Question 1

1. Students are investigating electromagnetic wave phenomena in transparent media. They use a string to support a stationary thin, rectangular block of mass \(m_{b}\), volume \(m_{b}\) , and density \(\rho _{b}\) . The block has two narrow slits in its center and is submerged in a glass tank containing water with density \(\rho _{w}\), as shown above.
(a)
i. On the dot below, which represents the block, draw and label the forces that are exerted on the block. Each force must be represented by a distinct arrow starting on, and pointing away from, the dot.

ii. Derive an expression for the force exerted on the block by the string in terms of the given quantities and physical constants, as appropriate.
(b) A monochromatic laser beam is incident perpendicular to the wall of the tank. The beam passes through the slits in the block. An interference pattern is formed on the screen inside the tank. The water is then replaced with a clear fluid with a greater index of refraction than that of water. In a coherent, paragraph-length response, describe how the greater index of refraction of the new fluid affects the interference pattern. Explain your reasoning in terms of speed, frequency, and wavelength of the light.

(c) The block is replaced by a triangular prism, as shown above. The path of the beam is indicated by the dotted line, and the beam reaches the screen at point P. The fluid is then removed from the tank, and the prism is
surrounded by air. Predict whether the beam will reach the side of the tank above point P, at point P, or below point P when the prism is surrounded by air. Support your answer using physics principles.
▶️Answer/Explanation
(a)(i) Example Response

(a)(ii) Example Response
\(\sum \vec{F} = m \vec{a}\)
\(F_{T} + F_{B} – F_{g} = 0\)
\(F_{T} + F_{B} = F_{g}\)
\(F_{T} = F_{g} – F_{g}
\(F_{T} = F_{g} – F_{B}
\(F_{T} = m_{b}g – \rho _{w}V_{b}g\)
(b) Example Response
The speed of light in the new fluid is less than the speed of light in water because the fluid has a greater index of refraction. This means that the wavelength of the light in the beam will be smaller because the frequency does not change. Since the wavelength is smaller, the angular separation of the bright fringes will decrease, as described by the equation \(m\lambda =dsin\Theta \).
(c) Example Response
The beam refracts more when the air is present because the difference between the indices of refraction between the prism and the surrounding medium is greater. So, the beam hits the screen below point P.
Question 2

2. Students perform an experiment with a battery and four resistors, A, B, C, and D. The resistance of resistors A and C is \(R_{A} =R_{C}\) = R. The resistance of resistors B and D is \(R_{B} =R_{D}\) = 2R. The students create the two circuits shown above and measure the potential differences \(\Delta V_{A}\) , \(\Delta V_{B}\) , \(\Delta V_{C}\) , and \(\Delta V_{D}\) across resistors A, B, C, and D, respectively.
(a) From greatest to least, rank the magnitudes of the potential differences across the resistors. Use “1” for the greatest magnitude, “2” for the next greatest magnitude, and so on. If any potential differences have the same magnitude, use the same number for their ranking.
____\(\Delta V_{A}\) ____\(\Delta V_{B}\) ____\(\Delta V_{C}\) ____ \(\Delta V_{D}\)
Justify your answer.
In another experiment, the students have a capacitor with unknown capacitance \(C_{U}\) . They want to determine \(C_{U}\) by using a battery of potential difference 4.5 V and several other capacitors of known capacitance. They create circuits with the battery, the unknown capacitor, and one of the capacitors of known capacitance. The students wait until the capacitors are fully charged and then record the potential difference \(\Delta V_{Known}\) across the known capacitor and the potential difference \(\Delta V_{U}\) across the unknown capacitor. Their data are shown in the table on the following page.

(b)
i. Calculate the amount of charge on the capacitor of known capacitance of 200 μF in the students’ experiment.
ii. Briefly explain why the data in the table provide evidence that the capacitors are connected in series.
iii. Briefly explain why connecting the capacitors in parallel would not provide enough information to determine the capacitance of the unknown capacitor if the only measuring device available is a voltmeter.
(c) The students want to produce a linear graph of the data so that the capacitance \(C_{U}\) of the unknown capacitor can be determined from the slope of the best-fit line for the data.
i. Indicate two quantities that could be plotted to produce the desired graph. Use the empty columns of the data table in part (b) to record any values that you need to calculate.
Vertical axis _________________ Horizontal axis _________________
ii. Label the axes below and provide an appropriate scale with units. Plot the data points for the quantities indicated in part (c)(i) on the axes and draw a best-fit line.

iii. Using your best-fit line, determine the capacitance of capacitor \(C_{U}\).
▶️Answer/Explanation
2(a) For a correct ranking
1 \(\Delta V_{A}\) 1 \(\Delta V_{B}\) 3 \(\Delta V_{C}\) 2 \(\Delta V_{D}\)
For indicating that the resistors in parallel will have the same potential difference
For a justification that indicates \(\Delta V_{D}>\Delta V_{C}\) because \(R_{D}=2R_{C}\)
Example Response
2(b)(i) For calculating the correct value of the charge on the 200 \(\mu F \) capacitor, including units
\(\Delta V = \frac{Q}{C}\)
\(Q = C\Delta V = (200\mu F)(0.91 V )\)
\(Q = 1.82 * 10^{-4}\\\ C\)
2(b)(ii) For indicating one of the following as evidence that the capacitors are in series:
. the potential differences across the capacitors are different
. the sum of the potential differences across the capacitors is constant
. the sum of the potential differences across the capacitors is approximately equal to the potential difference across the battery
(b)(iii) Example Response
Both charge and potential difference across the capacitor are needed to determine C. Arranging the capacitors in parallel will mean both capacitors will have the same potential difference. However, capacitors in parallel will have differing amounts of charge, making it impossible to determine the charge, and, therefore, the capacitance of the unknown capacitor.
(c)(i) Example Response
- \(Q_{known} (C_{known}\Delta V_{known}) and \Delta V_{U}\)
- \(Q_{U} and \Delta V_{U}\)
- \(C_{known} and \frac{\Delta V_{U}}{\Delta V_{known}}\)
2(c)(ii) Example Response

2(c)(iii) Example Response
Capacitance is equal to slope

Question 3

3. A hydrogen atom can be modeled as an electron in a circular orbit of radius r about a stationary proton, as shown above. The gravitational force between the proton and electron is negligible compared to the electrostatic force between them.
(a) Derive an equation for the speed v of the electron in terms of r and physical constants, as appropriate.
(b)Derive an equation for the total energy of the atom in terms of r and physical constants, as appropriate.
(c) When the hydrogen atom absorbs a photon, the electron moves to an orbit with a larger radius and the total energy of the atom increases. Is your equation for the energy derived in part (b) consistent with this description of the model of a hydrogen atom absorbing a photon? Explain why the equation is or is not consistent.
(d) Experiments show that a hydrogen atom can absorb a photon of frequency \(3.2\times 10^{15}Hz\).
i. Calculate the energy of a photon with this frequency.
ii. A student claims that when a hydrogen atom absorbs a photon at this frequency, the energy could be converted into mass, adding an electron to the atom. Calculate the amount of energy needed to create a particle with the mass of an electron and determine whether or not there is sufficient energy gained by the atom to add another electron.

iii. The left bar chart in the figure above is complete and represents the initial electric potential energy \(U_{E}\) , i of the atom and the initial kinetic energy \(K_{i}\) of the electron before the photon is absorbed. In the space provided on the right, draw a bar chart to represent a possible final electric potential energy of the atom and final kinetic energy of the electron.
▶️Answer/Explanation
3(a) Example Response
\(\frac{ke^{2}}{r^{2}} = \frac{m_{e}v^{2}}{r}\)
\(v^{2} = \frac{ke^{2}}{m_{e}r}\)
\(v = \sqrt{\frac{ke^{2}}{m_{e}r}}\)
Scoring Note: \(q_{e} \) and \(q_{p}\) are acceptable.
3(b) Example Response
\(E = U+K\)
\(E = \frac{ke^{2}}{r} + \frac{1}{2} \frac{ke^{2}}{r}\)
\(E = -\frac{ke^{2}}{2r}\)
3(c) Example Response
The equation from part (b) indicates that as the radius increases, the total energy of the atom becomes less negative, which is an increase in the total energy. This is consistent with the given description of the atom absorbing a photon.
3(d) (i) Example Response
\(E = hf\)
\(E = (6.63 * 10^{-34} J . s)(3.2 * 10^{15}Hz)\)
\(E = 2.12 * 10^{-18}J\)
3(d) (ii) Example Response
\(E = mc^{2}\)
\(E = (9.11 * 10^{-31}kg) (3.00 * 10^{-18} m/s)^{2}\)
\(E = 8.20 * 10^{-14} J\)
3(d) (iii) Example Response

Question 4

4. At the instant shown above, a negatively charged object is moving to the left with constant velocity v near a long, straight wire that has a current I directed to the left. The region contains a uniform electric field of magnitude E, and the charged object is at a distance d from the wire. The figure shows the electric and magnetic forces, \(F_{E}\) and \(F_{M}\) , respectively, exerted on the charged object.
(a) Derive an expression for v in terms of E, d, I, and physical constants, as appropriate.

(b) The charged object is removed, and a square coil with side length 2L is placed near the long, straight wire, as shown above. The bottom of the coil is a distance L from the wire. The magnitude of the magnetic field due to the current in the wire is \(3B_{o}\) at point \(P_{o}\) and \(B_{o} \) at point \(P_{2}\).
i. Write an “X” at a location on the figure where the magnitude of the magnetic field is \(2B_{o}\). Briefly justify your reasoning.
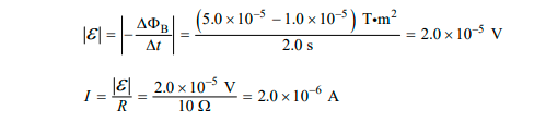
ii. Over a time interval of 2.0 s, the current in the wire is decreased. The initial magnetic flux through the coil is \(5.0\times 10^{-5}T.m^{2}\) and the final magnetic flux through the coil is \(1.0\times 10^{-5}T.m^{2}\) . The coil has a total resistance of 10 Ω. Calculate the magnitude of the average current in the coil during the 2.0 s time interval.

The wire is removed and the square coil is positioned so that the coil is directly above and concentric with a round coil of wire connected to a power supply. A part of the square coil is removed and a lightbulb is connected to the coil, as shown above.
(c) During a short time interval, the current in the power supply is constantly increasing. Use physics principles to explain why the lightbulb is lit during the entire time interval.
▶️Answer/Explanation
4(a) Example Response
\(\sum \vec{F} =\vec{m}a\)
\(F_{M} – F_{E} = 0\)
\(F_{M} =nF_{E}\)
\(qvB = qE\)
\(v(\frac{\mu _{0}I}{2\pi d}) = E\)
\(v = \frac{2\pi dE}{\mu _{0}I}\)
4(b) (i) Example Response

4(b) (i) Example Response
Magnetic field is inversely proportional to the distance from a long, straight current carrying wire: \(B=\frac{\mu _{O}I}{2\pi r}\) . Doubling the distance from the wire from L to 2L would reduce the magnetic field from \(3B_{o}\) to\( 1.5B_{o}\) . Therefore, the magnetic field would be equal to \(2B_{o}\) somewhere between L and 2L .
4(b) (ii) Example Response

4(c) Example Response
The current in the round coil produces a magnetic field. The magnetic field from the round coil passes through the square coil, producing a flux. As the current in the power supply increases, so does the current in the round coil, and, therefore, the magnetic field created by the current increases. Since the magnetic field changes, the flux through the square coil changes. The constantly changing magnetic flux through the square coil produces an emf and, therefore, current in the square coil to light the lightbulb.
