Question
For a particular nonlinear spring, the relationship between the magnitude of the applied force, F, and the stretch of the spring, x, is given by the equation \(F = kx^{1.5}\). How much energy is stored in the spring when is it stretched a distance \(x_1\)
(A) \(\frac{2k_1^{2.5}}{5}\)
(B) \(\frac{kx_1^{1.5}}{5}\)
(C) \(kx_1^{2.5}\)
(D) \(\frac{1}{2}kx_1^2\)
(E) \(1.5 kx_1^{0.5}\)
▶️Answer/Explanation
Ans: A
For a spring that is not linear (i.e., does not obey Hooke’s law) the energy stored is not \(\frac{1}{2} kx^2\). The magnitude of the energy stored will be equal to the magnitude of the work done to stretch the spring to \(x_1\)/ the steps to calculate the work are shown below.
Question
Two ice skaters are moving on frictionless ice and are about to collide. The 50-kg skater is moving directly west at 4 m/s. The 75-kg skater is moving directly north at 2 m/s. After the collision they stick together.
For this scenario, which of the following is true?
(A) The linear momentum of the system is conserved because the net force on the system is nonzero during the collision,
(B) Only the kinetic energy of the system is conserved because it is an inelastic collision.
(C) Only the kinetic energy of the system is conserved because it is an elastic collision.
(D) The linear momentum of the system is conserved because the net force on the system is zero.
(E) Both the linear momentum and the kinetic energy of the system are conserved.
▶️Answer/Explanation
Ans: D
When objects stick together, a perfectly inelastic collision has occurred. For this situation, kinetic energy is not conserved. This eliminates (B), (C), and (E). Linear momentum is conserved when the net force on the system is zero, so only (D) combines all this information correctly.
Question

Two blocks of masses M and 2M are connected by a light string. The string passes over a pulley, as shown above. The pulley has a radius R and moment of inertia I about its center. \(T_1\) and \(T_2\) are the tensions in teh string on each side of the pulley and a is the acceleration fo the masses. Which of the following equations best describes the pulley’s rotational motion during the time the blocks accelerate?
(A) \((T_2 + T_1)R = Ia\)
(B) \((T_2 – T_1)R = IA\)
(C) \((T_2 – T_1)R = I\frac{a}{R}\)
(D) MgR = \(I\frac{a}{R}\)
(E) 3MgR = I \(\frac{a}{R}\)
▶️Answer/Explanation
Ans: C
The pulley will rotate because there is a net torque on the pulley due to tension 1 and tension 2. Apply Newton’s Second Law for rotation to the diagram below and then substitute \(a=\frac{a}{R}\). Take clockwise and downward to be positive, and remember that torque is the cross product of force and distance.
Question
A solid sphere of uniform density with mass M and radius R is located far out in space. A test mass, m, is placed at various locations both within the sphere and outside the sphere. Which graph correctly shows the force of gravity on the test mass vs. the distance form the center of the sphere?

▶️Answer/Explanation
Ans: B
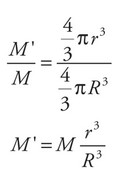
The force of gravity acting between the masses can be calculated using Newton’s Law of Gravity: \(F=\frac{Gm_1 m_2}{r^2}\). When the test mass is outside of the sphere it is an inverse square relationship, so (C), (D), and (E) can be eliminated. When the test mass is inside the sphere, at a radius r<R, the sphere still attracts the test mass with amount of mass, M’, that is at a radius less than the test mass, M’ is proportional to the total mass by the volume contained compared to the total volume as shown below.
This produces a gravitational force that is linear for the region r<R, as shown below.
Therefore, (A) can be eliminated. This can also be found conceptually by realizing that the net gravitational force will only be zero where r = 0.
