Functional groups: S3.2.1 Representation of organic compounds IB DP Chemistry Study Notes - New Syllabus 2026, 2027 & 2028
Functional groups: Classification of organic compounds – IB DP Chemistry- Study Notes
IITian Academy excellent Introduction to the Particulate Nature of Matter – Study Notes and effective strategies will help you prepare for your IB DP Chemistry 2025 exam.
- IB DP Chemistry 2026, 2027 & 2028 SL- IB Style Practice Questions with Answer-Topic Wise-Paper 1
- IB DP Chemistry 2026, 2027 & 2028 SL- IB Style Practice Questions with Answer-Topic Wise-Paper 2
- IB DP Chemistry 2026, 2027 & 2028 HL- IB Style Practice Questions with Answer-Topic Wise-Paper 1
- IB DP Chemistry 2026, 2027 & 2028 HL- IB Style Practice Questions with Answer-Topic Wise-Paper 2
Structure 3.2.1 – Representation of Organic Compounds
Structure 3.2.1 – Representation of Organic Compounds
Organic compounds can be represented in various ways depending on the required level of detail and purpose. The following types of representations are used in IBDP Chemistry:
1. Empirical Formula
The empirical formula shows the simplest whole-number ratio of atoms in a compound. It provides no information about the actual number of atoms or the structure of the molecule.
Example: For glucose, the empirical formula is \( \text{CH}_2\text{O} \), even though the actual molecule contains more atoms.
Example
A compound contains 40.00% carbon, 6.71% hydrogen, and 53.29% oxygen by mass. Determine the empirical formula of the compound.
▶️Answer/Explanation
Assume 100 g of the compound:
So the masses are:
- Carbon: 40.00 g
- Hydrogen: 6.71 g
- Oxygen: 53.29 g
Convert mass to moles:
\( \frac{40.00}{12.01} = 3.33 \) mol C
\( \frac{6.71}{1.008} = 6.66 \) mol H
\( \frac{53.29}{16.00} = 3.33 \) mol O
Divide by the smallest number of moles:
C: \( \frac{3.33}{3.33} = 1 \)
H: \( \frac{6.66}{3.33} = 2 \)
O: \( \frac{3.33}{3.33} = 1 \)
Empirical formula: \( \text{CH}_2\text{O} \)
2. Molecular Formula
The molecular formula provides the exact number of atoms of each element in a molecule.

Example: Glucose has a molecular formula of \( \text{C}_6\text{H}_{12}\text{O}_6 \).
Note: Several different compounds can have the same molecular formula but different structures (called isomers).
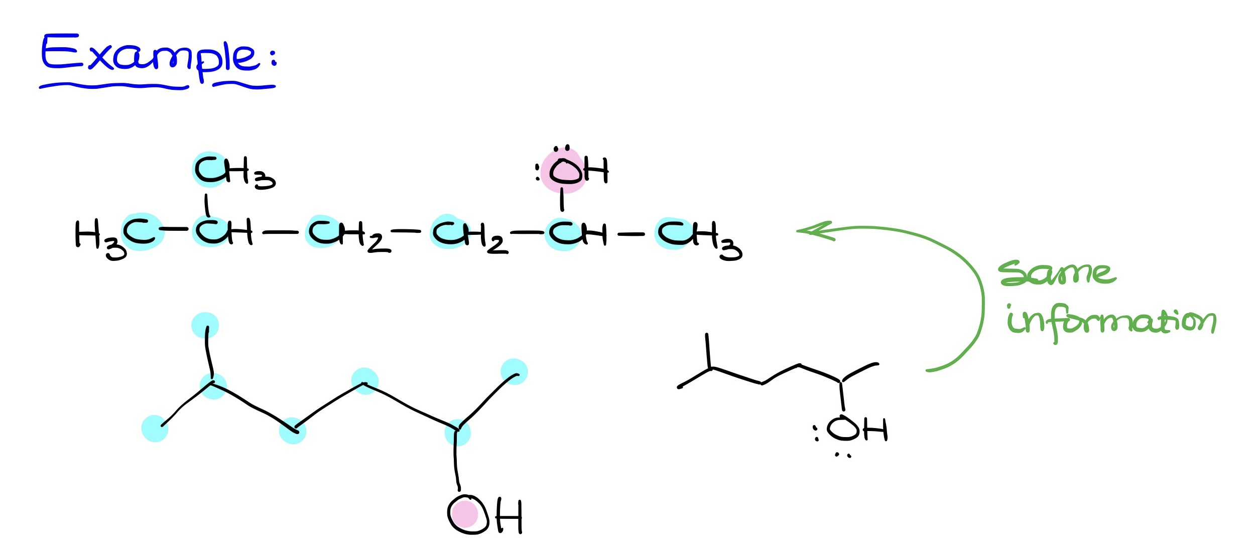
3. Structural Formula

The structural formula displays how atoms are connected in a molecule. It can be drawn in two common ways:
• Full Structural Formula: Shows every atom and bond explicitly.
Example: Ethanol: or using chemical notation: $CH_3–CH_2–OH$
• Condensed Structural Formula:Groups atoms together, omitting most bonds.
Example: Ethanol: $CH_3CH_2OH$
4. Stereochemical Formula
The stereochemical formula provides information about the 3D spatial arrangement of atoms in molecules, especially for chiral centers.

Key Notations:
Wedges (▲): bond projecting out of the plane (towards viewer)
Dashes (▭): bond going behind the plane (away from viewer)
Example: Lactic acid (2-hydroxypropanoic acid):
If the OH group is on a wedge, it’s projecting forward from the plane.
5. Skeletal Formula
The skeletal formula (also known as line-angle formula) is a highly simplified version used for complex organic compounds. It omits hydrogen atoms attached to carbons and often omits carbon atoms themselves.

Rules:
- Carbon atoms are implied at the ends and bends of lines.
- Hydrogens bonded to carbons are not shown.
- Other atoms like O, N, Cl are shown explicitly.
Example: Butanoic acid skeletal formula appears as a zigzag line with a terminal COOH group.
Importance of Different Representations
Each type of formula serves a distinct purpose:
- Empirical: Best for comparing proportions of elements.
- Molecular: Useful for determining molar mass and composition.
- Structural: Shows actual arrangement of atoms and bonding.
- Stereochemical: Critical for understanding reactivity and isomerism.
- Skeletal: Quick and efficient representation, especially for large molecules.
Example
Given the molecular formula \( \text{C}_4\text{H}_{10} \), convert it into:
- Condensed Structural Formula
- Skeletal Formula
▶️Answer/Explanation
\( \text{C}_4\text{H}_{10} \) represents an alkane with 4 carbon atoms and 10 hydrogen atoms. It has two structural isomers:
n-butane
- Condensed Structural Formula: \( \text{CH}_3\text{CH}_2\text{CH}_2\text{CH}_3 \)
- Skeletal Formula: A zigzag line with 3 segments (4 carbon atoms)
Isobutane (methylpropane)
- Condensed Structural Formula: \( (\text{CH}_3)_3\text{CH} \)
- Skeletal Formula: A central carbon with three methyl branches (a “T” shape)

Key Notes:
- Hydrogens attached to carbon are not shown in skeletal formulas.
- Each vertex and end of a line represents a carbon atom.

