Question
Outline the reasons for the differences in blood concentrations between the renal artery and the renal vein [4]
▶️Answer/Explanation
Ans
a urea/waste products lower in vein due to excretion «in urine»/ultrafiltration but not reabsorption
b oxygen lower in vein due to use in cell respiration/in kidney tissue
c carbon dioxide higher in vein due to production by cell respiration/excretion by kidney cells
d glucose lower in vein due to use in cell respiration «by kidney tissue»
e sodium/chloride/ion concentrations changed due to production of hypertonic/hypotonic urine ORsodium/chloride/ion concentrations lower due to removal of excess
f ion/solute concentrations lower in vein than artery if ADH has been secreted OR ion/solute concentrations in vein vary depending on amount of water reabsorbed in the collecting duct
g drug/toxin concentrations lower in vein due to excretion in urine
Accept any point given as the converse. Each mark point includes a difference and reason for it.
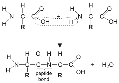
Question
Nitrogen is part of many important substances in living organisms.
Draw labelled diagrams to show a condensation reaction between two amino acids.
Nitrogen is part of many important substances in living organisms.
Distinguish between transcription and translation.
Nitrogen is part of many important substances in living organisms.
Explain how insects excrete nitrogenous wastes.
▶️Answer/Explanation
Markscheme
a. at least one of the amino acid structures completely correct
b. peptide bond shown with N–C and C=O and N–H correct
c. release of water clearly shown

a. DNA is transcribed AND mRNA is translated
Disallow the first mark, if a candidate gets transcription and translation the wrong way round, but allow marks
after that up to [3 max]
b. transcription produces RNA AND translation produces polypeptide/protein
c. RNA polymerase used in only in transcription and ribosomes only in translation
d. transcription in the nucleus «of eukaryotes» and translation in the cytoplasm
e. tRNA needed for translation but not transcription
f. nucleotides linked in transcription and amino acids in translation
OR
sugar-phosphate/phosphodiester bonds in transcription and peptide bonds in translation
[Max 4 Marks]
a. excreted as uric acid
b. excretion by Malpighian tubules
c. nitrogenous waste/ammonia «accumulates» in hemolymph
d. nitrogenous waste/ammonia absorbed by Malpighian tubules
e. ammonia converted to uric acid
f. conversion to uric acid requires energy/ATP
g. high solute concentration in Malpighian tubules
OR
active transport of ions/Na+/K+ into Malpighian tubules
h. water absorbed by osmosis flushes uric acid/nitrogenous waste to «hind» gut
i. water/ions reabsorbed from the feces and returned to hemolymph
j. uric acid precipitates/becomes solid/forms a paste so can pass out with little water
k. uric acid excreted/egested with the feces
l. water conservation/osmoregulation
OR
reduces mass of water «in body»
m. uric acid is non-toxic
[Max 8 Marks]
Question
Describe the role of ADH in human osmoregulation.
▶️Answer/Explanation
Markscheme
a. secreted when blood/plasma is hypertonic/too concentrated/water content too low
b. makes walls of collecting duct/distal convoluted tubule «more» permeable to water
c. more aquaporins in membranes «of collecting duct cells»
d. more water reabsorbed from filtrate/from urine/more water returned to blood
e. small volume of concentrated urine excreted
[Max 3 Marks]
Question
The human circulatory system is structured to serve the organs and tissues of the body efficiently.
Explain how circulation of the blood to the lungs and to other systems is separated in humans and what the advantages of this separation are.
Distinguish between the composition of the blood of the renal artery and the blood of the renal vein.
▶️Answer/Explanation
Markscheme
a. double circulation / pulmonary and systemic circulations
b. heart is a double pump / heart has separate pumps for lungs and other systems / left and right sides of heart are separate / no hole in heart (after birth)
c. deoxygenated blood pumped to the lungs and oxygenated to other organs/tissues/whole body (apart from lungs)
d. each side of the heart has an atrium and a ventricle
e. left ventricle/side pumps blood to the systems/tissues and right ventricle/side pumps blood to the lungs
f. left atrium receives blood from the lungs and right atrium receives blood from systems/tissues
g. left ventricle pumps blood via the aorta and right ventricle pumps blood via the pulmonary artery
h. left atrium receives blood via the pulmonary vein and right atrium receives blood via the vena cava
i. lungs require lower pressure blood / high pressure blood would damage lungs
j. high pressure required to pump blood to all systems/tissues apart from lungs
k. pressure of blood returning from lungs not high enough to continue to tissues / blood has to be pumped again after returning from lungs
l. oxygenated blood and deoxygenated blood kept separate / all tissues receive blood with high oxygen content/saturation
Points may be earned using an annotated diagram.
a. less urea/excretory waste products/creatinine in renal vein
b. less oxygen in the renal vein
c. more carbon dioxide in renal vein
d. less glucose in renal vein
e. concentration of sodium ions/chloride ions/pH at normal level in the renal vein whereas it is variable in renal artery
f. solute concentration/osmolarity/water balance at normal level in the renal vein whereas it is variable in renal artery
Allow answers in a table format. For all these mark points accept the converse as long as it is clear whether the artery or vein has the higher amount.
Answers relating to volume and pressure are not relevant to the question.
Question
Draw a labelled diagram to show the structure of the heart.
Outline how the human body responds to high blood glucose levels.
Explain the role of the nephron in maintaining the water balance of the blood in the human body.
▶️Answer/Explanation
Markscheme
Award [1] for each of the following structures clearly drawn and labelled correctly in a diagram of the heart.
a. left ventricle/right ventricle – both left and right ventricles must be shown but the mark can be awarded if either is correctly labelled. The left must be thicker walled than right and both must be larger than the atria;
b. left atrium/right atrium – both left and right atria must be shown with thinner walls than ventricles, but the mark can be awarded if either atrium is correctly labelled;
c. atrio-ventricular valves/tricuspid and bicuspid valves – positioned between atria and ventricles, with both labelled and tri/bicuspid correct if these names are used;
d. semi-lunar valves –shown at the start of the aorta and pulmonary artery, with the cusps facing in the right direction;
Award [1] for any two blood vessels clearly drawn and correctly labelled.
aorta – shown connected to the left ventricle;
pulmonary artery – shown connected to the right ventricle;
pulmonary vein – shown connected to the left atrium;
vena cava – shown connected to the right atrium;
a. (high blood glucose levels) detected by pancreas islet cells/beta cells;
b. insulin secreted in response (to high blood glucose/glucose above threshold level);
c. insulin stimulates cells to absorb glucose;
d. glucose used in cell respiration (rather than lipids);
e. glucose converted to glycogen (in liver/muscle cells);
f. glucose converted to fatty acids/triglycerides/fat;
g. negative feedback process;
a. ultrafiltration in the glomerulus produces (large volumes of) filtrate;
b. 80%/most of water in filtrate is (always) (re)absorbed in proximal convoluted tubule;
c. water reabsorbed from filtrate in descending loop of Henle;
d. pituitary gland secretes ADH if blood solute concentration is too high;
e. ADH makes the collecting duct/distal convoluted tubule more permeable to water;
f. ADH moves aquaporins into the membranes (of cells in the tubule wall);
g. more water reabsorbed from filtrate/into blood due to ADH;
h. blood becomes more dilute / small volume of urine with high solute concentration;
i. with low/no ADH less water is reabsorbed in the collecting duct;
j. blood becomes more concentrated / large volume of dilute urine;
k. water reabsorption in collecting duct due to high solute concentration of medulla;
l. active transport of Na+ ions from filtrate in ascending limb of loop of Henle;
Question
The diagram shows a nephron from a mammal.

(a) Identify:
(i) structure X [1]
(ii) structure Y. [1]
(b) State the region of the kidney in which the loop of Henle is situated. [1]
(c) Explain the role of the hormone ADH in osmoregulation. [2]
(d) Outline two adaptations for water conservation in leaves of desert plants. [2]
▶️Answer/Explanation
a i proximal convoluted tubule/PCT;
a ii glomerulus/Bowman’s capsule;
b medulla;
c a. ADH secreted if blood is hypertonic/solute concentration too high/water content too low/dehydrated;
b. aquaporins open/more aquaporins in (plasma membranes of cells in DCT/collecting duct) with ADH;
c. DCT/collecting duct becomes more permeable to water/reabsorbs more water (from filtrate);
d Mark the first two answers only (thick) wax layer/cuticle; hairs on leaves/rolled leaves; sunken stomata/stomata in pits/stomata opening at night/CAM physiology; (leaves reduced to) spines/needles/no/few/small leaves/low surface area (to volume ratio) of leaves; thick stems/water storage tissue/vertical stems (to avoid most intense sunlight);
