AP Statistics 1.5 Representing a Quantitative Variable with Graphs MCQs - Exam Style Questions
Question


▶️ Answer/Explanation
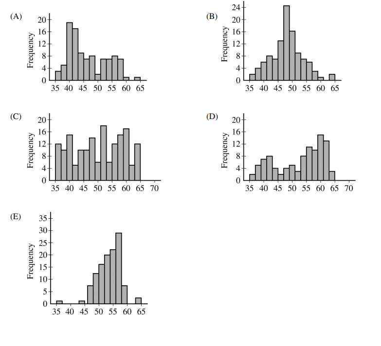
1. Read Key Features from the Boxplot:
– Range: The data spans from approximately \(35\) to \(65\).
– Median: The median is at \(56\).
– Shape: The median is shifted to the right side of the box, and the left whisker is longer than the right whisker. This indicates the distribution is **skewed to the left**.
2. Analyze the Histograms:
– (A) is roughly symmetric.
– (B) is skewed to the right.
– (C) is skewed to the right.
– (E) is roughly symmetric and bimodal.
– (D) clearly shows a cluster of data on the right with a tail extending to the left. This is the only histogram that matches the left-skewed shape of the boxplot.
✅ Answer: (D)
Question
(B) The distribution of guesses for male students is skewed to the right, and the distribution of guesses for female students is skewed to the left.
(C) The distributions of guesses for male and female students are both skewed to the right.
(D) The distributions of guesses for male and female students are both skewed to the left.
(E) The distributions of guesses for male and female students are both symmetric.
▶️ Answer/Explanation
1. Analyze the Shape of the Male Distribution:
For the male students (left side), most of the data is concentrated at the higher stems (from \(10\) to \(14\)). The “tail” of the distribution, where the data is less frequent, extends downwards to the lower values. This indicates the distribution is **skewed to the left**.
2. Analyze the Shape of the Female Distribution:
For the female students (right side), the data is also concentrated at the higher stems (from \(10\) to \(12\)). The tail extends downwards to the lower values (stems \(6, 7, 8, 9\)). This distribution is also **skewed to the left**.
Both distributions are skewed to the left.
✅ Answer: (D)
