Functional groups: S3.2.6 Structural isomers IB DP Chemistry Study Notes - New Syllabus 20252026, 2027 & 2028
Functional groups: Classification of organic compounds – IB DP Chemistry- Study Notes
IITian Academy excellent Introduction to the Particulate Nature of Matter – Study Notes and effective strategies will help you prepare for your IB DP Chemistry 2025 exam.
- IB DP Chemistry 2026, 2027 & 2028 SL- IB Style Practice Questions with Answer-Topic Wise-Paper 1
- IB DP Chemistry 2026, 2027 & 2028 SL- IB Style Practice Questions with Answer-Topic Wise-Paper 2
- IB DP Chemistry 2026, 2027 & 2028 HL- IB Style Practice Questions with Answer-Topic Wise-Paper 1
- IB DP Chemistry 2026, 2027 & 2028 HL- IB Style Practice Questions with Answer-Topic Wise-Paper 2
Structure 3.2.6 – Structural Isomers
Structure 3.2.6 – Structural Isomers

Structural isomers are compounds that have the same molecular formula but different structural formulas. This means they contain the same number and type of atoms, but the atoms are connected in different ways, resulting in different compounds.
Although structural isomers share the same molecular formula, they often have different physical and chemical properties due to the different arrangements of their atoms.
Example
Give two structural isomers of molecular formula \( \text{C}_4\text{H}_{10} \).
▶️Answer/Explanation
- Butane: \( \text{CH}_3\text{CH}_2\text{CH}_2\text{CH}_3 \)
- 2-methylpropane: \( \text{CH}_3\text{CH}(\text{CH}_3)\text{CH}_3 \)
- Both have the formula \( \text{C}_4\text{H}_{10} \) but different structures → structural isomers

Recognizing Structural Isomers
Isomers are compounds that have the same molecular formula but different structures. For organic compounds, structural isomers differ in the arrangement of atoms and bonding patterns within the molecule.
You should be able to recognize three common forms of structural isomerism:
- Straight-chain isomers: All carbon atoms are arranged in a continuous (linear) chain.
- Branched-chain isomers: The main carbon chain has one or more carbon atoms as side branches.

- Position isomers: The functional group or substituent is attached at different positions on the same carbon skeleton.

These isomers can have different physical and chemical properties despite having the same molecular formula.
Example
Identify two isomers of \( \text{C}_4\text{H}_{10} \): one straight-chain and one branched.
▶️Answer/Explanation
- Straight-chain: Butane – \( \text{CH}_3\text{CH}_2\text{CH}_2\text{CH}_3 \)
- Branched-chain: 2-methylpropane – \( \text{CH}_3\text{CH}(\text{CH}_3)\text{CH}_3 \)
- Both have molecular formula \( \text{C}_4\text{H}_{10} \), but different structures.

Example
Give two isomers of molecular formula \( \text{C}_3\text{H}_7\text{Cl} \) showing different positions of the halogen.
▶️Answer/Explanation
- 1-chloropropane: \( \text{CH}_3\text{CH}_2\text{CH}_2\text{Cl} \)
- 2-chloropropane: \( \text{CH}_3\text{CH(Cl)}\text{CH}_3 \)
- Same molecular formula, different positions of Cl atom → position isomerism

Recognizing Functional Group Isomers
Functional group isomers are compounds that have the same molecular formula but contain different functional groups. This leads to differences in both physical and chemical properties.
Functional group isomerism occurs when atoms are rearranged to create a different functional group using the same atoms.
Examples of Functional Group Isomers
- \( \text{C}_2\text{H}_6\text{O} \): Can be either an alcohol or an ether
- \( \text{CH}_3\text{CH}_2\text{OH} \) – ethanol (alcohol)
- \( \text{CH}_3\text{OCH}_3 \) – methoxymethane (ether)

Example
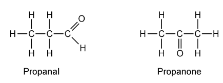
Identify the functional group isomers of \( \text{C}_3\text{H}_6\text{O} \).
▶️Answer/Explanation
- Propanal – Aldehyde: \( \text{CH}_3\text{CH}_2\text{CHO} \)
- Propanone – Ketone: \( \text{CH}_3\text{COCH}_3 \)
- Same molecular formula, different functional groups.

Primary, Secondary and Tertiary Compounds
The classification of alcohols, halogenoalkanes, and amines into primary, secondary, or tertiary depends on how many carbon atoms are directly bonded to the functional group-bearing carbon or nitrogen.
Alcohols
- Primary (1°): –OH group is attached to a carbon bonded to only one other carbon
- Secondary (2°): –OH group is on a carbon bonded to two other carbons
- Tertiary (3°): –OH group is on a carbon bonded to three other carbons

Example
Give IUPAC Name of the all three Compounds.

▶️Answer/Explanation
- Primary: \( \text{CH}_3\text{CH}_2\text{OH} \) – ethanol
- Secondary: \( \text{CH}_3\text{CHOHCH}_3 \) – propan-2-ol
- Tertiary: \( \text{CH}_3\text{C(OH)(CH}_3)\text{CH}_3 \) – 2-methylpropan-2-ol
Halogenoalkanes
- Primary (1°): Halogen is bonded to a carbon attached to only one other carbon
- Secondary (2°): Halogen is bonded to a carbon attached to two other carbons
- Tertiary (3°): Halogen is bonded to a carbon attached to three other carbons

Example
Give IUPAC Name of the all three Compounds.

▶️Answer/Explanation
- Primary: \( \text{CH}_3\text{CH}_2\text{CH}_2\text{CH}_2\text{Br} \) – 1-bromobutane
- Secondary: \( \text{CH}_3 \text{CH}_2\text{CH(Br)CH}_3 \) – 2-bromobutane
- Tertiary: \( \text{C(Br)(CH}_3)_3 \) – 2-bromo-2-methylpropane

Amines
- Primary (1°): One alkyl group attached to nitrogen
- Secondary (2°): Two alkyl groups attached to nitrogen
- Tertiary (3°): Three alkyl groups attached to nitrogen

Example
Give IUPAC Name of the Primary, Secondary and Tertiary Compounds.

▶️Answer/Explanation
- Primary: \( \text{CH}_3\text{NH}_2 \) – methylamine
- Secondary: \( \text{CH}_3\text{NHCH}_3 \) – dimethylamine
- Tertiary: \( (\text{CH}_3)_3\text{N} \) – trimethylamine






