IBDP Maths AHL 3.14 Vector equation of a line in planes AA SL Paper 2- Exam Style Questions- New Syllabus
Question
Syllabus Topic Codes (IB Mathematics AA HL):
• SL 3.2: Right-angled trigonometry to find angles — part (b)
• AHL 3.13: Angle between two vectors — part (b)
▶️ Answer/Explanation
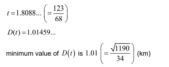
(a)
The velocity vector \( v \) is the derivative of the position vector \( r \) with respect to time \( t \):
\( v = 4 \begin{pmatrix} 10 \\ -25 \\ 0 \end{pmatrix} = \begin{pmatrix} 40 \\ -100 \\ 0 \end{pmatrix} \)
Speed is the magnitude of the velocity vector[cite: 1231]:
Speed \( = |v| = \sqrt{40^2 + (-100)^2 + 0^2} = \sqrt{1600 + 10000} = \sqrt{11600} \approx 107.703 \).
Answer: \( \boxed{108 \, \text{km/h}} \) (to 3 s.f.)
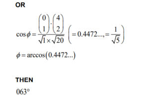
(b)
Method 1: Right-angled Triangle
During the descent, the horizontal speed remains \( 107.703 \dots \) km/h. The vertical speed is 16 km/h downwards.
The angle \( \beta \) is found using: \( \tan \beta = \frac{\text{vertical speed}}{\text{horizontal speed}} \)
\( \tan \beta = \frac{16}{\sqrt{11600}} \approx 0.1486 \)
\( \beta = \arctan(0.1486) \approx 8.4498^\circ \).
Method 2: Vector Angle
The new velocity vector including descent is \( v_{new} = \begin{pmatrix} 40 \\ -100 \\ -16 \end{pmatrix} \).
The angle \( \beta \) between the direction of travel and the horizontal can be calculated using the sine of the angle between the velocity vector and the horizontal plane:
\( \sin \beta = \frac{|\text{vertical component}|}{|v_{new}|} = \frac{16}{\sqrt{40^2 + (-100)^2 + (-16)^2}} = \frac{16}{\sqrt{11856}} \approx 0.1469 \)
\( \beta \approx \arcsin(0.1469) \approx 8.4498^\circ \).
Answer: \( \boxed{8.45^\circ} \) (to 3 s.f.)
