AP Statistics 2.9 Analyzing Departures from Linearity- MCQs - Exam Style Questions
Question

(B) The slope of the least squares regression line is unchanged and the correlation coefficient decreases.
(C) The slope of the least squares regression line increases and the correlation coefficient increases.
(D) The slope of the least squares regression line increases and the correlation coefficient decreases.
(E) The slope of the least squares regression line decreases and the correlation coefficient increases.
▶️ Answer/Explanation
1. Analyze Point A:
Point A is an influential point. It has a high x-value (height) but a y-value (arm span) that is much lower than the general positive trend of the other points.
2. Effect on Slope:
Because point A is far to the right and below the main pattern, it acts as a lever, pulling the regression line down on the right side. Removing this point would cause the right end of the line to “spring up,” resulting in an **increase** in the slope.
3. Effect on Correlation:
Point A does not follow the linear pattern of the other points; it weakens the association. Removing this outlier will make the remaining points appear more tightly clustered along a line, thus **increasing** the correlation coefficient (making it stronger and more positive).
✅ Answer: (C)
Question

▶️ Answer/Explanation
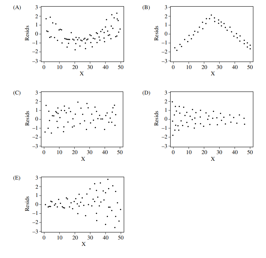
1. Understand the conditions for a good residual plot:
For a linear model to be appropriate, the residual plot should show no obvious patterns. It should have a random scatter of points above and below the horizontal line at \(0\), and the vertical spread of the points should be roughly the same across all x-values (constant variance or homoscedasticity).
2. Analyze the given plots:
– Plot (A) and Plot (B) show clear curved patterns (U-shape and inverted U-shape). This indicates that a linear model is not appropriate.
– Plot (D) shows that the variability of the residuals increases as the value of X increases (heteroscedasticity or a fanning effect). This violates the assumption of constant variance.
– Plot (E) shows a systematic pattern, suggesting the data may not be independent (e.g., time-series data).
– Plot (C) is the only plot that shows a random, formless scatter of points centered around \(0\) with roughly constant variance. This is the ideal appearance for a residual plot, indicating that the linear model is appropriate.
✅ Answer: (C)
