IBDP Chemistry -Structure 1.4 Counting particles by mass: The mole - IB Style Questions For SL Paper 2 -FA 2025
Question

Most-appropriate topic codes (Chemistry):
• TOPIC S1.5: Ideal gases — part (c)
• TOPIC R1.1: Rate of reaction — part (d)
▶️ Answer/Explanation
(a)
\[ \text{CaCO}_3(s) + 2\text{HCl}(aq) \rightarrow \text{CaCl}_2(aq) + \text{CO}_2(g) + \text{H}_2\text{O}(l) \]
(b)
• \(n(\text{HCl}) = 4.00 \times 0.020 = 0.0800 \text{ mol}\)
• \(n(\text{CaCO}_3) = \frac{3.162}{100.09} = 0.0316 \text{ mol}\)
• Stoichiometric ratio is \(1:2\). The amount of \(\text{HCl}\) required for \(0.0316 \text{ mol}\) of \(\text{CaCO}_3\) is \(0.0632 \text{ mol}\).
• Since \(0.0800 > 0.0632\), \(\text{HCl}\) is in excess and \(\text{CaCO}_3\) is the limiting reactant.
(c)
\(n(\text{CO}_2) = n(\text{CaCO}_3) = 0.0316 \text{ mol}\)
\(V = n \times 22.7 \text{ dm}^3 \text{ mol}^{-1} = 0.0316 \times 22.7 = \mathbf{0.717 \text{ dm}^3}\).
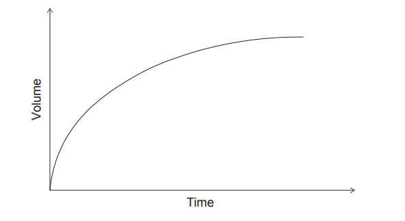
(d) 
The curve should begin at the origin, show a steeper initial gradient (indicating a faster rate), and level off at the same final volume since the amount of limiting reactant is unchanged.
