AP Statistics 5.7 Sampling Distributions for Sample Means - MCQs - Exam Style Questions
Question


▶️ Answer/Explanation
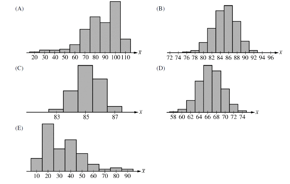
For \(n=40\), the sampling distribution of \(\overline{X}\) is approximately normal by the Central Limit Theorem (sample is sufficiently large).
Mean: \(\mu_{\overline{X}}=\mu=85\).
Standard deviation (standard error): \(\sigma_{\overline{X}}=\dfrac{\sigma}{\sqrt{n}}=\dfrac{18}{\sqrt{40}}\approx 2.85\).
Therefore the correct graph should be approximately normal, centered at \(85\), with spread about \(2.85\).
Among the choices, graph **B** is roughly normal, centered near \(85\), and has an appropriate spread (ticks around \(72\)–\(96\), consistent with a few standard errors).
✅ Answer: (B)
Question
(B) Approximately normal with mean \(11.4\) minutes and standard deviation \(\dfrac{2.6}{\sqrt{84}}\) minute
(C) Approximately normal with mean \(12.0\) minutes and standard deviation \(2.6\) minutes
(D) Binomial with mean \(84(0.41)\) minutes and standard deviation \(\sqrt{84(0.41)(0.59)}\) minutes
(E) Binomial with mean \(84(0.5)\) minutes and standard deviation \(\sqrt{84(0.5)(0.5)}\) minutes
▶️ Answer/Explanation
For sample means with independent observations and sufficiently large \(n\) (\(n=84\)), the sampling distribution of \(\bar{X}\) is approximately normal.
Mean: \(\mu_{\bar{X}}=\mu=11.4\) minutes.
Standard deviation (standard error): \(\sigma_{\bar{X}}=\dfrac{\sigma}{\sqrt{n}}=\dfrac{2.6}{\sqrt{84}}\) minute.
Therefore the correct description is approximately normal with mean \(11.4\) and standard deviation \(\dfrac{2.6}{\sqrt{84}}\).
✅ Answer: (B)
