AP Precalculus -1.1 Change in Tandem- MCQ Exam Style Questions - Effective Fall 2023
AP Precalculus -1.1 Change in Tandem- MCQ Exam Style Questions – Effective Fall 2023
AP Precalculus -1.1 Change in Tandem- MCQ Exam Style Questions – AP Precalculus- per latest AP Precalculus Syllabus.
Question

▶️ Answer/Explanation
As the car moves around a circular track, its distance from a fixed wall varies periodically: it is closest to the wall at one point and farthest away half a lap later.
One full lap corresponds to one complete cycle of distance variation (from near to far and back to near).
Three laps ⇒ three complete cycles in the distance–time graph.
The graph should therefore be wave-like (sinusoidal or similar), smooth, and periodic with three cycles.
Such a graph matches choice (A).
✅ Answer: (A)
Question
▶️ Answer/Explanation
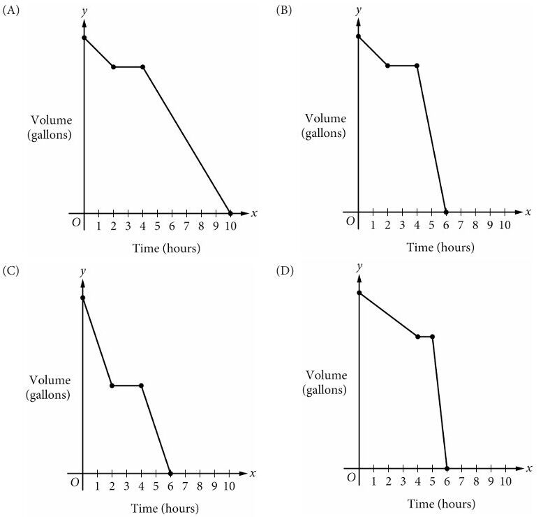
Sequence of events:
1. First 2 hours: pump works at slower constant rate (volume decreases linearly, shallow slope).
2. Pump stops for some time (volume constant, horizontal segment).
3. Pump resumes at usual (faster) constant rate until empty (volume decreases linearly, steeper slope).
4. Total time = 6 hours.
Graph must show three pieces: shallow decrease, flat, steep decrease, ending at volume 0 by t=6.
From answer key, Graph B matches.
✅ Answer: (B)
Question
▶️ Answer/Explanation
To transform the graph, apply a horizontal translation left by \(\frac{1}{2}\) unit followed by a horizontal compression by a factor of \(\frac{2}{3}\).
Reasoning: Shifting left by \(\frac{1}{2}\) changes \(x \to x + \frac{1}{2}\), giving \(f(2(x+0.5)+1) = f(2x+2)\). Compressing by \(\frac{2}{3}\) changes \(x \to \frac{3}{2}x\), resulting in \(f(2(\frac{3}{2}x)+2) = f(3x+2)\).
First, apply a horizontal translation left by 1 unit to get \(y = f(x+1)\). Then, apply a horizontal compression by a factor of \(\frac{1}{2}\). This replaces \(x\) with \(2x\), resulting in \(y = f(2x+1)\).
First, apply a horizontal compression by a factor of \(\frac{1}{2}\) to get \(y = f(2x)\). Then, apply a horizontal translation left by \(\frac{1}{2}\) unit. This replaces \(x\) with \(x+\frac{1}{2}\), resulting in \(y = f(2(x+0.5)) = f(2x+1)\).



