IB MYP 4-5 Physics- Graphs derived from equations of motion- Study Notes - New Syllabus
IB MYP 4-5 Physics- Graphs derived from equations of motion- Study Notes
Key Concepts
- Graphs Derived from Equations of Motion
Graphs Derived from Equations of Motion
Graphs Derived from Equations of Motion
Each equation of motion corresponds to a graphical representation of how one quantity changes with another. These graphs help visualize motion and are directly derived from:
- \( v = u + at \)
- \( s = ut + \dfrac{1}{2}at^2 \)
- \( v^2 = u^2 + 2as \)
1. Velocity–Time Graph from $v = u + at$
This equation shows that velocity increases linearly with time if acceleration is constant. It forms a straight line.
Graph Features:

- Straight line with slope = acceleration \( a \)
- y-intercept = initial velocity \( u \)
- Area under graph = displacement \( s \)
From area under the graph:
Area = Trapezium = \( \dfrac{1}{2}(u + v)t = s \)
2. Displacement–Time Graph from $s = ut + \dfrac{1}{2}at^2$
This is a quadratic equation in \( t \), so the graph is a curve (a parabola).
Graph Features:

- If \( a = 0 \), the graph is a straight line (uniform velocity).
- If \( a > 0 \), the graph curves upwards (increasing velocity).
- If \( a < 0 \), the graph curves downwards (deceleration).
Shape is always a parabola when \( a \neq 0 \)
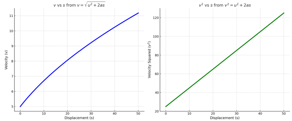
3. Velocity–Displacement Graph from $v^2 = u^2 + 2as$
Rewriting: \( v = \sqrt{u^2 + 2as} \)
This is a square root function. If we plot \( v \) vs \( s \), the graph is curved (non-linear).
Alternative: If we plot \( v^2 \) vs \( s \), the graph is linear.
Graph Features:

- Gradient = \( 2a \)
- y-intercept = \( u^2 \)
- Only valid for motion with constant acceleration.
Example:
An object starts with velocity \( u = 5\,\text{m/s} \) and accelerates uniformly at \( 3\,\text{m/s}^2 \) for 4 seconds. Sketch the v–t graph and find the area under it.
▶️ Answer/Explanation
Use \( v = u + at = 5 + 3 \cdot 4 = 17\,\text{m/s} \)
The graph is a straight line from \( (0, 5) \) to \( (4, 17) \).
Area under graph:
\( \text{Area} = \dfrac{1}{2}(u + v)t = \dfrac{1}{2}(5 + 17) \cdot 4 = \dfrac{22 \cdot 4}{2} = \boxed{44\,\text{m}} \)
Example:
An object starts at \( u = 0 \) and accelerates at \( 4\,\text{m/s}^2 \). Plot \( v^2 \) vs \( s \) after it has travelled \( s = 10\,\text{m} \).
▶️ Answer/Explanation
Use: \( v^2 = u^2 + 2as = 0 + 2 \cdot 4 \cdot 10 = 80 \)
So, \( v = \sqrt{80} \approx 8.94\,\text{m/s} \)
If you plot \( v^2 \) on y-axis and \( s \) on x-axis, you get a straight line: \( v^2 = 8s \)
Gradient = \( 2a = 8 \)
Example:
A body moves with uniform acceleration. It covers a displacement of \( s = 50\,\text{m} \) in the first 5 seconds. Its velocity at the end of 5 seconds is \( 20\,\text{m/s} \). Find:
- Initial velocity \( u \)
- Acceleration \( a \)
- Sketch the v–t and s–t graphs
▶️ Answer/Explanation
Step 1: Use equation \( s = ut + \dfrac{1}{2}at^2 \)
\( 50 = 5u + \dfrac{1}{2}a(25) \) → \( 50 = 5u + 12.5a \) — (i)
Step 2: Use \( v = u + at \)
\( 20 = u + 5a \) → \( u = 20 – 5a \) — (ii)
Step 3: Substitute (ii) into (i):
\( 50 = 5(20 – 5a) + 12.5a = 100 – 25a + 12.5a = 100 – 12.5a \)
\( \Rightarrow 12.5a = 50 \Rightarrow a = 4\,\text{m/s}^2 \)
Step 4: Find initial velocity
\( u = 20 – 5 \cdot 4 = \boxed{0\,\text{m/s}} \)
Graph Sketch:
- v–t graph: straight line from (0, 0) to (5, 20)
- s–t graph: upward curving parabola from (0, 0) to (5, 50)
Displacement from v–t graph: Area = \( \dfrac{1}{2} \cdot 5 \cdot 20 = \boxed{50\,\text{m}} \)
