Question
Outline the process of gas exchange necessary for aerobic respiration in a unicellular eukaryotic organism.
Explain how the process of evolution occurs.
▶️Answer/Explanation
Markscheme
Oxygen must be taken up AND carbon dioxide must be released (Both needed)
Gases pass through a cell membrane by simple diffusion
Require a concentration gradient
OR
pass from high concentration to low concentration
Without requiring energy
OR
passive process
Large SA: vol ratio
Evolution is «cumulative» change in population/species over time
OR
change in allele frequency
A population has variations amongst the individuals
Due to meiosis
OR
sexual reproduction
Due to mutations
Certain variations give an advantage to some organisms over others in certain environments
Populations/species produce more offspring than the environment can support
Individuals of the species compete for the same resources
The better-adapted organisms tend to survive and reproduce
OR
less adapted organisms tend to die or reproduce fewer offspring
Individuals «that reproduce» pass on their «heritable» characteristics/alleles/genes to their offspring (“Traits” is an acceptable alternative to “characteristic”)
Natural selection increases the frequency of «heritable» characteristics/alleles/genes of the better-adapted organisms (Accept “genes”)
Specific example described (Example must be “described” to award marks)
Award [7 max] if no reference to heritable characteristics or alleles.
Question
The graph shows a sigmoid population growth curve.

The table summarizes the genome size of several organisms.

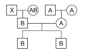
The figure shows a pedigree chart for the blood groups of three generations.

Identify the phases labelled X and Y.
X:
Y:
Outline how fossil records can provide evidence for evolution.
Distinguish between the terms genotype and phenotype.
Outline a structural difference between the chromosomes of Helicobacter pylori and Homo sapiens.
Deduce the percentage of adenine in Oryza sativa if the proportion of guanine in that organism is 30 %.
Deduce the possible phenotypes of individual X.
Describe ABO blood groups as an example of codominance.
▶️Answer/Explanation
Markscheme
X: plateau phase
Y: exponential growth / log phase
(both needed)
a. the sequence in which fossils appear matches the expected sequence of evolution;
b. comparisons with fossils and living organisms (morphology) shows change in characteristics from an ancestral form / OWTTE;
Vestigial organs and homologous structures are acceptable answers.
c. fossils of extinct species show that (evolutionary) change has occurred;
d. fossils can be dated with radioisotopes / geological depth/strata indicates (relative) age/date of organism;
e. can yield DNA for molecular clock analysis;
f. example of any of the above can earn one mark (eg: reptiles follow amphibians);
genotype is the genetic make-up/set of alleles (of an organism) while phenotype is the characteristics (expressed/shown in an organism)
chromosome from bacteria has no protein associated/naked DNA / bacteria is circular, H. sapiens is linear / (chromosomes of) H. sapiens are much bigger/have many more base pairs than bacteria
N.B.: Answer must refer to “chromosomes” not genomes of the two organisms.
20 %
A, B, AB and O
All four phenotypes must be shown to award the mark.
allele IA and the allele IB are (co)dominant as they are both expressed in the heterozygote/AB type blood / OWTTE
Question
Outline two possible consequences of global warming for organisms living in arctic ecosystems.
The changes that result from global warming may lead to evolution. Define evolution.
Explain how sexual reproduction promotes variation in a species.
▶️Answer/Explanation
Markscheme
reduced space/habitat (for ice-dwelling species) / valid example;
increased competition (from temperate species);
arctic species forced to migrate (in search of suitable habitats/food);
changes in patterns of (seasonal) migration;
extinction of some species due to inability to adapt quickly/compete successfully;
increased activity of decomposers;
increased success of pest species including pathogens;
changes in the distribution of prey species;
(cumulative) change in heritable/genetic characteristics of a population;
new species arise from pre-existing species;
change/adaptation of a population due to natural selection / descent with modification;
sexual reproduction involves interbreeding/genetic material from two parents;
new combinations of paternal and maternal chromosomes/alleles/genes / (random) fertilization;
which leads to new genetic combinations/greater variation;
meiosis creates a great variety of gametes;
by crossing-over / by random orientation of alleles (during meiosis);
Question
Sickle-cell anemia is a disease caused by a base substitution mutation, where GAG has changed to GTG. The distribution of the sickle-cell allele is correlated with the incidence of malaria in many places, as shown by the map of Africa.

The correlation shown in the data above can be explained by natural selection. Outline how the process of natural selection can lead to evolution.
Explain how a base substitution mutation, such as GAG to GTG, can lead to a disease like sickle-cell anemia.
Using a Punnett grid, determine the possible genotypes and phenotypes of a cross between a man and a woman who are both carriers of the sickle-cell allele. Use the symbol HbS for the sickle-cell allele and HbA for the normal allele.
Phenotypes:
▶️Answer/Explanation
Markscheme
offspring compete/environment cannot support all offspring;
(genetic) variation in the offspring;
natural selection /survival of better adapted/fittest organisms;
reproduction passes characteristics to other generations;
allele frequencies change;
malaria causes selection pressure (in Africa/worldwide);
different hemoglobin/sickle-cell genotypes exist / normal hemoglobin and sicklecell alleles exist;
natural selection/resistance to malaria of sickle-cell heterozygotes/allele;
survivors pass on sickle-cell allele to offspring; (do not accept sickle-cell anemia)
frequency of sickle-cell allele highest in areas of high malaria incidence;
change in the codon (of the mRNA);
tRNA with a different anticodon attaches;
(if codon changed) wrong/different amino acid is joined to peptide/glutamic acid replaced by valine;
distorted hemoglobin molecule alters red blood cell shape/reduces ability to carry oxygen;
(genotypes shown in a Punnett grid eg)

(phenotypes)
(HbA HbA) normal and (HbA HbS) normal carrier/intermediate/sickle-cell trait and (HbS HbS) sickle-cell anemia/diseased / (HbA HbA and HbA HbS) normal /symptomless and (HbS HbS) sickle-cell anemia/diseased;
To award the mark all phenotypes must be mentioned.
