IB Mathematics AHL 4.19: Transition matrices AI HL Paper 2- Exam Style Questions- New Syllabus
The drivers of a courier service can park their vehicles overnight either at the company depot or at their residence.
Aarav is a driver for the service. If Aarav has parked his vehicle overnight at the depot on a given day, the probability that he parks his vehicle at the depot on the following day is 0.88. If Aarav has parked his vehicle overnight at his residence on a given day, the probability that he parks his vehicle at his residence on the following day is 0.92.
(a) Write down a transition matrix, \(T\), that shows the movement of Aarav’s vehicle between the depot and his residence. [2 marks]
On Monday morning, Aarav collected his vehicle from the depot where it was parked overnight.
(b) Find the probability that Aarav’s vehicle will be parked at his residence on Friday evening at the end of the week. [3 marks]
(c) Write down the characteristic polynomial for the matrix \(T\). Give your answer in the form \( \lambda^2 + b\lambda + c \). [2 marks]
(d) Calculate eigenvectors for the matrix \(T\). [4 marks]
(e) Write down matrices \(P\) and \(D\) such that \( T = P D P^{-1} \), where \(D\) is a diagonal matrix. [2 marks]
(f) Hence find the long-term probability that Aarav’s vehicle is parked at his residence. [3 marks]
▶️ Answer/Explanation
(a) Transition matrix \( T \):
States: Depot (D), Residence (R). If at D, P(D → D) = 0.88, P(D → R) = 0.12. If at R, P(R → R) = 0.92, P(R → D) = 0.08.
\[ T = \begin{pmatrix} 0.88 & 0.08 \\ 0.12 & 0.92 \end{pmatrix} \]
\[ \boxed{\begin{pmatrix} 0.88 & 0.08 \\ 0.12 & 0.92 \end{pmatrix}} \]
(b) 5 (seen) (A1)
\[ \left( \begin{array}{cc} 0.88 & 0.08 \\ 0.12 & 0.92 \end{array} \right)^5 \begin{pmatrix} 1 \\ 0 \end{pmatrix} = \begin{pmatrix} 0.596608 \\ 0.403392 \end{pmatrix} \quad \text{OR} \quad \left( \begin{array}{cc} 0.88 & 0.08 \\ 0.12 & 0.92 \end{array} \right)^5 = \begin{pmatrix} 0.596608 & 0.268928 \\ 0.403392 & 0.731072 \end{pmatrix} \]
P(Friday evening) = 0.403 (0.403392) (M1) A1
(c) Characteristic polynomial of \( T \):
\[ \det(T – \lambda I) = \det \begin{pmatrix} 0.88 – \lambda & 0.08 \\ 0.12 & 0.92 – \lambda \end{pmatrix} \]
\[ = (0.88 – \lambda)(0.92 – \lambda) – (0.08 \times 0.12) \]
\[ = \lambda^2 – (0.88 + 0.92)\lambda + (0.88 \times 0.92 – 0.08 \times 0.12) \]
\[ = \lambda^2 – 1.8\lambda + (0.8096 – 0.0096) \]
\[ = \lambda^2 – 1.8\lambda + 0.8 \]
\[ \boxed{\lambda^2 – 1.8\lambda + 0.8} \]
(d) eigenvalues are 0.8 and 1 A1
\[ \begin{pmatrix} 0.88 & 0.08 \\ 0.12 & 0.92 \end{pmatrix} \begin{pmatrix} x \\ y \end{pmatrix} = 0.8 \begin{pmatrix} x \\ y \end{pmatrix} \]
\[ 0.88x + 0.08y = 0.8x \]
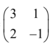
Eigenvector = e.g. \( \begin{pmatrix} 1 \\ -1 \end{pmatrix} \) A1
EITHER
\[ \begin{pmatrix} 0.88 & 0.08 \\ 0.12 & 0.92 \end{pmatrix} \begin{pmatrix} x \\ y \end{pmatrix} = 1 \begin{pmatrix} x \\ y \end{pmatrix} \]
\[ 0.88x + 0.08y = x \]
\[ 0.08y = 0.12x \]
OR eigenvalue 1 gives
\[ \begin{pmatrix} -0.12 & 0.08 \\ 0.12 & -0.08 \end{pmatrix} \begin{pmatrix} x \\ y \end{pmatrix} = \begin{pmatrix} 0 \\ 0 \end{pmatrix} \]
\[-0.12x + 0.08y = 0\]
\[ 0.08y = 0.12x \]
Then eigenvector = e.g. \( \begin{pmatrix} 2 \\ 3 \end{pmatrix} \) A1
\[ \boxed{\begin{pmatrix} 1 \\ -1 \end{pmatrix}, \begin{pmatrix} 2 \\ 3 \end{pmatrix}} \]
(e) Diagonal matrix \( D \) with eigenvalues:
\[ D = \begin{pmatrix} 1 & 0 \\ 0 & 0.8 \end{pmatrix} \]
Matrix \( P \) with eigenvectors as columns:
\[ P = \begin{pmatrix} 2 & 1 \\ 3 & -1 \end{pmatrix} \]
\[ \boxed{D = \begin{pmatrix} 1 & 0 \\ 0 & 0.8 \end{pmatrix}, P = \begin{pmatrix} 2 & 1 \\ 3 & -1 \end{pmatrix}} \]
(f) Long-term probability using \( T^n = P D^n P^{-1} \):
\[ D^n = \begin{pmatrix} 1^n & 0 \\ 0 & 0.8^n \end{pmatrix} \rightarrow \begin{pmatrix} 1 & 0 \\ 0 & 0 \end{pmatrix} \text{ as } n \to \infty \]
Compute \( P^{-1} \): For \( P = \begin{pmatrix} 2 & 1 \\ 3 & -1 \end{pmatrix} \), determinant = \( 2(-1) – 1 \cdot 3 = -5 \).
\[ P^{-1} = \frac{1}{-5} \begin{pmatrix} -1 & -1 \\ -3 & 2 \end{pmatrix} = \begin{pmatrix} 0.2 & 0.2 \\ 0.6 & -0.4 \end{pmatrix} \]
\[ T^n \to \begin{pmatrix} 2 & 1 \\ 3 & -1 \end{pmatrix} \begin{pmatrix} 1 & 0 \\ 0 & 0 \end{pmatrix} \begin{pmatrix} 0.2 & 0.2 \\ 0.6 & -0.4 \end{pmatrix} = \begin{pmatrix} 2 & 1 \\ 3 & -1 \end{pmatrix} \begin{pmatrix} 0.2 & 0.2 \\ 0 & 0 \end{pmatrix} = \begin{pmatrix} 0.4 & 0.4 \\ 0.6 & 0.6 \end{pmatrix} \]
Steady-state distribution: \( \begin{pmatrix} 0.4 \\ 0.6 \end{pmatrix} \). Probability at residence: 0.6.
Alternative method: Compute \( T^n = \frac{1}{5} \begin{pmatrix} 2 & 1 \\ 3 & -1 \end{pmatrix} \begin{pmatrix} 1 & 0 \\ 0 & 0.8^n \end{pmatrix} \begin{pmatrix} 1 & 1 \\ 3 & -2 \end{pmatrix} \).
\[ T^n = \frac{1}{5} \begin{pmatrix} 2 + 3 \cdot 0.8^n & 2 – 2 \cdot 0.8^n \\ 3 – 3 \cdot 0.8^n & 3 + 2 \cdot 0.8^n \end{pmatrix} \rightarrow \frac{1}{5} \begin{pmatrix} 2 & 2 \\ 3 & 3 \end{pmatrix} = \begin{pmatrix} 0.4 & 0.4 \\ 0.6 & 0.6 \end{pmatrix} \]
\[ \boxed{0.6} \]
