Edexcel IAL - Further Pure Mathematics 2- 6.1 Higher Order Derivatives- Study notes - New syllabus
Edexcel IAL – Further Pure Mathematics 2- 6.1 Higher Order Derivatives -Study notes- New syllabus
Edexcel IAL – Further Pure Mathematics 2- 6.1 Higher Order Derivatives -Study notes -Edexcel A level Maths- per latest Syllabus.
Key Concepts:
- 6.1 Higher Order Derivatives
Third and Higher Order Derivatives
The first derivative of a function gives the rate of change of \( y \) with respect to \( x \). Differentiating again gives the second derivative, which measures how the rate of change itself varies. This process can be continued to obtain third, fourth and higher order derivatives.

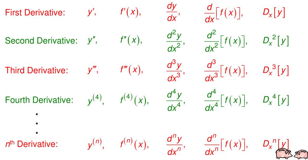
Notation
| Derivative | Notation |
| First derivative | \( \dfrac{dy}{dx} \) or \( y’ \) |
| Second derivative | \( \dfrac{d^2y}{dx^2} \) or \( y” \) |
| Third derivative | \( \dfrac{d^3y}{dx^3} \) or \( y”’ \) |
| nth derivative | \( \dfrac{d^ny}{dx^n} \) |
Geometric and Physical Meaning
- The first derivative gives the gradient of the curve.
- The second derivative shows whether the curve is bending up or down.
- The third derivative describes how the curvature itself changes.
General Patterns
For polynomial functions, each differentiation lowers the power of \( x \) by one.
For exponential and trigonometric functions, higher derivatives often repeat in cycles.
Example:
If \( y = e^x \), then all derivatives are \( e^x \).
If \( y = \sin x \), derivatives cycle as \( \sin x \to \cos x \to -\sin x \to -\cos x \to \sin x \).
Example
Find \( \dfrac{d^3y}{dx^3} \) if \( y = x^4 \).
▶️ Answer / Explanation
\( y’ = 4x^3 \)
\( y” = 12x^2 \)
\( y”’ = 24x \)
Example
Find \( \dfrac{d^4y}{dx^4} \) if \( y = \sin x \).
▶️ Answer / Explanation
\( y’ = \cos x \) \( y” = -\sin x \) \( y”’ = -\cos x \) \( y”” = \sin x \)
Example
Find \( \dfrac{d^3y}{dx^3} \) if \( y = x^2 e^x \).
▶️ Answer / Explanation
Differentiate using the product rule repeatedly.
\( y’ = (2x)e^x + x^2 e^x \)
\( y” = (2 + 2x)e^x + (2x + x^2)e^x \)
\( y”’ = (4 + 4x + x^2)e^x \)
