \( n_{a}\) , and \( n_{b}\) .
ii. Rank the angles from greatest to least, with 1 being greatest. If two angles are the same value, give them the same ranking.
____ \(\Theta _{1}\) _____ \(\Theta _{2}\) _____ \(\Theta _{3}\) _____ \(\Theta _{4}\)
Briefly explain your reasoning using appropriate physics principles and/or mathematical models.

For the original tank filled with water, the beam is observed to exit the surface of the water a horizontal distance \( d_{w}\)from the entry point. For models A and B, the horizontal distances are \( d_{A}\) and \( d_{B}\), respectively.
(d) Determine whether \( d_{A}\) and \( d_{B}\) are each greater than, less than, or equal to \( d_{w}\). It is NOT necessary to compare \( d_{A}\) to \( d_{B}\). Briefly justify your answer.
▶️Answer/Explanation
1(a) Example Response

1(b)Example Response
As light travels from one medium to a medium that has a higher index of refraction, the speed of light decreases and the frequency of the light remains the same. Therefore, the wavelength of the light decreases, as described by the equation \(\lambda = \frac{v}{f}\).
(c)(i) Example Solution

(c)(ii) Example Response
2 \(\Theta _{1}\) 1 \(\Theta _{2}\) 2 \(\Theta _{3}\) 3 \(\Theta _{4}\)
\(\Theta _{2}\) has the greatest value because water has the lowest index of refraction. \(\Theta _{1}\) and \(\Theta _{3}\) are equal because each is in the same layer with the same index of refraction, but the angles are smaller than \(\Theta _{2}\) because the index of refraction is larger in this layer. \(\Theta _{4}\) has the smallest value because the bottom layer has the highest index of refraction.
(d) Example Response
Horizontal distances \( d_{A}\) and \( B_{d}\) are less than \( d_{w}\) . The light rays for all scenarios are entering from air. However, in models A and B, the light rays enter a medium with an index of refraction that is greater than that of water. Therefore, the light rays bend more toward the normal in models A and B than in the original tank. Bending more toward the normal results in a shorter horizontal distance traveled.
Question: (10 points – suggested time 20 minutes)

The figure above shows a cross section of a drinking glass (index of refraction 1.52) filled with a thin layer of liquid (index of refraction 1.33). The bottom corners of the glass are circular arcs, with the bottom right arc centered at point O. A monochromatic light source placed to the right of point P shines a beam aimed at point O at an angle of incidence θ . The flat bottom surface of the glass containing point P is frosted so that bright spots appear where light from the beam strikes the bottom surface and does not reflect. When θ = θ1, two bright spots appear on the bottom surface of the glass. The spot closer to point P will be referred to as X; the spot farther from P will be referred to as Y. The location of spot X and that of spot Y both change as θ is increased.
(a) In a coherent paragraph-length answer, describe the processes involved in the formation of spots X and Y when θ = θ1 . Include an explanation of why spot Y is located farther from point P than spot X is and what factors affect the brightness of the spots.
(b) When θ is increased to θ2 , one of the spots becomes brighter than it was before, due to total internal reflection.
i. On the figure below, draw a ray diagram that clearly and accurately shows the formation of spots X and Y when θ = θ2.

ii. Which spot, X or Y, becomes brighter than it was before due to total internal reflection? Explain your reasoning.
(c) When θ is further increased to θ3, one of the spots disappears entirely.
i. On the figure below, draw a ray diagram that clearly and accurately shows the formation of the remaining spot, X or Y, when θ = θ3 .

ii. Indicate which spot, X or Y, disappears. Explain your reasoning in terms of total internal reflection.
Answer/Explanation
Ans:

Spot X is formed by the light that bounces off of the liquid and directly onto the bottom of the glass. Spot Y is formed by the light that passes through the glass, into the liquid (refracted) then bounces off of the air-liquid boundary back into the liquid and is then refracted by the glass after passing through it making a spot on the bottom. The amounts of light that are a each stage reflected, refracted determines the spot brightness and the light that firms Y travels further horizontally as the liquid refracts and reflects it further than that of spot X.
(b) i.

ii.
At some angle θ2 that angle within the liquid passes the critical angle after which there is total internal (reflection off of the air so more light gets reflected, making Y brighter.
(c)
i.

ii.
At θ3 the critical angle for the glass liquid boundary is surpassed and the light is totally internally reflected so some of it can create Y, so it dissappears.
Question
A ray of light is incident on an unknown transparent substance from the air. The angle of incidence is 40°, and the angle of refraction is 22°.
(a) Explain why these measurements indicate that a change in speed must be happening as the light changes medium. Qualitatively justify whether the speed of light in the unknown transparent substance is higher or lower than that of air.
(b) Calculate the absolute index of refraction for this substance. Calculate the velocity of light in this substance.
(c) The substance is now submerged in glycerol ( n = 1.47). Calculate the critical angle of incidence for light going from the unknown substance into glycerol. Explain why there is no critical angle when going the other way, from glycerol into the substance.
(d) The substance is now shaped into a convex lens. How does the focal length of this lens compare with the focal length of a similar-shaped lens made out of crown glass ( n = 1.52)? Justify your answer.
Answer/Explanation
Ans:
(a) The change in angle as the ray of light changes medium is due to a change in speed. Just as a rolling cylinder will pivot if one end of it comes into contact with a rougher surface, so too will the ray of light pivot as it changes speed when crossing from one medium into another. Since the light is pivoting toward the normal, the new medium must be a slower one.
(b) Use: \(n_{1}\sin \theta _{1}=n_{2}\sin \theta _{2}\)
Since air has the index of refraction \(n_{1}\) = 1.00, we have:
\(n_{2}=\frac{\sin \theta _{1}}{\sin \theta _{2}}=\frac{\sin 40^{\circ}}{\sin 22^{\circ}}=1.72\)
Use the relationship between velocity and index of refraction to find the new speed:
v = c / n = (3 × \(10^{8}\))/1.72 = 1.74 × \(10^{8}\) m/s
(c) For the critical angle, we know that the angle of refraction will be 90°:
\(\sin \theta _{c}=n_{2}/n_{1}=\) 1.47/1.74 = 0.8448
\(\theta _{c}=\) 58°
There was no critical angle when reversing the direction because total internal reflection can happen only when going from a slower medium to a faster one (i.e., higher n to lower n ). This is so because going from a slower medium to a faster medium refracts the light away from the normal, toward the surface. This creates a limiting case (called the critical angle) that refracts light all the way to the surface itself (90- degree refraction). Angles beyond this don’t work; no refraction occurs. When going from a faster medium to a slower medium, the light ray refracts toward the normal. So there is always a refracted solution and, hence, no critical angle.
(d) The focal length of the lens made from the unknown substance will be shorter than the focal length of the lens made from crown glass. Since the index of refraction of the unknown substance is greater than that of crown glass, light will refract more. Thus the converging point for the focal length will be closer to the lens.


