IB MYP 4-5 Maths- Networks-edges and arcs, nodes/ vertices, paths- Study Notes - New Syllabus
IB MYP 4-5 Maths- Networks-edges and arcs, nodes/ vertices, paths – Study Notes
Extended
- Networks-edges and arcs, nodes/ vertices, paths
IB MYP 4-5 Maths- Networks-edges and arcs, nodes/ vertices, paths – Study Notes – All topics
Networks: Edges, Arcs, Nodes, and Paths
Networks: Edges, Arcs, Nodes, and Paths
Network
A network (or graph) is a collection of points (called nodes or vertices) connected by lines (called edges or arcs). Networks are used to model relationships or connections between objects such as cities, computer systems, or transportation routes.
Key Terms and Definitions
Node / Vertex
A point in the network where two or more edges meet. Represented by dots or circles.
Edge / Arc
A line that connects two nodes. It can have a direction (directed edge) or no direction (undirected).
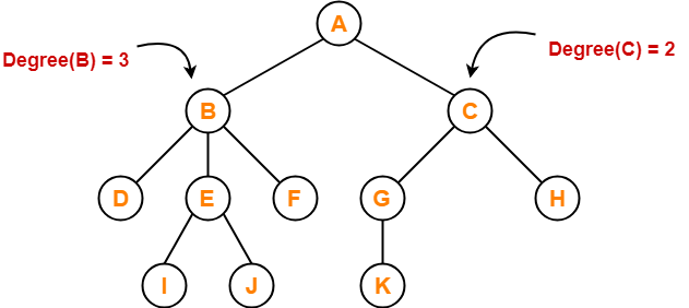
Degree of a Node
The number of edges connected to a node.

Path
A sequence of edges connecting a series of distinct nodes.

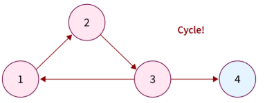
Cycle
A path that starts and ends at the same node without repeating any edge or vertex (except start/end).
Connected Network
A network in which every node is reachable from any other node.

Types of Edges and Networks
- Directed Edge (Arc): Has a specific direction (e.g., one-way road).
- Undirected Edge: No direction (e.g., two-way road).
- Weighted Edge: Carries a value like distance, cost, or time.
- Unweighted Edge: No value attached.
Steps to Represent a Network
- Identify all nodes (objects or points).
- Draw edges to show connections between nodes.
- If the network is weighted, label each edge with the weight (distance, cost, etc.).
- Indicate directions if it is a directed network.
Example:
Consider a network with 4 nodes: A, B, C, D. Connections: A-B, B-C, C-D, D-A, and A-C. Identify:
- Number of nodes and edges
- Degree of node A
- A path from A to D
▶️ Answer/Explanation
Solution:
Nodes = {A, B, C, D} → 4 nodes.
Edges = {AB, BC, CD, DA, AC} → 5 edges.
Degree of A = 3 (connected to B, C, D).
A path from A to D: A → C → D.
Example:
A delivery company has three towns: P, Q, and R. Distances: P-Q = 5 km, Q-R = 7 km, P-R = 9 km. Represent the network and find the shortest path from P to R.
▶️ Answer/Explanation
Solution:
Nodes: P, Q, R.
Edges with weights: P-Q (5 km), Q-R (7 km), P-R (9 km).
Shortest path from P to R: via Q → total = 5 + 7 = 12 km (direct P-R is 9 km, so direct is shorter).
Answer: Shortest path = P → R (9 km).
