How does a system gain potential energy?
Potential energy is stored energy an object has due to its position. In general, the potential energy a system has is equal to the net amount of work required to put into that position.
Gravitational Potential Energy
▪ Gravitational potential energy: 𝑈𝑔 = 𝑚𝑔∆𝑦
▪ Suppose an object is dropped from a height of y2 to y1:
𝑊𝐺𝑅𝐴𝑉𝐼𝑇𝑌 = 𝐹𝑔𝑟𝑎𝑣𝑖𝑡𝑦 ∗ 𝑑
→ 𝑊𝐺𝑅𝐴𝑉𝐼𝑇𝑌 = 𝑚𝑔(𝑦2 − 𝑦1)

The object had 𝑚𝑔∆𝑦 of potential energy before falling. While it was falling, gravity does 𝑚𝑔∆𝑦 of work on the object. Energy is the ability to work, and potential energy is the ability to due work based on an object’s position.
*When an object moves downward, the change in potential energy is negative and gravity does positive work.
When an object moves upward, gravity does negative work.
▪ Suppose and object is moved upwards by an external force and gains potential energy:

𝑊𝑒𝑥𝑡𝑒𝑟𝑛𝑎𝑙=work done by forces other than gravity
𝑊𝑇𝑂𝑇𝐴𝐿 = 𝑊𝐺𝑅𝐴𝑉𝐼𝑇𝑌 + 𝑊𝑂𝑇𝐻𝐸𝑅
*𝑊𝑇𝑂𝑇𝐴𝐿 = ∆𝐾 and 𝑊𝐺𝑅𝐴𝑉𝐼𝑇𝑌=−∆𝑈, so:
∆𝐾=−∆𝑈 + 𝑊𝑂𝑇𝐻𝐸𝑅
𝑊𝑂𝑇𝐻𝐸𝑅 = ∆𝐾+∆𝑈
▪ If the only force acting on an object is gravity, then 𝑊𝐸𝑋𝑇𝐸𝑅𝑁𝐴𝐿 = 0
𝑊𝑂𝑇𝐻𝐸𝑅 = 0 = ∆𝐾+∆𝑈
→ 0 = (𝐾2 − 𝐾1) + (𝑈2 − 𝑈1)
→ 𝐾1 + 𝑈1 = 𝐾2 + 𝑈2
*If only conservative forces act (such as gravity) total mechanical energy is conserved.
Example A: D A student is asked to move a box from ground level to the top of a loading dock platform, as shown in the figures above. In Figure 1, the student pushes the box up an incline with negligible friction. In Figure 2, the student lifts the box straight up from ground level to the loading dock platform. In which case does the student do more work on the box, and why?

Answer/Explanation
Ans: 
Since friction is negligible, the only force to overcome is gravity. Since gravity is a conservative, work is path–independent.
Elastic Potential Energy
▪ Work done by spring on mass m: 𝑾 = ∫ 𝑭 𝒅𝒙
*For an ideal spring, \(W = \int (kx)dx=\frac{1}{2}kx^{2}\)
- When x increases, the work done by the elastic force is negative (opposes the motion) and U increases.
- When x decreases, the elastic force does positive work.
*Elastic potential energy works much the same as gravitational force.
Example B: A spring hangs vertically from a ceiling as shown on the right. A mass is then hung from the spring and is lowered gently a distance L before
coming to rest.

a) Derive an expression for the spring constant.
Answer/Explanation
Ans: \(kL=mg\Rightarrow k = \frac{mg}{L}\)
For this question, there the initial height is taken as zero height, so 0 energy is converted to positive elastic potential energy and negative gravitational potential energy (potential energy can be negative).
b) How far would the mass fall if dropped from rest at x = 0?
Answer/Explanation
Ans: \(v_{i}+k_{i}=v_{f}+k_{f}\)
\(mg(O)+\frac{1}{2}k(O)^{2}=mg-x+\frac{1}{2}kx^{2}\)
\(\Rightarrow O=mgx+\frac{1}{2}\left ( \frac{mg}{L} \right )x^{2}\)
\(\Rightarrow 1=\frac{1}{2L}x \Rightarrow x = 2L\)
Potential Energy and Conservative Forces
Gravity: 𝑈𝑔 is equal to the amount of net work required to give an object the potential energy. 𝑈𝑔=𝑊𝑐
Springs: 𝑈𝑠 due to a compressed or stretched spring is equal to the work required to stretch or compress the spring. 𝑈𝑠=𝑊𝑐
In general: For outside forces don’t do work: \(W=\int Fdx\rightarrow F(x)=-\frac{du}{dx}\)
Graphs of Potential Energy
▪ \(F = -\frac{dU}{dx},\) so the force at any instant is the negative of the slope of the potential energy vs. time graph.
This is only valid if outside forces do not do work.
▪ Total mechanical energy is represented by a horizontal line (again, assuming no outside force is doing work). The kinetic energy and potential energy add to the total mechanical energy.
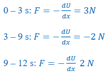
Example C: Given the graph below that shows potential energy and total energy, sketch a graph of force vs. time.

Answer/Explanation
Ans: There are 3 distinct segments of the U(t) graph. The force is constant for each of these since the U(t) segments are linear.

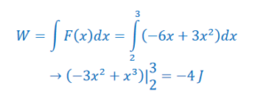
Example D: A single conservative force acts on a particle. The force varies according to 𝐹⃗ = (−6𝑥 + 3𝑥2). Calculate the change in potential and kinetic energies of the system as the particle moves from 2 m to 3 m.
Answer/Explanation
Ans: 
By the work energy theorem, ∆𝐾 = 𝑊 = −4 𝐽. Since the force is conservative, total energy has to be conserved, so ∆𝐾 + ∆𝑈 = 0 so for this situation ∆𝑈 = +4 𝐽.
