AP Precalculus -2.6 Competing Function Models- MCQ Exam Style Questions - Effective Fall 2023
AP Precalculus -2.6 Competing Function Models- MCQ Exam Style Questions – Effective Fall 2023
AP Precalculus -2.6 Competing Function Models- MCQ Exam Style Questions – AP Precalculus- per latest AP Precalculus Syllabus.
Question
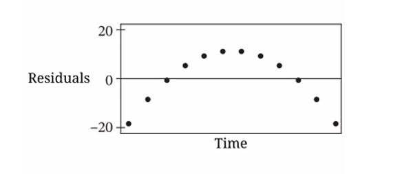
(B) The linear model is not appropriate, because the graph of the residuals has more points above 0 than below 0.
(C) The linear model is appropriate, because there is a clear pattern in the graph of the residuals.
(D) The linear model is appropriate, because the positive residual farthest from 0 and the negative residual farthest from 0 are about the same distance, although more points are above 0 than below 0.
▶️ Answer/Explanation
If residuals show a clear pattern (curved shape, systematic deviation), the linear model is not appropriate.
From the description/figure (not shown here), residuals likely show a pattern.
✅ Answer: (A)
Question
| \( t \) (months) | 0 | 1 | 2 | 3 | 4 |
|---|---|---|---|---|---|
| \( P(t) \) (thousands) | 20 | 30 | 45 | 67.5 | 101.25 |
(A) \( y = 10t + 20 \)
(B) \( y = \frac{325}{16} t + 20 \)
(C) \( y = 20\left(\frac{2}{3}\right)^t \)
(D) \( y = 20\left(\frac{3}{2}\right)^t \)
▶️ Answer/Explanation
Observe the ratios of consecutive outputs:
\( 30/20 = 1.5 \), \( 45/30 = 1.5 \), \( 67.5/45 = 1.5 \), \( 101.25/67.5 = 1.5 \).
Constant ratio \( 1.5 = \frac{3}{2} \) indicates exponential growth: \( P(t) = a \cdot \left(\frac{3}{2}\right)^t \).
Using \( P(0) = 20 \) gives \( a = 20 \).
Thus \( P(t) = 20\left(\frac{3}{2}\right)^t \).
✅ Answer: (D)
Question
(B) The model produces an underestimate at \(A\) and an overestimate at \(B\). Based on the absolute values of the residuals, there is a greater error in the model with \(B\) than with \(A\).
(C) The model produces an overestimate at \(A\) and an underestimate at \(B\). Based on the absolute values of the residuals, there is a greater error in the model with \(A\) than with \(B\).
(D) The model produces an underestimate at \(A\) and an overestimate at \(B\). Based on the absolute values of the residuals, there is a greater error in the model with \(A\) than with \(B\).
▶️ Answer/Explanation
1. Understand Residuals:
\(\text{Residual} = \text{Actual} – \text{Predicted}\).
2. Analyze Point A (Residual = 1.3):
\(1.3 > 0\), so \(\text{Actual} > \text{Predicted}\). The model underestimated the value.
3. Analyze Point B (Residual = -2.5):
\(-2.5 < 0\), so \(\text{Actual} < \text{Predicted}\). The model overestimated the value.
4. Compare Errors:
The magnitude of the error is the absolute value of the residual.
Error at A: \(|1.3| = 1.3\)
Error at B: \(|-2.5| = 2.5\)
Since \(2.5 > 1.3\), the error is greater with B.
✅ Answer: (B)
Question
(B) \( y = \frac{325}{16}t + 20 \)
(C) \( y = 20\left(\frac{2}{3}\right)^t \)
(D) \( y = 20\left(\frac{3}{2}\right)^t \)
▶️ Answer/Explanation
Check ratios:
\( P(1)/P(0) = 30/20 = 1.5 \)
\( P(2)/P(1) = 45/30 = 1.5 \)
\( P(3)/P(2) = 67.5/45 = 1.5 \)
\( P(4)/P(3) = 101.25/67.5 = 1.5 \)
Constant ratio ⇒ exponential growth with base \( b = 1.5 = \frac{3}{2} \).
Initial value \( P(0) = 20 \) ⇒ \( a = 20 \).
Thus \( P(t) = 20 \left( \frac{3}{2} \right)^t \).
✅ Answer: (D)
Question

b. A logarithmic regression is not appropriate for this data set.
c. An exponential regression is appropriate for this data set.
d. A logarithmic regression is appropriate for this data set.
▶️ Answer/Explanation
The transformation used is $(x, \log y)$, which is the standard method to linearize an exponential model.
A residual plot shows the difference between the observed values and the values predicted by the regression line.
The provided residual plot shows a clear distinct curved pattern (a parabolic shape).
In statistics, a patterned residual plot indicates that the chosen model is not a good fit for the data.
Since the linear model was applied to $(x, \log y)$, this “bad fit” refers to the underlying exponential relationship.
Therefore, an exponential regression is not appropriate for this specific data set.
Correct Option: a
Question

(B) A linear regression model is appropriate, but a quadratic regression may be a better model.
(C) A linear regression model is not appropriate, because the residuals do not show a linear pattern.
(D) A linear regression model is not appropriate, because the residuals show a clear pattern.
▶️ Answer/Explanation
The correct option is (D).
A residual plot should show a random scatter of points if a linear model is appropriate.
In this graph, the residuals exhibit a distinct $U$-shaped or curved pattern.
The presence of a non-random pattern indicates that the linear model fails to capture the underlying trend.
Therefore, the linear regression is not appropriate for this specific dataset.
This pattern suggests that a nonlinear model, such as a quadratic one, would be a better fit.
Option (D) correctly identifies that the pattern itself is the reason for the model’s inappropriateness.
Question

▶️ Answer/Explanation
The correct option is (B).
The residual plot shows a distinct curved, non-random pattern (a “U” or “inverted U” shape).
A curved pattern in a residual plot indicates that the model used is not appropriate for the data.
The original scatterplot shows a curved relationship that could be modeled by a quadratic function $y = ax^2 + bx + c$.
However, since the residuals are not randomly scattered around the $y = 0$ line, a quadratic fit fails to capture the full trend.
For a model to be appropriate, the residuals should be randomly distributed with no discernible pattern.
Therefore, the quadratic model was used, but the resulting pattern in the residuals proves it is not the best fit.
Question

(B) The residual plot has no apparent pattern, so the exponential model was not appropriate.
(C) The residual plot displays a pattern, so the exponential model was appropriate.
(D) The residual plot displays a pattern, so the exponential model was not appropriate.
▶️ Answer/Explanation
The correct option is (A).
A residual is calculated as $\text{observed value} – \text{predicted value}$.
The provided residual plot shows points randomly scattered above and below the line $y = 0$.
There is no curved, U-shaped, or systematic pattern visible in the residuals.
A random distribution of residuals indicates that the chosen model fits the data well.
Since there is no apparent pattern, the exponential regression model is considered appropriate.
Therefore, the data confirms Mr. Passwater’s belief regarding the exponential growth.
Question

▶️ Answer/Explanation
Correct Answer: (C) $y = 4(3)^x$
An appropriate regression model is indicated by a residual plot with no clear pattern and points randomly dispersed around the horizontal axis.
The Linear Residual Plot shows a distinct U-shaped pattern, suggesting a linear model is inappropriate.
The Quadratic Residual Plot also shows a clear curved pattern, indicating the quadratic model does not fit well.
The Exponential Residual Plot shows a random distribution of points above and below the $x$-axis.
Since the exponential residual plot is the most random, an exponential model is the best fit.
Option (C) represents an exponential function, $y = 4(3)^x$, making it the appropriate choice.
Question

(B) $0.5$
(C) $1.5$
(D) $3$
▶️ Answer/Explanation
The residual is defined as the difference between the observed $y$-value and the predicted $\hat{y}$-value: $\text{Residual} = y – \hat{y}$.
Locate data point $P$ on the graph at the $x$-coordinate of $3$.
The actual $y$-value for point $P$ is $1.5$.
The predicted value $\hat{y}$ on the regression line at $x = 3$ is $2$.
Calculate the residual: $1.5 – 2 = -0.5$.
Therefore, the best estimate of the residual is $-0.5$.
The correct option is (A).
Question
(B) The residual of point $P$ is a negative value because the model produces an underestimate at point $P$.
(C) The residual of point $P$ is a positive value because the model produces an overestimate at point $P$.
(D) The residual of point $P$ is a positive value because the model produces an underestimate at point $P$.
▶️ Answer/Explanation
The correct option is (A).
Calculate the predicted value: $S(-1) = 3(2)^{-1} = 3(0.5) = 1.5$.
The actual $y$-coordinate of point $P$ is $1$.
The residual is calculated as $\text{Actual} – \text{Predicted} = 1 – 1.5 = -0.5$.
Since the residual is negative, the predicted value is greater than the actual value.
Therefore, the model produces an overestimate at point $P$.
Question

▶️ Answer/Explanation
Point \(P\) is above the regression line, meaning it has a positive residual.
Point \(Q\) is below the regression line, meaning it has a negative residual.
Since one is positive and one is negative, the residuals have opposite signs.
The vertical distance from \(Q\) to the line is visually larger than the distance from \(P\) to the line.
The absolute value of a residual represents the magnitude of error for that point.
Therefore, there is a greater error in the model for point \(Q\) than for point \(P\).
This matches statement (D).
Question

▶️ Answer/Explanation
The differences between consecutive \(P(t)\) values (\(30-20=10\), \(45-30=15\)) are not constant, so the model is not linear (eliminates A and B).
Calculate the ratio of consecutive terms: \(\frac{30}{20} = 1.5\) and \(\frac{45}{30} = 1.5\).
Since the ratio is constant at \(1.5\) or \(\frac{3}{2}\), the data represents an exponential growth model.
An exponential function has the form \(y = a(b)^t\), where \(a\) is the initial value and \(b\) is the growth factor.
From the table, at \(t=0\), the value is \(20\), so the initial value \(a = 20\).
The growth factor \(b\) is the constant ratio \(\frac{3}{2}\).
Therefore, the function is \(y = 20 \left(\frac{3}{2}\right)^t\), which corresponds to option (D).
Question


(B) A linear model is more appropriate for these data, and Residual Plot 2 corresponds to the linear regression.
(C) An exponential model is more appropriate for these data, and Residual Plot 1 corresponds to the exponential regression.
(D) An exponential model is more appropriate for these data, and Residual Plot 2 corresponds to the exponential regression.
▶️ Answer/Explanation
The correct answer is (D).
Analysis of the $y$-values shows a constant ratio: $\frac{9/2}{3} = \frac{27/4}{9/2} = \frac{81/8}{27/4} = 1.5$.
A constant ratio indicates that the data is perfectly exponential.
Residual Plot 2 shows all residuals are exactly $0$, meaning the model fits the data perfectly.
Therefore, the exponential model is the most appropriate for this data set.
Residual Plot 2 corresponds to this perfect exponential fit.
Residual Plot 1 shows a pattern, which usually indicates an inappropriate model (likely the linear one).
Question (Calc allowed)
▶️ Answer/Explanation
Set up the equation where the logarithmic model exceeds the linear model by $0.1$: $k(t) = m(t) + 0.1$.
Substitute the given functions: $14 – 2.885 \ln t = (-t + 14) + 0.1$.
Simplify the equation to: $-2.885 \ln t = -t + 0.1$.
Rearrange to form the function: $f(t) = t – 2.885 \ln t – 0.1 = 0$.
Use a graphing calculator to find the intersection of $y = 14 – 2.885 \ln t$ and $y = -t + 14.1$.
The first intersection point for $t \geq 2$ occurs at $t \approx 2.289$.
Thus, the correct option is (D).
Question

(B) $f$ is best modeled by an exponential function, because the output values change proportionately as input values increase in equal-length intervals.
(C) $f$ is best modeled by a logarithmic function, because the input values change proportionately as output values increase in equal-length intervals.
(D) $f$ is best modeled by a logarithmic function, because the output values change proportionately as input values increase in equal-length intervals.
▶️ Answer/Explanation
The correct option is (C).
As the output values $f(x)$ increase by a constant addition of $2$ ($2, 4, 6, 8, 10$),
the corresponding input values $x$ change by a constant factor of $1/2$ ($80, 40, 20, 10, 5$).
This relationship defines a logarithmic function, where inputs change geometrically while outputs change arithmetically.
In an exponential function, the roles are reversed: inputs change arithmetically and outputs change geometrically.
Therefore, $f$ is logarithmic because input values change proportionately as output values increase in equal-length intervals.
The specific model for this data is $f(x) = \log_{1/\sqrt{2}}(x/80) + 2$.
Question
(B) $0.172$
(C) $0.540$
(D) $1.002$
▶️ Answer/Explanation
Find $L(x)$: Slope $m = \frac{6-2}{1-0} = 4$, so $L(x) = 4x + 2$.
Find $E(x)$: Form $y = ab^x$. At $x=0$, $a=2$; at $x=1$, $2b=6 \implies b=3$. So $E(x) = 2(3^x)$.
Define $f(x) = 4x + 2 – 2(3^x)$.
To find the maximum, set $f'(x) = 4 – 2(3^x)\ln(3) = 0$.
Solve for $x$: $3^x = \frac{2}{\ln(3)} \implies x = \frac{\ln(2/\ln(3))}{\ln(3)} \approx 0.544$.
Calculate $f(0.544) = 4(0.544) + 2 – 2(3^{0.544}) \approx 4.176 – 4.004 = 0.172$.
The correct option is (B).
Question

▶️ Answer/Explanation
The correct option is (D).
The residual plot clearly shows a distinct $U$-shaped curve rather than a random scatter.
A visible pattern in a residual plot indicates that the chosen model (exponential) does not capture the underlying trend.
In statistics, a model is considered “appropriate” only if its residuals are randomly distributed around the horizontal axis.
Since a clear non-linear pattern exists, the exponential regression is an inappropriate fit for this specific data set.
Therefore, the presence of a pattern confirms the model’s inadequacy.


