CIE iGCSE Chemistry Paper 3 Prediction - 2025
CIE iGCSE Chemistry Paper 3 Prediction – 2025
Preparing for your IGCSE exam can be daunting, but with the right approach, you can achieve your goals with CIE iGCSE Chemistry Paper 3 Prediction
Ace your iGCSE exam! Find exam-style questions, detailed notes, and helpful resources to boost your understanding
iGCSE Practice Questions, Past Papers , Flashcards and notes available for iGCSE Students at IITian Academy.
Question 1
The diagrams show part of the structures of five substances, $\mathbf{A}, \mathbf{B}, \mathbf{C}, \mathbf{D}$ and $\mathbf{E}$.

(a) Answer the following questions about these structures.
Each structure may be used once, more than once or not at al

l.
(i) Which two of these structures, $\mathbf{A}, \mathbf{B}, \mathbf{C}, \mathbf{D}$ or $\mathbf{E}$, are covalently bonded? [2]
(ii) Which one of these structures, $\mathbf{A}, \mathbf{B}, \mathbf{C}, \mathbf{D}$ or $\mathbf{E}$, is a diatomic molecule? [1]
(iii) Which one of these structures, $\mathbf{A}, \mathbf{B}, \mathbf{C}, \mathbf{D}$ or $\mathbf{E}$, is a compound? [1]
(iv) Which one of these structures, $\mathbf{A}, \mathbf{B}, \mathbf{C}, \mathbf{D}$ or $\mathbf{E}$, is very soluble in water? [1]
(v) Which one of these structures, $\mathbf{A}, \mathbf{B}, \mathbf{C}, \mathbf{D}$ or $\mathbf{E}$, is used in cutting tools? [1]
(vi) Which one of these structures, $\mathbf{A}, \mathbf{B}, \mathbf{C}, \mathbf{D}$ or $\mathbf{E}$, is used in electrical wiring? [1]
(b) Substance $\mathbf{B}$ is an element.
What is meant by the term element? [1] [Total: 8]
▶️Answer/Explanation
Ans:
(a)(i) B / diamond (1)
D / nitrogen / N2 (1)
(a)(ii) D / nitrogen / N2
(a)(iii) C / lithium chloride / LiCl
(a)(iv) C / lithium chloride / LiCl
(a)(v) B / diamond
(a)(vi) E / copper / Cu
(b) substance in which all the atoms have the same proton number / substance containing (only) one type of atom
Question 2
This question is about copper and copper compounds.
(a) Describe how you could prepare a pure sample of crystals of hydrated copper(II) sulfate using dilute sulfuric acid and an excess of copper(II) oxide.[3]
(b) Anhydrous copper(II) sulfate is used to test for water.
(b) Anhydrous copper(II) sulfate is used to test for water.
$
\begin{aligned}
& \mathrm{CuSO}_4+5 \mathrm{H}_2 \mathrm{O} \rightleftharpoons \mathrm{CuSO}_4 \cdot 5 \mathrm{H}_2 \mathrm{O} \\
& \text { anhydrous hydrated } \\
& \text { copper(II) sulfate copper(II) sulfate } \\
&
\end{aligned}
$
(i) What is meant by the symbol $\rightleftharpoons$ ?[1]
(ii) How can hydrated copper(II) sulfate be changed into anhydrous copper(II) sulfate?[1]
(c) Complete the table to calculate the relative formula mass of anhydrous copper(II) sulfate, $\mathrm{CuSO}_4$. Use your Periodic Table to help you.

relative formula mass = …………………………. [2]
(d) Complete the table to show the number of electrons, protons and neutrons in the sulfur atom and copper ion shown.

(e) Alloys of copper are used to make coins.
(i) What is meant by the term alloy?[1]
(ii) Suggest why an alloy of copper is used to make coins instead of using pure copper.[1] [Total: 13]
▶️Answer/Explanation
Ans:
a) any three from:
• heat copper oxide with sulfuric acid
• filter off (excess) copper oxide
• heat filtrate to point of crystallisation / heat (copper sulfate) solution to point of crystallisation
• dry between filter papers / dry in drying oven
(b)(i) reversible reaction 1
(b)(ii) heat / warm 1
(c) 160 (2 marks)
if 2 marks not scored 1 mark for S = (1 × 32) = 32 OR O (= 4 × 16) = 64
(d) electrons in S = 16 (1)
electrons in Cu 2+ = 27 (1)
neutrons in S = 18 AND neutrons in Cu 2+ = 34 (1)
protons in S = 16 (1)
(e)(i) mixture of metal and other elements 1
(e)(ii) (alloy) more resistant to wear / stronger / harder / more resistant to corrosion ORA for copper
Question 3
This question is about iodine and compounds of iodine.
(a) Use the kinetic particle model to describe the separation between the molecules and the type of motion of the molecules in:
- solid iodine
- iodine gas. [4]
(b) The graph shows how the volume of iodine gas changes with pressure. The temperature is kept constant.

Describe how the volume of iodine gas changes with pressure.[1]
(c) (i) Complete the word equation to show the halogen and halide compound which react to form the products iodine and potassium bromide.

(ii) Explain, in terms of the reactivity of the halogens, why aqueous iodine does not react with aqueous potassium chloride
(d) lodine reacts with aqueous sodium thiosulfate, $\mathrm{Na}_2 \mathrm{~S}_2 \mathrm{O}_3$.
(i) Balance the chemical equation for this reaction.
$
\mathrm{Na}_2 \mathrm{~S}_2 \mathrm{O}_3+\mathrm{I}_2 \rightarrow \mathrm{Na}_2 \mathrm{~S}_4 \mathrm{O}_6+\ldots . . \mathrm{NaI}
$
(ii) The energy level diagram for this reaction is shown.

Explain how this diagram shows that the reaction is exothermic [1]
(e) Describe a test for iodide ions.
test
observations[2]
(f) Molten sodium iodide is electrolysed.
Predict the product at the positive electrode.[1][Total: 14]
▶️Answer/Explanation
Ans:
(a) solid:
particles touching / particles close together (1)
particles (only) vibrating / not moving from place to place (1)
gas:
particles far apart (1)
particles moving fast / particles moving randomly / particles moving in any direction (1)
4(b) increasing the pressure decreases the volume / decreasing the pressure increases the volume / the higher the volume, the lower
the pressure
4(c)(i) bromine (1)
potassium iodide (1)
Question 4
The structure of myrcene is shown.

(a) Deduce the formula of myrcene to show the number of atoms of carbon and hydrogen. ……………………………………………………………………………………………………………………………. [1]
(b) Myrcene is found in some plants.
The coloured compounds in plant leaves can be separated by chromatography.
Complete the diagram by putting the correct labels in the boxes.

(c) Myrcene is an unsaturated hydrocarbon.
Describe a chemical test to distinguish between a saturated and an unsaturated hydrocarbon.
test ……………………………………………………………………………………………………………………………
observations with saturated hydrocarbon ……………………………………………………………………….
………………………………………………………………………………………………………………………………….
observations with unsaturated hydrocarbon…………………[3]
(d) Butane is a saturated hydrocarbon.
To which homologous series does butane belong?
Draw a circle around the correct answer.
alcohol alkane alkene carboxylic acid [1]
(e) Large hydrocarbons can be cracked to form smaller hydrocarbons.
Complete the chemical equation for cracking tridecane, $\mathrm{C}_{13} \mathrm{H}_{28}$, to form an alkene and one other hydrocarbon.
$
\mathrm{C}_{13} \mathrm{H}_{28} \rightarrow \mathrm{C}_3 \mathrm{H}_6+\ldots \ldots \ldots \ldots
$
(f) Ethene is an alkene.
Draw the structure of ethene showing all of the atoms and all of the bonds. [1]
(g) Complete the sentences about the separation of hydrocarbons from petroleum using words from the list.
bitumen combustion condense crystallisation distillation
evaporate gasoline kerosene melt
Hydrocarbons are separated in a fractionating column by fractional ……………………… .
Hydrocarbons with lower boiling points move further up the column. When the temperature
in the column falls below the boiling points of the hydrocarbons they ……………………… . The
fraction at the bottom of the column which is used for making roads is called ……………………… . [3] [Total: 12]
▶️Answer/Explanation
Ans:
(a) $\mathrm{C}_{10} \mathrm{H}_{16}$
(b) top box: chromatography paper / filter paper
bottom box: solvent / named solvent e.g. alcohol
(c) bromine / bromine water / aqueous bromine
with saturated hydrocarbon: no colour change / stays orange
with unsaturated hydrocarbon: decolourised / (goes) colourless
(d) alkane
(e) $\mathrm{C}_{10} \mathrm{H}_{22}$
(f)

g) distillation
condense
bitumen
Question 5
(a) Sulfur dioxide is a pollutant in the air.
(i) State one source of sulfur dioxide in the air………………………………………………………………………………………………………………………. [1]
(ii) Sulfur dioxide is oxidised to sulfur trioxide in the air.
Oxides of nitrogen act as catalysts for this reaction.
What is meant by the term catalyst?…………………………………………… [1]
(iii) Sulfur trioxide dissolves in rainwater to form acid rain.
Which one of the following pH values could be the pH of acid rain?
Draw a circle around the correct answer.[1]
pH 4 pH 7 pH 9 pH 13
(iv) State one adverse effect of acid rain on buildings.
……………………………………………………………………………………………………………………… [1]
(b) Sulfur dioxide melts at –73 °C and boils at –10 °C.
What is the physical state of sulfur dioxide at –20 °C?
Explain your answer…………………………………………………………………………………………………………………………….. [2]
(c) Excess sulfuric acid reacts with ammonia to make a salt which can be used as a fertiliser.
State the name of the salt formed when excess sulfuric acid reacts with ammonia…………………………………………………………………………………………………………………………….. [1]
(d) The table shows some observations about the reactivity of four metals with dilute sulfuric acid.

Use the information in the table to put the four metals in order of their reactivity. Put the least reactive metal first.

▶️Answer/Explanation
Ans:
(a)(i) burning fossil fuels / volcanoes / heating (sulfide) ores
(a)(ii) substance which speeds up a reaction / substance which increases the rate of reaction
(a)(iii) pH4
(a)(iv) erodes buildings (made of carbonate rocks) / wears away buildings (made of carbonate rocks) / reacts with mortar / corrodes iron
work / corrodes metal
(b) liquid (1)
–20 °C is between the melting and boiling point / –20 °C is above melting point but lower than boiling point (1)
(c) ammonium sulfate
(d) tungsten < nickel < iron < magnesium (2)
if 2 marks not scored 1 mark for one consecutive pair reversed
Question 6
A student investigates the rate of reaction of small pieces of calcium carbonate with an excess of hydrochloric acid of concentration $1 \mathrm{~mol} / \mathrm{dm}^3$.
$
\mathrm{CaCO}_3(\mathrm{~s})+2 \mathrm{HCl}(\mathrm{aq}) \rightarrow \mathrm{CaCl}_2(\mathrm{aq})+\mathrm{CO}_2(\mathrm{~g})+\mathrm{H}_2 \mathrm{O}(\mathrm{l})
$
(a) Name the salt formed when calcium carbonate reacts with hydrochloric acid.
[1]
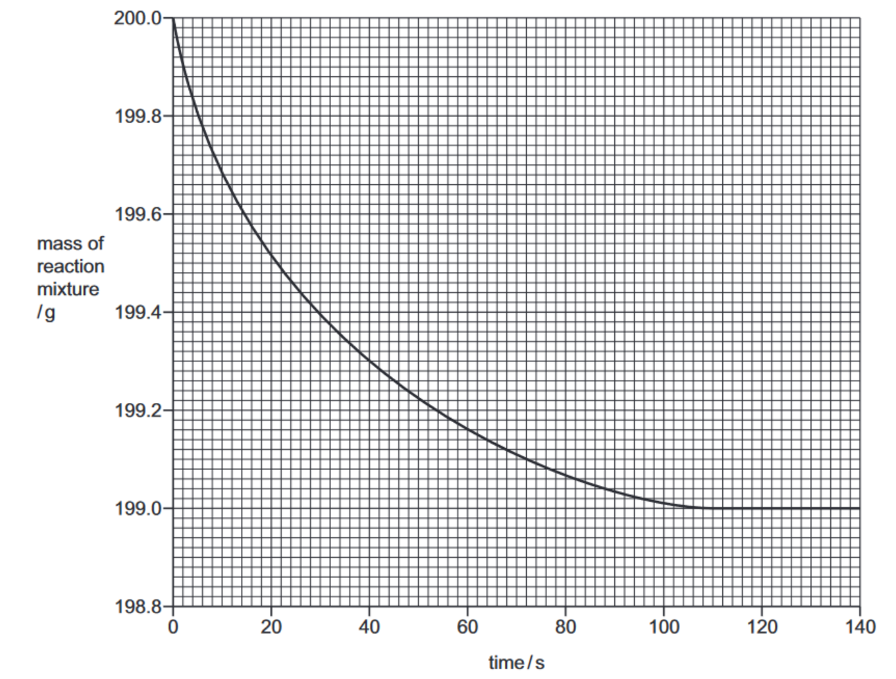
(b) The graph shows how the mass of the reaction mixture changes with time.

(i) State why the reaction mixture decreases in mass.[1]
(ii) Calculate the loss in mass during the first 40 seconds of the experiment.$g[1]$
(iii) The experiment is repeated using hydrochloric acid of concentration $2 \mathrm{~mol} / \mathrm{dm}^3$. All other conditions are kept the same.
Draw a line on the grid for the experiment using hydrochloric acid of concentration $2 \mathrm{~mol} / \mathrm{dm}^3$.
(iv) In the experiment, when $2.00 \mathrm{~g}$ of calcium carbonate is used, the loss in mass of the reaction mixture is $0.88 \mathrm{~g}$.
All other conditions are kept the same.
Calculate the loss in mass when $0.50 \mathrm{~g}$ of calcium carbonate is used.
loss in mass = ………………………… g [1]
(v) The experiment is repeated using the same mass of different sized pieces of calcium carbonate.
All other conditions are kept the same.
The sizes of the pieces of calcium carbonate are:
- powder
- small pieces
- large pieces.
Complete the table by writing the sizes of the pieces of calcium carbonate in the first column.

▶️Answer/Explanation
Ans
(a) calcium chloride
(b)(i) gas released / gas escapes / gas lost
(b)(ii) 0.7 (g) 1
(b)(iii) line steeper than original and starting from 0 and 200.0 g (1)
line ends up at same final mass AND levels off at or before 104 s (1)
(b)(iv) 0.22 (g) 1
(b)(v) large pieces → 0.005
small pieces → 0.030
powder → 0.100
Question 7
Acids have characteristic properties.
(a) Hydrochloric acid reacts with magnesium.
Name the products of this reaction and give the observations…………………………………………………………………………………………………………………………….. [4]
(b) The rate of reaction of iron(II) carbonate with hydrochloric acid can be determined by measuring the time taken to produce $20 \mathrm{~cm}^3$ of carbon dioxide.
A student measured the time taken to produce $20 \mathrm{~cm}^3$ of carbon dioxide at three different temperatures.
In each experiment the student used:
- $1 \mathrm{~g}$ of large pieces of iron(II) carbonate
- dilute hydrochloric acid of the same concentration and volume.
The results are shown in the table.

(i) Use the information in the table to describe how the rate of reaction changes with temperature. [1]
(ii) Describe the effect of each of the following on the rate of this reaction at constant
temperature.
● Smaller pieces of iron(II) carbonate are used.
All other conditions stay the same.
……………………………………………………………………………………………………………………………
● The concentration of hydrochloric acid is decreased.
All other conditions stay the same.
……………………………………………………………………………………………………………………………
[2]
(c) The reaction of iron(II) carbonate with hydrochloric acid is exothermic.
What is meant by the term exothermic?……………………………………………………………………………………………………………………………. [1]
(d) Rust contains compounds of iron.
State two conditions needed for iron to rust…………………………………………………………………………………………………………………………….. [2]
(e) Iron and magnesium are both used in alloys.
Which one of these diagrams, A, B, C or D, best represents an alloy?
[1] [Total: 11]
▶️Answer/Explanation
Ans:
(a) forms magnesium chloride (1)
forms hydrogen (1)
one mark each for any two of:
• reaction is exothermic / (reaction mixture) gets warm
• bubbles / effervesces / fizzes
• magnesium disappears (or gets smaller)
(b)(i) increase in temperature increases rate 1
(b)(ii) (smaller pieces of carbonate) increases the rate
(decreasing concentration) decreases the rate
(c) (reaction) gives out heat / reaction mixture gets warmer 1
(d) water
oxygen / air
6(e) D
Question 8
Coal gas is made by heating coal in the absence of air. The list shows the main gases present in coal gas.
carbon dioxide
carbon monoxide
ethene
hydrogen
methane
nitrogen
(a) (i) Which one of these gases is an alkane?……………………………………………………………………………………………………………………… [1]
(ii) Draw the structure of a molecule of ethene. Show all of the atoms and all of the bonds.[1]
(iii) Describe how aqueous bromine can be used to tell the difference between methane andethene.……………………………………………………………………………………………………………………… [2]
(b) Ethene molecules react with each other to form poly(ethene).
(i) What is the name given to this type of chemical reaction?……………………………………………………………………………………………………………………… [1]
(ii) Which one of the following words describes the ethene molecules in this reaction?
Draw a circle around the correct answer.
elements mixtures monomers polymers[1]
(iii) Poly(ethene) is a non-biodegradable plastic.
What is meant by the term non-biodegradable?……………………………………………………………………………………………………………………… [1]
(iv) Describe one pollution problem caused by non-biodegradable plastics.……………………………………………………………………………………………………………………… [1]
(c) Ethanol can be made from ethene and one other reactant.
● Name the other reactant.………………………………………………………………………………………………………………………………….
● State the conditions needed to make ethanol from ethene.………………………………………………………………………………………………………………………………….………………………………………………………………………………………………………………………………….[3][Total: 11]
▶️Answer/Explanation
Ans:
(a)(i) methane
(a)(ii)

(a)(iii) with methane (aqueous) bromine remains orange (1)
with ethene (aqueous) bromine decolourised (1)
(b)(i) polymerisation / addition
(b)(ii) monomers
(b)(iii) cannot be decomposed by organisms / cannot be broken down by bacteria / cannot be broken down by fungi
(b)(iv) gets stuck in gullets of birds / gets stuck in gullets of animals / blocks drains
(c) steam (1)
high temperature (1)
catalyst (1)
