What is Newton’s 2nd Law for Rotation?
Physics 1 Review
▪ In linear motion, force causes a change in velocity (acceleration). In rotation, both force and the distance of the force from the axis of rotation cause a change in angular velocity.
▪ Torque is the tendency of a force to cause rotation of the body on which it acts.
▪ Torque depends on both force and the distance of the force’s application to the axis of rotation. It is easier to rotate an object about an axis when the force is applied further from the axis.
Calculate torque.
▪ Torque is computed relative to the axis of rotation:
𝝉 = 𝑭𝒓
r: moment arm (perpendicular distance between F and axis of rotation)
*By the right–hand rule convention for torque, counter–clockwise torque about a pivot is defined as positive.
Units of Torque: Nm

▪ When force acts along the line that contains the axis of rotation: The force does not cause rotation and the torque is zero. 
▪ When the force acts at an angle with the axis of rotation, only the component of the force perpendicular to the axis of rotation causes a torque

Example A: The body shown is pivoted at O, and two forces act on it as shown. Find the net torque on the body about the pivot O.

Answer/Explanation
Ans: The torque from F1 is counter–clockwise about 0, making this torque positive. The torque from F2 is clockwise (negative).
𝝉 = 𝑭𝟏𝒓𝟏 𝐬𝐢𝐧 𝜽𝟏 − 𝑭𝟐𝒓𝟐 𝐬𝐢𝐧 𝜽𝟐
Apply Newton’s 2nd Law for Rotation.
Newton’s 2nd Law for Rotation – Angular acceleration is directly proportional to applied torque and inversely proportional to moment of inertia:
∑ 𝝉 = 𝑰𝜶
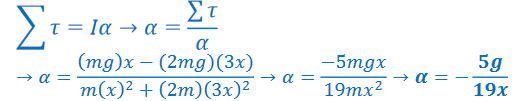
Example B: The system below is released from rest. Find the initial angular acceleration.

Answer/Explanation
Ans: By the right–hand rule convention for torque, counter–clockwise torque about a pivot (due to the smaller mass in this case) is defined as positive.
To find the moment of inertia, both masses are treated as point masses, with 𝐼 = 𝑚𝑟2 for both. The total moment of inertia is the sum of the two.

The negative acceleration indicates that the acceleration is clockwise.
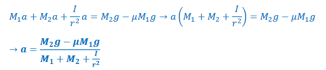
Example C: The pulley in the diagram on the right has a moment of inertia 𝐼 and radius 𝑟. The coefficient of sliding friction between M1 and the surface is 𝜇. Assume M2 is sufficient so that the system moves down. What is the downward acceleration of M2?

Answer/Explanation
Ans: The moment of inertia of pulley will resist the motion of the system. In addition to causing the system to move slower than if the pulley had no moment of inertia, this will also make the tension in the two sections of the rope to be different, so T1 and T2 are defined:

Like a frictionless pulley, free–body diagrams will be drawn for the blocks and F=ma in the direction of motion will be used. In addition, a “free–body diagram” of the pulley will be drawn and 𝜏 = 𝐼𝛼 in the direction of rotation will also be used.
Block M1 – The direction of motion (+direction) is to the right:
𝑀1𝑎 = 𝑇1 − 𝐹𝑓
→ 𝑀1𝑎 = 𝑇1 − 𝜇𝑀1𝑔

Block M2 – The direction of motion (+) is down:
𝑀2𝑎 = 𝑀2𝑔 − 𝑇2

Pulley – The direction of motion is clockwise. It is more appropriate to use the direction of motion as positive rather than right–hand rule convention when a system is in motion.
∑ 𝜏 = 𝐼𝛼
→ 𝑇2𝑟 − 𝑇1𝑟 = 𝐼𝛼

Since the other equations use linear acceleration, the angular acceleration will be converted using 𝑎 = 𝑟𝛼:
\(\rightarrow T_{2}r-T_{1}r=I\frac{a}{r}\)
To add the equations more easily (so tensions cancel), the equation is divided by r:
\(\rightarrow T_{2}-T_{1}=I\frac{a}{r^{2}}\)
The three equations are:
𝑀1𝑎 = 𝑇1 − 𝜇𝑀1𝑔 𝑀2𝑎 = 𝑀2𝑔 − 𝑇2 \(a\frac{I}{r^{2}}=T_{2}-T_{1}\)
Adding the equations yields:

When is a rigid object in equilibrium?
Conditions for Equilibrium of a Rigid Body
Translational Equilibrium – ∑ 𝐹 = 0 Rotational Equilibrium – ∑ τ = 0
Objective:Apply static equilibrium
Example A: – Center of Gravity– A 170 cm tall person lies on a light (assume massless) board which is supported by two scales, one under the feet and one beneath the top of the head. The two scales read, respectively, 31.6 kg, and 35.1 kg. Where is the center of gravity of this person?

Answer/Explanation
Ans: *The person’s weight will act (and thus cause a torque) at their center of gravity.

∑τPIVOT = O = -F1x + F2 (1.7-x)
F1x = F2 (1.7 – x)
(35.1 kg) (10 m/s2)x = (31.6 kg) (10 m/s2) (1.7-x)
⇒ x = .81
.81 from head
Example B: A hungry bear weighing 600 N walks out on a beam in an attempt to retrieve a picnic basket hanging at the end of the beam. The beam is uniform, weighs 200 N, is 6.00 m long, and it is supported by a wire at an angle of 𝜃 =60.0°. At the very end of the beam is the picnic basket that weighs 80 N. If the maximum tension force the wire can withstand is 700 N, how far can the bear walk out on the beam before it breaks?

Answer/Explanation
Ans: *Set the sum of torques equal to zero to find the point at which there will be a net torque if the bear walks further.

As this is a statics problem, the right–hand rule convention will be used to determine the sign of torque.
∑ 𝜏𝑝𝑖𝑣𝑜𝑡 = 0 = −(200 𝑁)(3𝑚) − (600 𝑁)𝑥 − (80 𝑁)(6𝑚) + (700 sin 60°)(6𝑚)
→ 𝑥 = 4.3 𝑚 𝑓𝑟𝑜𝑚 𝑙𝑒𝑓𝑡
Example C: Strut – The system shown is in equilibrium. A concrete block of mass 225 kg hangs from the end of a uniform strut whose mass is 45.0 kg.
a) Calculate the tension in the string.
Answer/Explanation
Ans: 

b) Find the force the hinge exerts on the strut.
Answer/Explanation
Ans: 
There is an x and y component of the force of the hinge. The force of the hinge acts to cancel out the other forces.
∑ 𝐹𝑥 = 𝐻𝑥 − 𝑇 cos 30 = 0
→ 𝐻𝑥 = 5854 𝑁
∑ 𝐹𝑦 = 𝐻𝑦 − 𝑇 sin 30 − 𝑊𝑏𝑒𝑎𝑚 − 𝑊𝑏𝑙𝑜𝑐𝑘 = 0
→ 𝐻𝑦 = 6080 𝑁
The total force can be found using Pythagorean Theorem:
\(H=\sqrt{5854^{2}+6080^{2}}=8440 N\)
Example D: Ladder – A uniform ladder rests against a smooth, vertical wall. The mass of the ladder is m, and the coefficient of static friction between the ladder and the ground is 0.40.
Find the minimum angle at which the ladder does not slip.

Answer/Explanation
Ans: 
Forces on ladder
𝐹𝑁: Normal force of floor on ladder, doesn’t affect the problem as the pivot is the contact point of the ladder on the floor, and the normal force causes no torque about this point.
𝐹𝑓: Force of friction = 𝜇𝑚𝑔. Doesn’t cause a torque.
𝑚𝑔: the weight of the ladder; causes a clockwise torque.
𝐹𝑊: The normal force of the wall on the ladder; causes a counter–clockwise torque. Using ∑ 𝐹𝑥 = 0 , 𝐹𝑤 = 𝐹𝑓, so the magnitude of the wall force is 𝜇𝑚𝑔.
To prevent slipping of the ladder:

Example E: Curb – What minimum force must by applied at the top of the wheel shown to raise it over a curb of height h = 0.3 m. The radius of the wheel is R = 0.5 m and the wheel is solid and has a mass of m = 1.0 kg.

Answer/Explanation
Ans: *To simplify the next two questions, the torque will be found simply using perpendicular distance to the pivot. If only horizontal and vertical forces are used, the problem can be simplified by thinking of it as follows:
–To find the torque due to a horizontal force, multiply by the vertical distance.
–To find the torque due to a vertical force, multiply the horizontal distance.
Diagram of the forces and distances:

The pivot is the point of initial point of contact between the curb and the wheel.
F is a horizontal force and its vertical distance to the pivot is 2R–h. This is a clockwise (–) work.
mg is a vertical force and its horizontal distance to the pivot is found to be \(\sqrt{R^{2}-(R-h)^{2}}\) using geometry.
This is a counter-clockwise (+) torque.

Example F: Tipping vs. Sliding – A wooden cube is dragged across the floor by a horizontal force of magnitude 𝐹⃑ . The force acts along the middle of the top edge of the cube.

a) Find the line of action of the normal force exerted by the floor on the cube if the coefficient of sliding friction is .25.
Answer/Explanation
Ans: 
When a tipping force is applied, the normal force’s point of action will move closer and closer to the tipping point (the bottom right corner in this case).
There are 3 forces causing torque about the bottom right:
▪ F is a horizontal force a vertical distance of L away. This force causes a CW (–) torque.
▪ mg is a vertical force a horizontal distance of L/2 away. This force causes a CCW (+) torue).
▪ FN is a vertical force a horizontal distance of x away. This force causes a CW (–) torque.
▪ FF acts at the pivot, so it causes no torque.

b) For what minimum coefficient of static friction would the box tip instead of slide when 𝐹⃑ is applied?
Answer/Explanation
Ans: 
When the object starts to tip, the normal force moves all the way to the corner and acts directly up at the corner, since that is the only point of contact between the block and surface as it starts to tip, so x = 0.

