Question 1
(a)(i) – Gravitational Force 2.6
(a)(ii) – Conservation of Energy 3.4
(b) – Conservation of Energy 3.4
(c) – Potential Energy 3.3

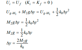
1. Two blocks are connected by a string that passes over a pulley, as shown above. Block 1 is on a horizontal surface and is attached to a spring that is at its unstretched length. Frictional forces are negligible in the pulley’s axle and between the block and the surface. Block 2 is released from rest and moves downward before momentarily coming to rest.
\(k_{o}\) is the spring constant of the spring.
\(m_{1}\) is the mass of block 1.
\(m_{2}\) is the mass of block 2.
Δy is the distance block 2 moves before momentarily coming to rest.
(a)
i. Block 2 starts from rest and speeds up, then it slows down and momentarily comes to rest at a position below its initial position. In terms of only the forces directly exerted on block 2, explain why block 2 initially speeds up and explain why it slows down to a momentary stop.
ii. Derive an expression for the istance Δy that block 2 travels before momentarily coming to rest. Express your answer in terms of \((k_{o}\),\( m_{1}\),\( m_{2}\), and physical constants, as appropriate.
(b) Indicate whether the total mechanical energy of the blocks-spring-Earth system changes as block 2 moves downward.
___ Changes ___ Does not change
Briefly explain your reasoning.
Consider the system that includes the spring, Earth, both blocks, and the string, but not the surface. Let the initial state be when the blocks are at rest just before they start moving, and let the final state be when the blocks first come momentarily to rest. Diagram A at left below is a bar chart that represents the energies in the scenario where there is negligible friction between block 1 and the surface. The shaded-in bars in the energy bar charts represent the potential energy of the spring and the gravitational potential energy of the blocks-Earth system, \( U_{s}\) and \( U_{g}\) , respectively, in the initial and final states. Positive energy values are above the zero-point line (“0”) and negative energy values are below the zero-point line.

(c) Complete diagram B (at right above) for the scenario in which friction is nonnegligible. The energies for the initial state are already provided. Shade in the energies in the final state using the same scale as in diagram A.
• Shaded regions should start at the solid line representing the zero-point line.
• Represent any energy that is equal to zero with a distinct line on the zero-point line.
▶️Answer/Explanation
1 (a) Example Response
(i)The direction of the acceleration and the direction of the net force are the same. The block speeds up when the gravitational force is greater than the tension and then slows down because the tension becomes larger than the gravitational force.
(ii)Example Response

(b) Example Responses
There are no external forces on the system and no energy is dissipated by friction, so the total mechanical energy stays the same.
(c) Example Response
Question 2
(a) – Forces and Free-Body Diagrams 2.2
(b) (i) – Scalars and Vectors in One Dimension 1.1
(b) (ii) – Gravitational Force 2.6
(c) – Gravitational Force 2.6
(d) (i) – Gravitational Force 2.6
(d) (ii) – Gravitational Force 2.6

Two identical moons, Moon A and Moon B, orbit a planet. The mass \( m_{o}\) of each moon is significant, but less than the mass \( m_{p}\) of the planet. At some point in their orbits, the planet and the two moons are aligned as shown in the figure.
(a) The following dots represent the two moons when they are at the locations shown in the previous figure. On each dot, draw and label the forces (not components) exerted on Moon A and on Moon B. Each force must be represented by a distinct arrow starting on, and pointing away from, the appropriate dot.

(b) Consider the net gravitational force exerted on each moon due to the planet and the other moon.
i. Justify why the magnitude of the net force exerted on Moon A could be larger than the magnitude of the net force exerted on Moon B.
ii. Justify why the magnitude of the net force exerted on Moon B could be larger than the magnitude of the net force exerted on Moon A.
(c) Derive expressions for both of the following quantities. Express your answers in terms of \( m_{o}\) , \( m_{p}\) , \( R_{A}\), \( R_{B}\) , and physical constants, as appropriate.
• The net force \( F_{A}\) exerted on Moon A
• The net force \( F_{B}\) exerted on Moon B
(d)
i. Could the expressions in part (c) support your reasoning in part (b)(i) ?
___ Yes ___ No
Explain your reasoning.
ii. Could the expressions in part (c) support your reasoning in part (b)(ii) ?
___ Yes ___ No
Explain your reasoning.
▶️Answer/Explanation
2(a) Example Response

2(b) Example Responses
(i) The force vectors on Moon A point in the same direction and therefore add, while the force vectors on Moon B point in opposite directions and will subtract.
(ii) The gravitational force is greater for objects that are closer together, and Moon B is closer to the planet than Moon A, so the gravitational force from the planet is greater for Moon B than for Moon A.
2(c) Example Response
2(d)(i) Example Response
Yes. For the net force on Moon A, both force terms have the same sign, so they add, while for the net force on Moon B, the two terms have opposite signs, so they have a canceling effect.
2(d)(ii) Example Response
The gravitational force has an inverse relationship with distance. If Moon A is very far away, \(\Sigma F_{A}\) from part (c) will be small. If Moon B is close to the planet while Moon A is far away, the force toward the planet would be big while the force toward the moon would be small such that \(\Sigma F_{B}\) could be larger than \(\Sigma F_{A}\) .
Question 3
(a) -Translational Kinetic Energy 3.1
(b) – Translational Kinetic Energy 3.1
(c) – Rotational Kinetic Energy 6.1
(d) (i) – Rotational Kinetic Energy 6.1
(d) (ii) – Rotational Kinetic Energy 6.1

A wheel is mounted on a horizontal axle. A light string is attached to the wheel’s rim and wrapped around it several times, and a small block is attached to the free end of the string, as shown in the figure. When the block is released from rest and begins to fall, the wheel begins to rotate with negligible friction. Two students are discussing how different forms of energy change as the block falls. One student says that the
kinetic energy of the block increases as it falls. The second student says that this is because gravitational potential energy is converted to kinetic energy. The students decide to test whether the decrease in gravitational potential energy is equal to the increase in the block’s kinetic energy from when the block starts moving to immediately before it reaches the floor.
(a) Design an experimental procedure that the students could use to compare the increase in the block’s translational kinetic energy with the decrease in the gravitational potential energy of the block-Earth system as
the block falls. In the table, list the quantities that would be measured in your experiment. Define a symbol to represent each quantity and list the equipment that would be used to measure each quantity. You do not need to fill in every row. If you need additional rows, you may add them to the space just below the table. In the space to the right of the table, describe the overall procedure. Provide enough detail so that another student could replicate the experiment, including any steps necessary to reduce experimental uncertainty. As needed, use the symbols defined in the table. If needed, you may include a simple diagram of the setup with your procedure.

(b) Explain how the students could determine the kinetic energy of the block immediately before it reaches the floor using the quantities you indicated in the table in part (a).

(c) The graph above represents both the change in the gravitational potential energy of the block-wheel-Earth system and the translational kinetic energy gained by the block as functions of the block’s falling distance d.
On the graph, draw a line or curve to represent the rotational kinetic energy of the wheel as a function of the block’s falling distance d.
(d) The students also measure the angular velocity w of the wheel as the block falls and determine the rotational kinetic energy \(K_{R}\) of the wheel. The students then make a graph of \(K_{R}\) as a function of \(\omega ^{2}\) , as shown.

i. On the above graph, draw a straight line that best represents the data.
ii. Using the line you drew for part (d)(i), calculate an experimental value for the rotational inertia of the wheel.
▶️Answer/Explanation
(a) Example Response

1. Measure the mass of the block with the mass balance.
2. Hold the block in place with the string taut and measure the distance d with the meterstick.
3. Release the block and start the stopwatch.
4. Stop the stopwatch when the block hits the floor.
5. Record d and \(t_{B}\) .
6. Repeat steps 3-5 to get three separate trials at the same starting distance d .
7. Repeat steps 2-6 for several different starting distances d .
(b) Example Responses
You can calculate the block’s average speed by dividing \(\frac{d}{t_{2}}\). The block’s final speed \(v_{F}\) is twice the average, \(\frac{2d}{t_{2}}\). The kinetic energy K can then be calculated from \(k=\frac{1}{2}m_{B}\left ( V_{F} \right )^{2}\) .
(c) Example Response

(d)(i) Example Response

(d)(ii) Example Response

Question 4
(a) – Elastic and Inelastic Collisions 4.4
(b) – Elastic and Inelastic Collisions 4.4
A student has a piece of clay and a rubber sphere, both of the same mass. Both objects are thrown horizontally at the same speed at identical blocks that are at rest at the edge of identical tables, as shown, where friction between the blocks and the table is negligible. After the collisions, both blocks fall to the floor. In Case A, the clay sticks to Block A after the collision. In Case B, the rubber sphere bounces off of Block B after the collision.


(a) In the figure at left above, the arrow represents the momentum immediately after the collision for the clay-block system in Case A. In the figure at right above, draw an arrow starting on the dot to represent the
momentum of the sphere-block system immediately after the collision in Case B. If the momentum is zero, write “zero” next to the dot. The momentum, if it is not zero, must be represented by an arrow starting on, and
pointing away from, the dot. The length of the vector, if not zero, should reflect the magnitude of the momentum relative to Case A.
(b) After the clay and Block A collide, Block A lands a horizontal distance \(D_{A}\) from the edge of the table. Does Block B land on the floor at a horizontal distance from the edge of the table that is greater than, less than, or
equal to \(D_{A}\) ? In a clear, coherent, paragraph-length response that may also contain equations and/or drawings, explain your reasoning. Neglect any frictional effects due to the table or air resistance.
▶️Answer/Explanation
(a) Example Response

(b) Example Responses
The momentum of the clay-block and sphere-block systems before the collision is the same for both cases and because momentum does not change in the collision; it is the same after the collision also. The sphere in Case B bounces off the block, so it has less (or negative) momentum after the collision than the clay in Case A. In order for the systems in both cases to have the same momentum after the collision, Block B must have greater momentum, and therefore greater speed, than Block A. The blocks take the same amount of time to fall, so the horizontal distance traveled by Block B (launch speed x time to fall) is greater than \(d_{A}\) .
Question 5
(a) – Frequency and Period of SHM 7.2
(b) (i ) – Translational Kinetic Energy 3.1
(b) (ii) – Conservation of Energy 3.4
(c) (i) – Spring Forces 2.8
(c) (ii) – Spring Forces 2.8

A spring of unknown spring constant \(k_{o}\) is attached to a ceiling. A lightweight hanger is attached to the lower end of the spring, and a motion detector is placed on the floor facing upward directly under the hanger, as shown in the figure above. The bottom of the hanger is 1.00 m above the motion detector. A 0.50 kg object is placed on the hanger and allowed to come to rest at the equilibrium position. The spring is then stretched downward a distance \(d_{o}\) from equilibrium and released at time t = 0. The motion detector records the height of the bottom of the hanger as a function of time. The output from the motion detector is shown in the graph on the following page.

(b) At time 0.75 s, the object-spring-Earth system has a total kinetic energy \(k_{o}\) and a total potential energy \(U_{o}\) . At 1.13 s, the object-spring-Earth system again has a total kinetic energy \(k_{o}\) and a total potential energy \(U_{o}\).
i. Explain how a feature of the graph indicates that the total kinetic energy of the system is the same at these two times.
ii. Briefly explain why the total potential energy of the system is the same at these two times.
(c) The experiment is repeated with a spring of spring constant 4\(k_{o}\) and that has the same length as the original spring. The 0.50 kg object is hung from the new spring and allowed to come to rest at a new equilibrium position.
i. Determine the new equilibrium position above the motion detector.
ii. The object is again pulled down the same distance \(k_{o}\) from the equilibrium position and released. On the following graph, draw a curve representing the motion of the object after it is released. Label the vertical axis with an appropriate numerical scale. A grid for scratch (practice) work is also provided.

The following graph is provided for scratch work only and will not be graded.

▶️Answer/Explanation
(a) Example Response

Alternate Example Response

(b)(i) Example Responses
The magnitude of the slope of the graph is the same at both times, this means the speed and, therefore, the kinetic energy is the same at both times.
OR
The object is the same distance from equilibrium at both times, so the kinetic energy must be the same
(b)(ii) Example Response
The total energy of the system is constant, so if K is the same at both times, U must be also.
OR
The total energy of the system is constant, and equal energy is transferred from gravitational potential to spring potential.
(c)(i) Example Response
For writing 90 cm or 0.90 m
(c)(ii) Example Response

