Question

Two satellites, of masses m and 3m, respectively, are in the same circular orbit about the Earth’s center, as
shown in the diagram above. The Earth has mass Me and radius Re. In this orbit, which has a radius of 2Re, the
satellites initially move with the same orbital speed vo but in opposite directions.
a. Calculate the orbital speed vo of the satellites in terms of G, Me, and Re
b. Assume that the satellites collide head-on and stick together. In terms of vo find the speed v of the combination immediately after the collision.
c. Calculate the total mechanical energy of the system immediately after the collision in terms of G, m, Me, and Re. Assume that the gravitational potential energy of an object is defined to be zero at an infinite distance from the Earth.
Answer/Explanation
Ans:

Question

A spacecraft of mass 1,000 kilograms is in an elliptical orbit about the Earth, as shown above. At point A the spacecraft is at a distance rA = 1.2 × 107 meters from the center of the Earth and its velocity, of magnitude vA = 7.1 × 103 meters per second, is perpendicular to the line connecting the center of the Earth to the spacecraft. The mass and radius of the Earth are \(M_E = 6.0 × 10^{24}\) kilograms and rE = 6.4 × 106 meters, respectively.
Determine each of the following for the spacecraft when it is at point A .
a. The total mechanical energy of the spacecraft, assuming that the gravitational potential energy is zero at an infinite distance from the Earth.
b. The magnitude of the angular momentum of the spacecraft about the center of the Earth.
Later the spacecraft is at point B on the exact opposite side of the orbit at a distance rB = 3.6 × 107 meters from the center of the Earth.
c. Determine the speed vB of the spacecraft at point B.
Suppose that a different spacecraft is at point A, a distance rA = 1.2 × 107 meters from the center of the Earth.
Determine each of the following.
d. The speed of the spacecraft if it is in a circular orbit around the Earth
e. The minimum speed of the spacecraft at point A if it is to escape completely from the Earth
Answer/Explanation
Ans:

Question

A satellite of mass m is in an elliptical orbit around the Earth, which has mass Me and radius Re. The orbit varies from a closest approach of distance a at point A to maximum distance of b from the center of the Earth at point B. At point A, the speed of the satellite is vo. Assume that the gravitational potential energy Ug = 0 when masses are an infinite distance apart. Express your answers in terms of a, b, m, Me, Re, vo, and G.
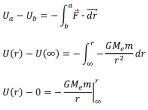
a. Write the appropriate definite integral, including limits, that can be evaluated to show that the potential energy of the satellite when it is a distance r from the center of the Earth is given by
\(U_{g}= -\frac{GM_{e}m}{r}\)
b. Determine the total energy of the satellite when it is at A.
c. What is the magnitude of the angular momentum of the satellite about the center of the Earth when it is at A?
d. Determine the velocity of the satellite as it passes point B in its orbit.

As the satellite passes point A, a rocket engine on the satellite is fired so that its orbit is changed to a circular orbit of radius a about the center of the Earth.
e. Determine the speed of the satellite for this circular orbit.
f. Determine the work done by the rocket engine to effect this change.
Answer/Explanation
Ans:
a. 
b. E = PE + KE \(-\frac{GM_{e}m}{a}+\frac{1}{2}{mv_{0}}^{2}\)
c. L = mvr = mv0a
d. Conservation of angular momentum gives mv0a = mvbb, or vb = v0a/b
e. Fg = Fc gives \(\frac{GMm}{R^{2}}=\frac{mv^{2}}{R} and v = \sqrt{\frac{GM_{e}}{a}}\)
f. The work done is the change in energy of the satellite. Since the potential energy of the satellite is constant, the
change in energy is the change in kinetic energy, or 𝑊 = \(\Delta KE = \frac{1}{2}m \left ( \frac{GM_{e}}{a} -{v_{0}}^{2}\right )\)
