Question
The dolichos bean (Lablab purpureus) is cultivated as a food crop in tropical countries. Leaf
cells in L. purpureus have 24 chromosomes.
(a) State how many chromosomes there would be in male or female gametes of L. purpureus.
L. purpureus can have purple or white flowers. Two pure-breeding varieties were crossed: HA 4 with white flowers and GL 424 with purple flowers. All of the \(F_1\) plants had purple flowers. The \(F_1\) plants were self-pollinated to produce an \(F_2\) generation. There were 97 plants with
purple flowers and 38 plants with white flowers in the \(F_2\) generation.
(b) Using a Punnett grid, explain the results of this cross.
(c) Suggest a reason for the \(F_2\) generation not corresponding exactly to the expected ratio of purple-flowered and white-flowered plants.
Answer/Explanation
Answer:
(a) 12;
(b)
a. male and female gamete genotypes/alleles shown as P and p (or others following convention with a suitable key) in a punnet grid;
b. \(F_2\) genotypes shown as PP, Pp, pP and pp;
c. \(F_2\) phenotypes indicated for each genotype on the Punnett grid / 3 purple to 1
white ratio indicated;
(c)
chance / OWWTE;
Question
The spider Dolomedes plantarius usually has white bands down the left and right sides of its body, but some individuals lack these bands. The photograph shows the banded form of D. plantarius with a ball of spiderlings.

Crosses were performed to investigate the inheritance of this trait, by allowing specific males and females to mate. Numbers of banded and unbanded spiderlings that hatched out from all the eggs laid by the female were recorded. Results are shown in the table.

(a) Explain the conclusion that can be drawn from Cross 1.
(b) Deduce reasons for the difference between the results of Cross 2 and Cross 3.
(c) There were 79 progeny in Cross 4. Predict the expected results by completing the table.
(d) The proportion of banded and unbanded individuals in a population of D. plantarius can change. Suggest how such a change could occur.
Answer/Explanation
Answer:
(a)
a. allele/trait/gene for banded is dominant/allele for unbanded is recessive;
b. because two banded spiders produced some unbanded offspring
OR
because there is a ratio of 3 banded:1 unbanded;
c. both parents are heterozygous;
(b)
a. (1:1 ratio) in cross 2 banded parent is heterozygous/has one copy of each allele;
b. (no unbanded offspring) in cross 3 as banded parent is homozygous/has two
alleles for banded;
c. (In crosses 2 and 3) banded parental phenotypes are the same, but their
genotypes are different;
(c) ![]()
(d)
a. natural selection could favour one type over the other;
b. greater survival of one type
OR
one type better camouflaged than the other type;
c. one type more attractive during courtship/mate selection;
Question
Mutations are the ultimate source of genetic variation and are essential to evolution.
Lice are wingless insects that belong to the phylum arthropoda.
State one type of environmental factor that may increase the mutation rate of a gene.
Identify one type of gene mutation.
State two characteristics that identify lice as members of the arthropoda.
1.
2.
Some lice live in human hair and feed on blood. Shampoos that kill lice have been available for many years but some lice are now resistant to those shampoos. Two possible hypotheses are:

Discuss which hypothesis is a better explanation of the theory of evolution by natural selection.
▶️/Explanation
Markscheme
a. radiation
b. chemical mutagens/carcinogens/papilloma virus/cigarette smoke
base substitution/insertion/deletion/frameshift
a. jointed appendages
b. «chitinous» exoskeleton
c. segmented body
OR
bilateral symmetry
OR
mouth AND anus
OR
paired appendages
a. «scientists would accept» hypothesis A as the better one as mutations are random
b. scientists would reject hypothesis B because characteristics acquired during the lifetime of the individual being inherited is Lamarckian/not part of the evolution by natural selection theory/not all mutations are heritable
c. «the resistance» mutation would be present in the population initially and not caused by the shampoo «as hypothesis B states»
d. both hypotheses include variation in the population of lice «resistant and non-resistant»
e. variation is necessary for natural selection to occur
f. frequency of the best adapted increases and these individuals reproduce/pass on resistance to their offspring, so the resistant population increases «so hypothesis A is better»
OWTTE can be used for any of the answers in this part.
Question
Draw a labelled diagram of the human adult male reproductive system.
Describe the application of DNA profiling to determine paternity.
Explain the inheritance of colour blindness.
▶️Answer/Explanation
Markscheme
a. scrotum – shown around testes;
b. testis/testis/testicle – shown inside scrotum;
c. epididymis – shown adjacent to testis and connected to sperm duct;
d. sperm duct/vas deferens – double line connecting testis/epididymis to urethra;
e. seminal vesicles – sac shown branched off sperm duct (not off the urethra);
f. prostate gland – shown positioned where sperm duct connects with urethra;
g. urethra – shown as double line linking bladder to end of penis;
h. penis – with urethra passing through it;
Award [1] for each structure clearly drawn and labelled that conforms to the italicized guidelines given.
a. DNA from child, mother and possible father(s) used to establish paternity;
b. (DNA profiling is done) for legal reasons / divorce / inheritance;
c. (DNA profiling is done) for personal reasons / self-esteem issues for children/fathers/parents;
d. DNA copied/amplified using PCR;
e. DNA cut using restriction enzymes;
f. (gel) electrophoresis used to separate DNA fragments;
g. pattern of bands is produced (in gel);
h. analysed for matches between child with mother and possible father;
i. (about) half the child’s bands will match the father (while the other half will match the mother);
a. colour blindness caused by recessive allele / colour blindness is recessive;
b. gene located on X chromosome/sex-linked;
c. Xb is allele for colour blindness and XB is allele for normal colour vision/dominant allele;
d. male has one X and one Y chromosome;
e. male has only one copy of gene(s) located on X chromosome;
f. X chromosome (in males) comes from female parent;
g. any male receiving allele from mother will express the trait;
h. XbY is genotype for colour blind male;
i. many more males have colour blindness than females;
j. female will express colour blindness only if is homozygous recessive/Xb Xb;
k. heterozygous/XB Xb female is a carrier;
l. colour blind female could be born to colour blind father and carrier mother;
Marks may be earned for use of annotated diagram/Punnett square to show points given above.
Accept use of letters other than B and b as long as capital letter is used for dominant and lower case letter for recessive alleles. For using other improper notation (not showing X or Y), award [0] for the first misuse and then apply ECF to additional notation as long as usage is consistent.
(Plus up to [2] for quality)
Question
The graph shows a sigmoid population growth curve.

The table summarizes the genome size of several organisms.

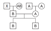
The figure shows a pedigree chart for the blood groups of three generations.

Identify the phases labelled X and Y.
X:
Y:
Outline how fossil records can provide evidence for evolution.
Distinguish between the terms genotype and phenotype.
Outline a structural difference between the chromosomes of Helicobacter pylori and Homo sapiens.
Deduce the percentage of adenine in Oryza sativa if the proportion of guanine in that organism is 30 %.
Deduce the possible phenotypes of individual X.
Describe ABO blood groups as an example of codominance.
▶️Answer/Explanation
Markscheme
X: plateau phase
Y: exponential growth / log phase
(both needed)
a. the sequence in which fossils appear matches the expected sequence of evolution;
b. comparisons with fossils and living organisms (morphology) shows change in characteristics from an ancestral form / OWTTE;
Vestigial organs and homologous structures are acceptable answers.
c. fossils of extinct species show that (evolutionary) change has occurred;
d. fossils can be dated with radioisotopes / geological depth/strata indicates (relative) age/date of organism;
e. can yield DNA for molecular clock analysis;
f. example of any of the above can earn one mark (eg: reptiles follow amphibians);
genotype is the genetic make-up/set of alleles (of an organism) while phenotype is the characteristics (expressed/shown in an organism)
chromosome from bacteria has no protein associated/naked DNA / bacteria is circular, H. sapiens is linear / (chromosomes of) H. sapiens are much bigger/have many more base pairs than bacteria
N.B.: Answer must refer to “chromosomes” not genomes of the two organisms.
20 %
A, B, AB and O
All four phenotypes must be shown to award the mark.
allele IA and the allele IB are (co)dominant as they are both expressed in the heterozygote/AB type blood / OWTTE
Question
Thrombophilia is a human genetic condition where the blood has an increased tendency to clot. The condition is caused by a single base substitution mutation in DNA. If a person is homozygous for the gene, they are at greater risk for developing a blood clot than an individual who is heterozygous. The pedigree chart shows the inheritance of thrombophilia in a family.
(a) Draw the symbol for individual X on the diagram. [1]
(b) Calculate the probability of male Y having an allele for the disorder. [1]
(c) Explain how the information in the box labelled B indicates that the gene is not sex-linked. [2]
(d) Explain how a single base substitution mutation in DNA can cause a change to a protein. [2]
▶️Answer/Explanation
a
![]()
b 50%/ 0.5/ 1/2;
c a. if it was sex-linked it would be on the x chromosome;
b. there cannot be a heterozygous male if the trait is sex-linked
c. males would pass the allele to their daughter;
d. daughter is not shown as heterozygous so it is not sex linked;
d a. sequence of DNA bases determines the amino acid sequence of a protein;
b. changing one base (on the DNA) can cause the triplet /mRNA to code for a different amino acid;
c. changing one base (on the DNA) causes a different protein to be made (during translation);
