What makes a collision inelastic?
Objective: Apply conservation of momentum in inelastic collisions.
▪ Inelastic Collision – In an elastic collision, kinetic energy is lost. In such cases, conservation of energy cannot be applied. However, in any collision between objects that constitute a system, momentum will be conserved if there are no outside forces on a system.
In a collision, there are internal forces between the forces acting on each other. These internal forces cannot change the momentum of a system, though internal forces can change the energy of a system.
*total energy is always conserved (though much of the energy is not useful as it goes to disorganized forms such as heat)
▪ The total kinetic energy in an inelastic collision is always less than before the collision.
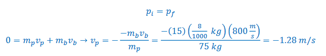
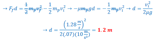
Example A: Recoil – Vladimir Putin, who has a mass of 75 kg, stands on ice and shoots a machine gun that fires 15 shots. Each bullet leaves with a speed of 800 m/s. The mass of each bullet is 8 g. How far does Putin recoil if the coefficient of friction on the ice is 0.07?
Answer/Explanation
Ans: There is no free–body diagram for collisions, but drawing a before and after can be useful is setting up the problem and determine the signs of each velocity vector.

Part 1: Apply conservation of momentum to find Putin’s speed after firing:

Part 2: Apply the work–energy theorem to find the distance Putin travels while friction slows him down.
𝑊𝑓 = ∆𝐾

▪ In a perfectly inelastic collision, the objects stick together and move as one mass:

In the general, in a perfectly inelastic collision, the final velocity of the combined masses is the sum of the initial momenta over the sum of the masses.
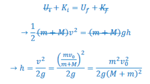
Example B: The Ballistic Pendulum – A bullet of mass m is fired with a speed of v0 into a block on pendulum of mass M. Find the height the pendulum reaches above its starting position.

Answer/Explanation
Ans: Part 1: Conservation of Momentum – The bullet will collide with the block and become embedded in it. The momentum of the bullet is conserved in the block/bullet system after colliding.

Part 2: The bullet/block system will be moving with a certain kinetic energy. This kinetic energy will be converted into gravitational potential energy. At max height, all the kinetic energy will have been converted.

▪ In a 2D collision, momentum is conserved in both the x and y directions separately.
𝒑𝒙 𝒊𝒏𝒊𝒕𝒊𝒂𝒍 = 𝒑𝒙 𝒇𝒊𝒏𝒂𝒍
𝒑𝒚 𝒊𝒏𝒊𝒕𝒊𝒂𝒍 = 𝒑𝒚 𝒇𝒊𝒏𝒂𝒍
Example C: A 2–D Collision – A 1000 kg car moving north at 20.0 m/s collides with 2000 kg car moving east at 5.0 m/s. The two cars stick together. In what direction and with what speed do they move after the collision?

Answer/Explanation
Ans: x- direction
\(M_{A}V_{A}=(M_{A}+M_{B})V_{x}\) \(v=\sqrt{{v_{x}}^{2}+{v_{y}}^{2}}=\sqrt{(3.3 m/s)^{2}+(6.7 m/s^{2})}\)
\(V_{x}=\frac{(2000kg)(5 m/s)}{1000 kg + 2000 kg}=3.3 m/s\) v = 7.5 m/s
y- direction
\(M_{B}V_{B}=(M_{A}+M_{B})V_{y}\) \(\theta =tan^{-1}\left ( \frac{v_{y}}{v_{x}} \right )\)
\(V_{y}=\frac{(1000kg)(20 m/s)}{1000 kg + 2000 kg}=6.7 m/s\) \(\theta =tan^{-1}\left ( \frac{6.7 m/s}{3.3 m/s} \right )=63^{0}northeast\)
Example D: Exploding Projectile A cannonball explodes into two pieces at a height of h = 100 m when it has a horizontal velocity of 24 m/s. The masses of the pieces are 2 kg and 3 kg. The 3 kg piece falls vertically to the ground 4 s after the explosion. What horizontal distance does the other piece travel after the collision?

Answer/Explanation
Ans: Originally, the system has no y–component of momentum so the piece of mass m2 must have an upwards momentum to cancel out the downward momentum of m1. Since m1 has no horizontal momentum, the horizontal momentum of m1 must be the same as the original cannonball.
Part 1: Use conservation of momentum in both the x and y directions to find the horizontal and vertical velocity components of the 2 kg fragment after the collision.
x- direction
(5 kg) (24 m/s) = (2 kg) vx
vx = +60 m/s
y– direction
O = m3v3y + m2v2y
O=(3 kg) (-5 m/s) + (2 kg) v2y
vy = +7.5 m/s
Find using
Kinematics:
a = -10 m/s2
t = 4s
Δy = -100 m
vi = ?
\(\Delta y=v_{i}t+\frac{1}{2}at^{2}\)
\(-100=v_{i}(4)+\frac{1}{2}(-10)(4)\)
vi = -5 m/s
Part 2: Use projectile motion kinematics to find how far the 2 kg fragment travels horizontally.

Find t in air using y-dir:
vi = 7.5 m/s -100 = 7.5 t – 5t2
a = -10 m/s2 t = -3.7, 5.2
Δy = -100
t = ?
Find Δx : Δx = vxt = (60 m/s) (5.2 s) = 312 m
What makes a collision inelastic?
Objective: Apply conservation of energy and momentum in elastic collisions.
▪ Elastic Collision – Collision in which kinetic energy and momentum are conserved.
▪ For a collision between two objects A and B, the following relationships can be applied:
The relative speed between the objects is equal but opposite to the relative speed after the collision. In other words, the speed of approach = speed of separation
𝒗𝑨 − 𝒗𝑩 = 𝒗′B − 𝒗′A

Proof: Using both conservation of momentum and conservation of energy:
Conservation of momentum: 𝑚𝐴𝑣𝐴𝑖 + 𝑚𝐵𝑣𝐵𝑖 = 𝑚𝐴𝑣𝐴𝑓 + 𝑚𝐵𝑣𝐵𝑓
→ 𝑚𝐴(𝑣𝐴𝑖 − 𝑣𝐴𝑓) = 𝑚𝐵(𝑣𝐵𝑓 − 𝑣𝐵𝑖)
Conservation of energy: \(\frac{1}{2}m_{A}v_{Ai}^{2}+\frac{1}{2}m_{B}v_{Bi}^{2}=\frac{1}{2}m_{A}v_{Af}^{2}+\frac{1}{2}m_{B}v_{Bf}^{2}\)

Example A: 1D Elastic Collision – A bumper car of mass m1 = 1000 kg moving at v1=12 m/s collides with a bumper car of mass m2 = 500 kg that driving directly towards it at v2=4 m/s. The collision of the cars is elastic.
What is the velocity of each car after the collision?
Answer/Explanation
Ans: *the initial velocity of the larger cart is defined as positive. Since the other cart is moving towards it, it has an opposite velocity.


Conservation of energy: *rather than use conservation of kinetic energy, it’s far more pleasant to use the relative velocity relationship: 𝑣1 − 𝑣2 = 𝑣’2 − 𝑣’1

To solve for the velocities after the collisions, the system of equations needs to be solved:

Solve using your favorite solver: 𝒗′1 = 𝟏. 𝟑𝟑 𝒎/𝒔 𝒗’𝟐 = 𝟏𝟕. 𝟑𝟑 𝒎/𝒔
Example B: 2D Elastic Collision – A billiard ball travels at 15 m/s collides perfectly elastically with an identical billiard ball that is stationary. The stationary ball moves off on a path that makes an angle of 60o with the moving ball’s original velocity. Find the speed of each billiard ball after the collision.

Answer/Explanation
Ans: The balls have identical mass.
Conservation of energy: \(\frac{1}{2}mv_{A}^{2}=\frac{1}{2}mv_{A}^{‘2}+\frac{1}{2}mv_{B}^{‘2}\)
\(\rightarrow v_{A}^{2}=v_{A}^{‘2}+v_{B}^{‘2}\)
Therefore, the final velocity vectors are mutually perpendicular and form the legs of a right triangle with the original velocity vector acting as the hypotenuse as shown:

This is a special case of an elastic collision and is only applicable if:
–two identical objects collide and
–one object is initially at rest.
For the problem posed, the 8 ball moves off at 60o above the horizontal, so the cue ball moves 30o below the horizontal so the two final velocity vectors are perpendicular. To find each velocity:
𝑣𝑐𝑢𝑒 = 15 cos 30° = 13 𝑚/𝑠
𝑣8 = 15 cos 60° = 7.5 𝑚/𝑠
