IB Mathematics AA HL Absolute value graphs Study Notes
IB Mathematics AA HL Absolute value graphs Study Notes
IB Mathematics AA HL Absolute value graphs Study Notes Offer a clear explanation of Absolute value graphs , including various formula, rules, exam style questions as example to explain the topics. Worked Out examples and common problem types provided here will be sufficient to cover for topic Absolute value graphs.
The Graph of \( y = |f(x)| \)
The Graph of \( y = |f(x)| \)
The graph of \( y = |f(x)| \) can be obtained from the graph of \( y = f(x) \) by:
- Leaving the part of the graph where \( f(x) \ge 0 \) unchanged.
- Reflecting the part of the graph where \( f(x) < 0 \) in the x-axis (make negative y-values positive).
Example
Given \( f(x) = x – 2 \), sketch \( y = |f(x)| \).
▶️ Answer/Explanation
- Plot \( y = x – 2 \). This is a straight line crossing the x-axis at \( x = 2 \).
- For \( x \ge 2 \): The graph stays the same.
- For \( x < 2 \): The negative y-values are reflected above the x-axis.
Use a graphing tool (Desmos, GeoGebra, GDC) to plot both \( y = x – 2 \) and \( y = |x – 2| \) to visualize the reflection.

The Graph of \( y = f(|x|) \)
The Graph of \( y = f(|x|) \)
The graph of \( y = f(|x|) \) can be obtained by:
- Keeping the part of the graph for \( x \ge 0 \) unchanged.
- Reflecting that part of the graph across the y-axis (mirror image).
Example
Given \( f(x) = x + 1 \), sketch \( y = f(|x|) \).
▶️ Answer/Explanation
- For \( x \ge 0 \): \( y = x + 1 \) (a straight line starting at (0,1)).
- For \( x < 0 \): The graph is the reflection of \( y = x + 1 \) for positive x, so it appears as \( y = (-x) + 1 \).
Use a graphing tool (Desmos, GeoGebra, GDC) to visualize both \( y = f(x) \) and \( y = f(|x|) \).

The Graph of \( y = \frac{1}{f(x)} \)
The Graph of \( y = \frac{1}{f(x)} \)
- The graph has vertical asymptotes where \( f(x) = 0 \) (since division by zero is undefined).
- The graph approaches zero where \( f(x) \) is large (positive or negative).
- Where \( f(x) \) is positive, \( y = \frac{1}{f(x)} \) is positive. Where \( f(x) \) is negative, \( y = \frac{1}{f(x)} \) is negative.
Example
Given \( f(x) = x – 2 \), sketch \( y = \frac{1}{f(x)} \).
▶️ Answer/Explanation
- Since \( f(x) = 0 \) at \( x = 2 \), the graph of \( y = \frac{1}{f(x)} \) has a vertical asymptote at \( x = 2 \).
- For \( x > 2 \): \( f(x) > 0 \Rightarrow y = \frac{1}{f(x)} > 0 \).
- For \( x < 2 \): \( f(x) < 0 \Rightarrow y = \frac{1}{f(x)} < 0 \).
- As \( x \to \infty \), \( y \to 0^+ \). As \( x \to -\infty \), \( y \to 0^- \).
Graph both \( y = x – 2 \) and \( y = \frac{1}{x – 2} \) on Desmos or GDC to visualize their relationship.

The Graph of \( y = f(ax + b) \)
The Graph of \( y = f(ax + b) \)
- The parameter \( a \) causes a horizontal stretch (if \( |a| < 1 \)) or compression (if \( |a| > 1 \)).
- The parameter \( b \) shifts the graph horizontally by \( -\frac{b}{a} \).
- If \( a < 0 \), there is also a reflection in the y-axis.
Example
Given \( f(x) = x^2 \), sketch \( y = f(2x – 4) \).
▶️ Answer/Explanation
- The factor \( a = 2 \) causes a horizontal compression by factor \( \frac{1}{2} \).
- The term \( -4 \) causes a horizontal shift to the right by \( \frac{4}{2} = 2 \).
- The graph is a narrower parabola shifted right by 2 units.
Graph both \( y = x^2 \) and \( y = (2x – 4)^2 \) on Desmos or your GDC to compare.

The Graph of \( y = [f(x)]^2 \)
The Graph of \( y = [f(x)]^2 \)
- The graph of \( y = [f(x)]^2 \) is always non-negative: \( y \ge 0 \).
- Where \( f(x) = 0 \), the graph of \( y = [f(x)]^2 \) also equals 0 (same x-intercepts as \( f(x) \)).
- Where \( f(x) \) is positive or negative, the output is positive (the graph lies above or on the x-axis).
- The shape becomes “flatter” at the x-axis near intercepts, and “steeper” where \( f(x) \) is large in magnitude.
Example
Given \( f(x) = x – 1 \), sketch \( y = [f(x)]^2 = (x – 1)^2 \).
▶️ Answer/Explanation
- The graph is \( y = (x – 1)^2 \), a parabola with vertex at \( (1, 0) \).
- It touches the x-axis at \( x = 1 \) (where \( f(x) = 0 \)).
- The entire graph lies above or on the x-axis, since squaring produces non-negative values.
Graph both \( y = x – 1 \) and \( y = (x – 1)^2 \) on Desmos or your GDC to see how squaring transforms the line into a parabola.

Solving Modulus Equations and Inequalities
Solving Modulus Equations and Inequalities
Modulus (or absolute value) equations and inequalities involve expressions like \( |f(x)| \). These represent the distance of \( f(x) \) from zero, and are always non-negative.
General approach for solving \( |f(x)| > a \):
- If \( a > 0 \): Solve both
- \( f(x) > a \)
- \( f(x) < -a \)
- If \( a = 0 \): Solve
- \( f(x) \ne 0 \)
- If \( a < 0 \): The inequality is always true (because modulus is non-negative).
General approach for solving \( |f(x)| < a \):
- If \( a > 0 \): Solve
- \( -a < f(x) < a \)
- If \( a \le 0 \): No solution (modulus is always ≥ 0).
Steps when solving modulus equations or inequalities:
- Set up the two cases (positive and negative) as required by the inequality or equation.
- Solve each case algebraically or graphically.
- Consider the domain of \( f(x) \), especially for functions like \( \arccos(x) \), \( \ln(x) \), etc.
- Write the combined solution set.
- If needed, verify solutions using graphing technology (GDC, Desmos, GeoGebra).
Example
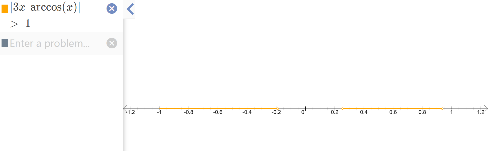
Solve the inequality:
\( |3x \arccos(x)| > 1 \)
▶️ Answer/Explanation
The inequality means:
\( 3x \arccos(x) > 1 \) or \( 3x \arccos(x) < -1 \).
Since \( \arccos(x) \) is only defined for \( -1 \le x \le 1 \), restrict domain:
\( -1 \le x \le 1 \).
Graphically or with technology (Desmos / GDC), solve:
\( 3x \arccos(x) = 1 \)
\( 3x \arccos(x) = -1 \)
(Use GDC or software: e.g., solutions near \( x \approx 0.253 \) and \( x \approx -0.189\))
Write the solution set:
\( x \in (-1, -0.189) \cup (0.253, 1) \)
Use the graph of \( y = 3x \arccos(x) \) and \( y = 1 \), \( y = -1 \) to visualize intersections and solution regions.

