IB Mathematics SL 2.4: Finding the point of intersection AI SL Paper 2 - Exam Style Questions - New Syllabus
Question

(ii) the equation representing the principal axis of the graph.
Most-appropriate topic codes (IB Mathematics AI SL 2025):
• SL 1.8: Solution of equations using technology (GDC) — parts (d), (e)
• SL 2.4: Key features of graphs; finding points of intersection — part (e)
▶️ Answer/Explanation
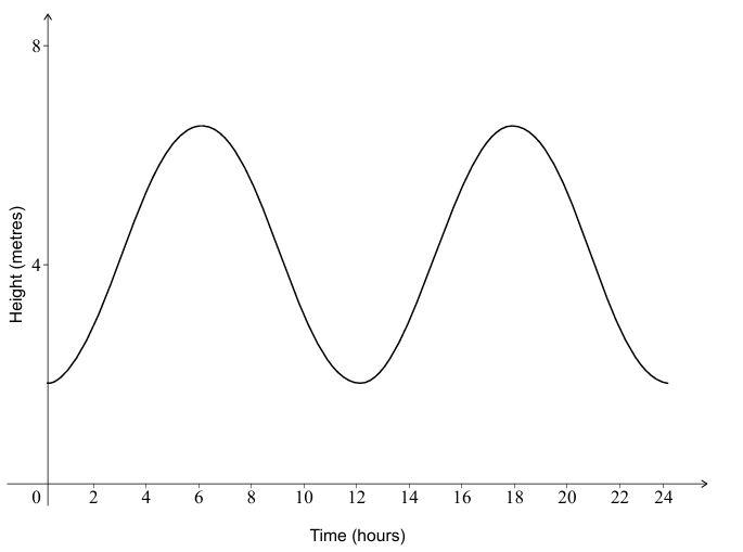
(a)
The graph shows a period of 12 hours.
For \( \cos(bt^\circ) \), period = \( \frac{360}{b} \).
Set \( \frac{360}{b} = 12 \) ⇒ \( b = 30 \).
\( \boxed{b = 30} \)
(b)
\( h(5) = -2.5 \cos(30 \times 5) + 4.5 \).
\( = -2.5 \cos 150^\circ + 4.5 \).
\( \cos 150^\circ = -\frac{\sqrt{3}}{2} \approx -0.866025 \).
So \( h(5) \approx -2.5 \times (-0.866025) + 4.5 \approx 2.16506 + 4.5 = 6.66506 \).
\( \boxed{6.67\ \text{m}} \)
(c)
(i) Amplitude = \( 2.5 \) metres.
\( \boxed{2.5} \)
(ii) Principal axis: \( h = 4.5 \).
\( \boxed{h = 4.5} \)
(d)
Solve \( -2.5 \cos(30t) + 4.5 = 2.65 \) for \( t > 12 \).
Using technology: first solution after \( t = 12 \) is \( t \approx 13.4089 \) hours.
Convert: \( 0.4089 \times 60 \approx 25 \) minutes.
Earliest time ≈ 13:25 (1:25 p.m.).
\( \boxed{13:25} \)
(e)
Last time to return: solve \( -2.5 \cos(30t) + 4.5 = 2.65 \) for \( t \) before next low tide.
Next crossing after 13.4089 is at \( t \approx 22.5910 \) hours (by symmetry of cosine).
Travel time each way = 0.25 hours total.
Max time at site = \( 22.5910 – 13.4089 – 0.25 \approx 8.6821 \) hours.
\( \boxed{8.68\ \text{hours}} \)
