Polymers- CIE iGCSE Chemistry Notes - New Syllabus
Polymers for iGCSE Chemistry Notes
Core Syllabus
- Define polymers as large molecules built up from many smaller molecules called monomers
- Describe the formation of poly(ethene) as an example of addition polymerisation using ethene monomers
- State that plastics are made from polymers
- Describe how the properties of plastics have implications for their disposal
- Describe the environmental challenges caused by plastics, limited to:
(a) disposal in landfill sites
(b) accumulation in oceans
(c) formation of toxic gases from burning
Supplement Syllabus
- Identify the repeat units and / or linkages in addition polymers and in condensation polymers
- Deduce the structure or repeat unit of an addition polymer from a given alkene and vice versa
- Deduce the structure or repeat unit of a condensation polymer from given monomers and vice versa, limited to:
(a) polyamides from a dicarboxylic acid and a diamine
(b) polyesters from a dicarboxylic acid and a diol - Describe the differences between addition and condensation polymerisation
- Describe and draw the structure of:
(a) nylon, a polyamide
(b) PET, a polyester - State that PET can be converted back into monomers and re-polymerised
- Describe proteins as natural polyamides and that they are formed from amino acid monomers with the general structure: H2N–CHR–COOH where R represents different types of side-chain
- Describe and draw the structure of proteins as repeating units
Polymers
Polymers
- Polymers are very large molecules (often called macromolecules) that are made up of many repeating smaller units called monomers. These monomers join together in a long chain through chemical reactions.
- When we look at a polymer chain, we can identify the smallest repeating section and show it inside brackets with a subscript “n” to represent the large number of repeats.
- Polymers are macromolecules with high relative molecular masses.
- Monomers are small, simple molecules that can chemically bond together in large numbers.
- The process of linking monomers together to form a polymer is called polymerisation.
- Polymers can be natural (like proteins, starch, cellulose) or synthetic (like poly(ethene), nylon, PET).
- Because of their long-chain structure, polymers usually have unique properties such as strength, flexibility, durability, and resistance to chemicals.
Examples:
Ethene (\( \text{CH}_2= \text{CH}_2 \)) is a monomer that can join together repeatedly to form poly(ethene), a common plastic.
Amino acids are monomers that can join to form proteins, which are natural polymers.
Example
What are monomers and how do they relate to polymers?
▶️Answer/Explanation
Monomers are small molecules that can chemically bond to each other to form long chains called polymers.
For instance, many ethene molecules (\( \text{CH}_2= \text{CH}_2 \)) join together to form the polymer poly(ethene), which is used in plastic bags and bottles.
Addition polymerisation
Addition polymerisation
- Addition polymerisation is a process where many small alkene molecules (monomers) join together to form a long-chain molecule (polymer).

- The reaction involves breaking the carbon-carbon double bond (C=C) of each alkene so that the monomers can link together.
Repeat units in addition polymers
- In addition polymers, the repeat unit comes from an alkene monomer.
- The double bond (C=C) in the alkene breaks and becomes a single bond, joining the carbon atoms into a chain.
Example: In poly(ethene), the repeat unit is (-CH2-CH2-). This comes from the monomer ethene (\( \text{CH}_2 = \text{CH}_2 \)).
Example
Identify the type of linkage present in (a) poly(ethene), (b) nylon.
▶️Answer/Explanation
(a) Poly(ethene) is an addition polymer. Its repeat unit is (-CH2-CH2-), so the linkage is a carbon-carbon single bond.
(b) Nylon is a condensation polymer formed from a diamine and a dicarboxylic acid. Its repeat units are joined by an amide linkage (-CONH-).
Structure of an addition polymer from a given alkene and vice versa
In addition polymerisation, the structure of the polymer can be worked out directly from the structure of the alkene monomer:
From monomer to polymer:
- Take the displayed formula of the alkene (monomer).
- Break open the double bond (C=C).
- Link the carbon atoms to form a continuous chain.
- Place the repeat unit inside brackets with a subscript “n” to show repetition.
Example: From alkene to polymer
Monomer: ethene (\( \text{CH}_2 = \text{CH}_2 \))
Polymer: \( (-\text{CH}_2 – \text{CH}_2 -)_n \) (poly(ethene))
From polymer to monomer:
- Look for the repeating unit in the polymer structure.
- Add a double bond between the two carbon atoms that form the backbone of the repeat unit.
- This gives the alkene monomer from which the polymer was made.
Example: From polymer to alkene
Polymer repeat unit: \( (-\text{CH}_2 – \text{CHCl}-)_n \)
Monomer: chloroethene (\( \text{CH}_2 = \text{CHCl} \)) → polymer is poly(chloroethene), also called PVC.
Important points:
- Addition polymers always have a backbone of carbon-carbon single bonds.
- The side groups on the monomer (e.g. Cl in chloroethene) appear on the repeat unit in the polymer.
- The value of \( n \) is very large, showing the long chain.
Example
(a) Deduce the polymer formed from propene (\( \text{CH}_3\text{CH} = \text{CH}_2 \)).
(b) Identify the monomer that forms the polymer with repeat unit \( (-\text{CF}_2-\text{CF}_2-)_n \).
▶️Answer/Explanation
(a) The double bond in propene opens and forms a long chain:
Polymer: \( (-\text{CH}_2-\text{CHCH}_3-)_n \), called poly(propene).
(b) The repeat unit has -CF2-CF2-. Adding a double bond back gives the monomer tetrafluoroethene (\( \text{CF}_2 = \text{CF}_2 \)). The polymer is PTFE (polytetrafluoroethene), also known as Teflon.
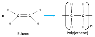
Formation of polythene:
- The monomer is ethene (\( \text{CH}_2 = \text{CH}_2 \)), which contains a double bond.
- Under high pressure and with a suitable catalyst, the double bonds in ethene molecules break open.
- Each ethene molecule then bonds with its neighbours, forming a long chain.
- The resulting polymer is poly(ethene), also called polythene, one of the most common plastics.
- The reaction is called addition polymerisation because the monomers add together without the loss of any small molecule (unlike condensation polymerisation).
Chemical representation:
Monomer (ethene): \( \text{CH}_2 = \text{CH}_2 \)
Polymer (poly(ethene)):
\( n\text{CH}_2=\text{CH}_2 \;\; \rightarrow \;\; (-\text{CH}_2-\text{CH}_2-)_n \)
Here, \( n \) represents a very large number, showing that the chain is repeated many times.
Properties and uses of poly(ethene):
- Lightweight and flexible
- Can be moulded into different shapes
- Used in plastic bags, bottles, cling film, and packaging materials
Example
Explain how ethene forms poly(ethene) during polymerisation.
▶️Answer/Explanation
Ethene molecules contain a double bond (\( \text{CH}_2 = \text{CH}_2 \)). During polymerisation, the double bond opens up and allows each ethene molecule to join with others. This forms a long chain (-CH2-CH2-)n, which is called poly(ethene). The process is an addition polymerisation reaction because the ethene molecules add to each other without losing any atoms.
Plastics
Plastics
- Plastics are synthetic materials that are made by polymerising small molecules (monomers) into very large molecules (polymers).
- The long-chain polymer structure gives plastics their unique properties, such as being lightweight, durable, and mouldable.
Key details:
- Plastics are not a single substance but a wide group of synthetic polymers.
- They are formed by either addition polymerisation (e.g. poly(ethene), PVC, poly(propene)) or condensation polymerisation (e.g. nylon, PET).
- Their properties can be modified by adding other substances (called plasticisers, fillers, or stabilisers) to make them more flexible, stronger, or resistant to heat and chemicals.
- Because of these properties, plastics are widely used in packaging, construction, clothing, and everyday items.
Examples of plastics and their polymer basis:
- Poly(ethene) → used in plastic bags and bottles.
- Poly(propene) → used in ropes, crates, and carpets.
- PVC (poly(chloroethene)) → used in pipes, window frames, electrical insulation.
- Nylon (polyamide) → used in textiles, ropes, parachutes.
- PET (polyester) → used in drink bottles and food containers.
Example
Why are plastics described as polymers, and give two examples of plastics with their uses.
▶️Answer/Explanation
Plastics are described as polymers because they are made of long-chain molecules built up from repeating monomers.
For example, poly(ethene) is used in plastic bags and bottles, while PVC (poly(chloroethene)) is used in pipes and window frames.
Properties of plastics
Plastics are extremely useful because of their unique properties, but these same properties also create major problems when it comes to disposal.
- Plastics are chemically unreactive (inert) – they do not easily react with acids, alkalis, or water.
- They are non-biodegradable – microorganisms cannot break them down, so they remain in the environment for hundreds of years.
- They are lightweight and durable – making them easy to use but difficult to dispose of.
- They can be moulded into many shapes and have a wide variety of uses.
Implications for disposal:
- Because they are non-biodegradable, plastics accumulate in landfill sites and oceans.
- Burning plastics can release toxic gases, leading to air pollution.
- Recycling is possible but not always efficient, and separating plastics from other waste can be difficult.
- The durability of plastics means they persist in the environment and contribute to long-term pollution.
Example
Explain why the chemical properties of plastics make them both useful and problematic.
▶️Answer/Explanation
Plastics are chemically unreactive, which makes them useful for containers and packaging because they do not react with food, water, or chemicals.
However, this same property means they are non-biodegradable and persist in the environment, making disposal a major problem.
Environmental challenges caused by plastics
Although plastics are very useful, their disposal creates serious environmental problems because of their durability, chemical resistance, and non-biodegradability. Once discarded, plastics remain in the environment for hundreds of years, leading to widespread pollution.
(a) Disposal in landfill sites
- Plastics are non-biodegradable, so they do not decompose naturally.
- This causes landfills to fill up quickly and occupy valuable land space.
- The buried plastics remain for decades or centuries without breaking down.
(b) Accumulation in oceans
- Plastics often end up in rivers and oceans through littering or poor waste management.
- Marine animals can mistake plastics for food, leading to injury, starvation, or death.
- Plastics can break into tiny pieces called microplastics, which enter the food chain and affect ecosystems.
(c) Formation of toxic gases from burning
- Burning plastics produces harmful gases such as carbon monoxide, hydrogen chloride (from PVC), and dioxins.
- These gases cause air pollution and can harm human health and the environment.
- Controlled incineration with pollution filters is required, but it is costly and not always available.
Example
State two environmental problems caused by plastic waste and explain why they occur.
▶️Answer/Explanation
One problem is that plastics accumulate in landfill sites because they are non-biodegradable and cannot break down naturally.
Another problem is that burning plastics releases toxic gases such as hydrogen chloride (from PVC), which cause air pollution and health risks.
Condensation polymers
Condensation polymers
- Condensation polymerisation is a process where monomers join together and each time they join, a small molecule (usually water, sometimes HCl) is eliminated. This is different from addition polymerisation, where no atoms are lost.
- Each repeat unit is linked by a functional group formed in the reaction (amide linkage or ester linkage).

Example: In polyesters, the repeat unit contains an ester linkage (-COO-).
Example: In polyamides, the repeat unit contains an amide linkage (-CONH-).
Polyamides
- Formed when a dicarboxylic acid reacts with a diamine.
- The amine group (-NH2) reacts with the carboxylic acid group (-COOH).
- The linkage formed is an amide linkage (-CONH-).
Example:
Nylon-6,6 is made from hexanedioic acid and hexane-1,6-diamine.
Repeat unit of nylon contains the -CONH- linkage.
Polyamide formation:
\( n\text{H}_2\text{N}-(\text{CH}_2)_6-\text{NH}_2 + n\text{HOOC}-(\text{CH}_2)_4-\text{COOH \;→\;} [-\text{NH}-(\text{CH}_2)_6-\text{NHCO}-(\text{CH}_2)_4-\text{CO}-]_n + 2n\text{H}_2\text{O} \)
Polyesters
- Formed when a dicarboxylic acid reacts with a diol (a molecule with two -OH groups).
- The alcohol (-OH) reacts with the carboxylic acid (-COOH).
- The linkage formed is an ester linkage (-COO-).
Example:
PET (polyethylene terephthalate) is made from benzene-1,4-dicarboxylic acid and ethane-1,2-diol.
Repeat unit of PET contains the -COO- linkage.
Polyester formation:
\( n\text{HO}-(\text{CH}_2)_2-\text{OH} + n\text{HOOC}-\text{C}_6\text{H}_4-\text{COOH \;→\;} [-\text{O}-(\text{CH}_2)_2-\text{OCO}-\text{C}_6\text{H}_4-\text{CO}-]_n + 2n\text{H}_2\text{O} \)
Example
Identify the type of polymer and linkage formed when a diol reacts with a dicarboxylic acid.
▶️Answer/Explanation
When a diol reacts with a dicarboxylic acid, the -OH groups of the diol react with the -COOH groups of the acid. Each time they react, a molecule of water is released, forming an ester linkage (-COO-). The polymer formed is a polyester, for example PET.
Differences between Addition and Condensation Polymerisation
| Feature | Addition Polymerisation | Condensation Polymerisation |
|---|---|---|
| Type of Monomers | Requires unsaturated monomers containing a carbon-carbon double bond (C=C). Each double bond can open up and join with another to form a long chain. Example monomers: \( \text{CH}_2=CH_2 \) (ethene), \( \text{CH}_2=CHCl \) (chloroethene). | Requires monomers with two reactive functional groups (bifunctional). These groups react at both ends, linking the monomers into chains. Examples: diols (\(-OH\)), dicarboxylic acids (\(-COOH\)), diamines (\(-NH_2\)). |
| Reaction Process | The double bond in each monomer breaks and forms new single bonds with neighboring monomers. No atoms are lost — all atoms from the monomer are present in the polymer. | Condensation occurs when functional groups from two monomers react, releasing a small molecule such as water or HCl. This process repeats, forming long chains with special linkages (e.g. ester or amide). |
| By-products | No by-products formed. The polymer is the only product. | A small molecule is eliminated each time a bond forms between monomers. Common by-products: \( \text{H}_2\text{O} \), \( \text{HCl} \), \( \text{CH}_3\text{OH} \). |
| Structure of Polymer Backbone | Consists of only carbon atoms in the main chain. Example: Poly(ethene) backbone = \( -\text{CH}_2-\text{CH}_2- \). | Contains heteroatoms in the backbone (O, N) due to ester or amide linkages. Example: Polyester contains \( -\text{COO}- \) groups, Polyamide contains \( -\text{CONH}- \). |
| Types of Bonds Formed | Strong covalent C-C bonds along the chain. No functional groups present in the backbone. | Covalent bonds form between functional groups, creating ester or amide linkages. These bonds give rise to additional properties like hydrogen bonding. |
| Energy Considerations | Exothermic reaction (releases energy when double bonds break and single bonds form). Usually requires heat, pressure, and a catalyst to initiate. | Requires activation energy for condensation reactions. Often carried out with heat and sometimes with catalysts/acid or base conditions. |
| Examples of Polymers | Synthetic plastics: Poly(ethene), Poly(propene), PVC, Polystyrene, Teflon. These are commonly used in packaging, containers, and insulation. | Synthetic and natural polymers: • Nylon (polyamide, used in textiles) • PET (polyester, used in bottles) • Proteins (natural polyamides) • Starch and cellulose (natural polyesters of glucose). |
Example
State two differences between addition and condensation polymerisation, giving one example of each type.
▶️Answer/Explanation
In addition polymerisation, alkenes such as ethene join together to form poly(ethene) and no other product is formed. In condensation polymerisation, monomers like a dicarboxylic acid and a diamine react to form nylon, and a small molecule such as water is released each time a linkage forms.
Structures of nylon (a polyamide) and PET (a polyester)
Nylon (Polyamide)
Carboxylic acid + amine → amide linkage (-CONH-)
Monomers:
- Hexanedioic acid (HOOC-(CH2)4-COOH)
- 1,6-Diaminohexane (H2N-(CH2)6-NH2)
Polymerisation:
- The -COOH group of the dicarboxylic acid reacts with the -NH2 group of the diamine.
- Each reaction forms an amide linkage (-CONH-) and eliminates a molecule of water.
- This process repeats, linking the monomers into a long chain.
Repeating unit of nylon:
\( -[\text{NH}-(\text{CH}_2)_6-\text{NHCO}-(\text{CH}_2)_4-\text{CO}]- \)
Properties and uses:
- Strong fibres due to hydrogen bonding between chains.
- Resistant to abrasion.
- Used in ropes, fishing nets, parachutes, textiles (e.g. nylon clothes).
PET (Polyester)
Carboxylic acid + alcohol → ester linkage (-COO-)
Monomers:
- Terephthalic acid (HOOC-C6H4-COOH)

- Ethane-1,2-diol (HO-CH2-CH2-OH)
Polymerisation:
- The -COOH group of the dicarboxylic acid reacts with the -OH group of the diol.
- Each reaction forms an ester linkage (-COO-) and eliminates water.
- Repeated condensation gives a polyester chain.
Repeating unit of PET:
\( -[\text{OCH}_2\text{CH}_2\text{OOC}-(\text{C}_6\text{H}_4)-\text{CO}]- \)
Properties and uses:
- Strong, lightweight, and transparent.
- Resistant to chemicals.
- Widely used for making plastic bottles, food packaging, synthetic fibres (e.g. polyester clothes).
Key Comparison
- Nylon contains amide (-CONH-) linkages → it is a polyamide.
- PET contains ester (-COO-) linkages → it is a polyester.
- Both are condensation polymers, because a small molecule (water) is eliminated each time a bond forms.
- Both have wide industrial uses due to their strength and chemical resistance.
Example
Nylon and PET are both condensation polymers. Identify the functional groups present in their monomers and explain the type of linkages that form in each polymer.
▶️Answer/Explanation
In nylon, the monomers are a dicarboxylic acid (with -COOH groups) and a diamine (with -NH2 groups). The -COOH reacts with -NH2, forming amide linkages (-CONH-).
In PET, the monomers are a dicarboxylic acid (with -COOH groups) and a diol (with -OH groups). The -COOH reacts with -OH, forming ester linkages (-COO-). In both cases, water is eliminated during each condensation reaction.
Proteins as natural polymers
Proteins as natural polymers
Proteins are condensation polymers made from monomers called amino acids. Each amino acid contains two key functional groups:
- An amine group (-NH2)
- A carboxylic acid group (-COOH)
The general formula of an amino acid is:
\( \text{H}_2\text{N}-\text{CHR}-\text{COOH} \), where R is a variable side chain (different for each amino acid).
Formation of peptide bonds
When two amino acids react:
- The -COOH group of one amino acid reacts with the -NH2 group of another.
- An amide linkage (peptide bond, -CONH-) is formed.
- A molecule of water is eliminated in the process.
Equation for peptide bond formation:

\( \text{H}_2\text{N}-\text{CHR}-\text{COOH} + \text{H}_2\text{N}-\text{CHR}’-\text{COOH} \rightarrow \text{H}_2\text{N}-\text{CHR}-\text{CONH}-\text{CHR}’-\text{COOH} + \text{H}_2\text{O} \)
Structure of proteins
- Long chains of amino acids linked by peptide bonds form polypeptides.
- These chains fold into complex 3D shapes due to hydrogen bonding and interactions between side chains.
- The unique sequence and folding determine the function of the protein (e.g. enzymes, hormones, structural proteins).
Proteins as natural polyamides
Proteins are classified as natural polyamides because they are long-chain polymers of amino acids joined by amide (peptide) bonds. This is similar to synthetic polyamides (e.g., nylon), but proteins are produced naturally in living organisms.
General structure of amino acids
\( \text{H}_2\text{N}-\text{CH(R)}-\text{COOH} \)
The amino group is \( -\text{NH}_2 \), the carboxyl group is \( -\text{COOH} \), and the side chain R varies between different amino acids. This gives rise to 20 different naturally occurring amino acids.
Hydrolysis of proteins
- Proteins can be broken down by hydrolysis, where peptide bonds are cleaved using water.
- In organisms, enzymes called proteases catalyse protein hydrolysis during digestion.
- In the laboratory, acids or alkalis can be used to hydrolyse proteins into their constituent amino acids.
Example
Explain how amino acids join together to form proteins, and name the type of bond that holds them together.
▶️Answer/Explanation
Amino acids join by condensation reactions: the -COOH group of one reacts with the -NH2 group of another. This produces a peptide bond (-CONH-) and eliminates water. Repeated condensation forms a polypeptide chain, which folds to make a protein.
Example
Why are proteins described as natural polyamides?
▶️Answer/Explanation
Proteins are polyamides because they are made up of repeating amino acids linked by amide (peptide) bonds. They are natural because they are produced by living organisms, unlike synthetic polyamides such as nylon.
Levels of protein structure

- Primary structure – the sequence of amino acids in the polypeptide chain.
- Secondary structure – folding into shapes such as α-helices and β-pleated sheets due to hydrogen bonding.
- Tertiary structure – further folding into a complex 3D shape stabilized by interactions between R groups.
- Quaternary structure – some proteins consist of more than one polypeptide chain joined together (e.g., haemoglobin).
Example
Draw and explain the repeating unit in a protein chain.
▶️Answer/Explanation
The repeating unit of proteins is based on the amide linkage:
\( -\text{NH-CH(R)-CO}- \)
This unit repeats many times as amino acids join together. The R groups vary, giving rise to different properties and functions of proteins.




