AP® Physics C: E&M - Redistribution of Charge between Conductors - MCQs
Questions

A hollow conducting sphere is surrounded by a larger concentric spherical conducting shell, as shown above. The inner sphere has a net charge of –Q, and the outer sphere has a net charge of +3Q. What is the net charge on the outer surface of the spherical shell?
(A) 0
(B) +Q
(C) +2Q
(D) +3Q
(E) +4Q
▶️Answer/Explanation
Ans: C
Questions

A hollow conducting sphere is surrounded by a larger concentric spherical conducting shell, as shown above. The inner sphere has a net charge of –Q, and the outer sphere has a net charge of +3Q. What is the net charge on the inner surface of the spherical shell?
(A) -Q
(B) O
(C) +Q
(D) +2Q
(E) +3Q
▶️Answer/Explanation
Ans: C
Questions

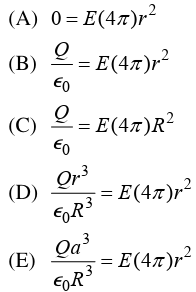
An insulated nonconducting sphere of radius R has a charge Q uniformly distributed throughout its volume. It is surrounded by a concentric spherical conducting shell of inner radius a and outer radius b, as shown in the figure above. There is no net charge on the conducting shell. Let E be the electric field magnitude at a distance r from the center of the spheres. Which of the following represents a correct application of Gauss’s law for r < R ?

▶️Answer/Explanation
Ans: D
