NEET Biology - Unit 3- Chemical constituents of living cells- Study Notes - New Syllabus
NEET Biology – Unit 3- Chemical constituents of living cells- Study Notes – New Syllabus
Key Concepts:
- Chemical constituents of living cells: Biomolecules-structure and function of proteins, carbohydrates, lipids, nucleic acids; Enzymes-types, properties, enzyme action, classification and nomenclature of enzymes
Chemical Constituents of Living Cells
🌱 Introduction: Biomolecules
What are Biomolecules?
- Biomolecules are organic molecules produced by living organisms.
- They act as the building blocks of life.
- Every living cell is made up of biomolecules.
- All cellular activities depend on biomolecules.
Elements Present in Biomolecules
- Carbon (C)
- Hydrogen (H)
- Oxygen (O)
- Nitrogen (N)
- Phosphorus (P)
- Sulphur (S)
Carbon is the backbone of all biomolecules due to its bonding ability.
🔑 Major Classes of Biomolecules
- Proteins
- Nucleic Acids
- Carbohydrates
- Lipids
Why is the Cell Called a Biomolecular Factory?
- All metabolic reactions occur inside the cell.
- Biomolecules are synthesized, modified, and broken down inside cells.
- Hence, a cell is a chemical factory.
🧬 PROTEINS
Definition
Proteins are nitrogen-containing organic compounds composed of one or more long chains of amino acids, essential for the structure, growth, repair, and metabolism of living organisms.
Amino Acids: Building Blocks of Proteins
Number of Amino Acids
22 naturally occurring amino acids are found in living organisms.
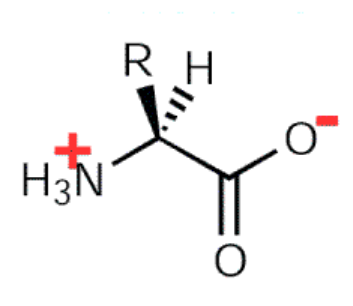
Basic Structure of an Amino Acid
- Amino group (–NH₂)
- Carboxyl group (–COOH)
- Hydrogen atom (–H)
- Variable side chain (R group)
All are attached to a central alpha carbon (α-carbon).
The R group is different for each amino acid and determines its properties.
⚖️ Zwitterion Nature of Amino Acids 
- In aqueous solution, amino acids exist as dipolar ions.
- Positive charge on amino group (–NH₃⁺)
- Negative charge on carboxyl group (–COO⁻)
This form is called a Zwitterion.
Importance
- Can act as Acid (proton donor)
- Can act as Base (proton acceptor)
Optical Activity of Amino Acids
- Most amino acids are optically active.
- Due to presence of chiral carbon.
Chiral Carbon
- A carbon atom attached to four different groups.
- Can rotate plane-polarized light.
Exception: Glycine (no chiral carbon)
🔗 Peptide Bond and Peptides
Peptide Bond Formation
- Formed between -COOH group of one amino acid and –NH₂ group of another amino acid
- Water molecule is released
- This is a condensation reaction
Types of Peptides
| Term | Meaning |
|---|---|
| Dipeptide | 2 amino acids |
| Tripeptide | 3 amino acids |
| Oligopeptide | 12–20 amino acids |
| Polypeptide | Many amino acids |
First amino acid → N-terminal
Last amino acid → C-terminal
🏗️ Levels of Protein Structure
1. Primary Structure
- Linear sequence of amino acids

- Amino acids joined by peptide bonds
- Determines final protein structure
2. Secondary Structure
- Folding of polypeptide chain
- Stabilized by hydrogen bonds
- Alpha helix → coiled, rod-like
- Beta pleated sheet → sheet-like, made of beta strands
3. Tertiary Structure
- Overall three-dimensional shape of protein
- Formed due to interaction between side chains (R groups)
- Stabilized by hydrogen bonds, ionic bonds, hydrophobic interactions, van der Waals forces, disulfide bonds
Responsible for biological activity of protein.
4. Quaternary Structure
- Association of two or more polypeptide chains
- Example: Hemoglobin (4 subunits)
🧱 Types of Proteins
Fibrous Proteins
- Long, thread-like
- Insoluble in water
- Structural role
- Examples: Keratin, Collagen
Globular Proteins
- Compact, spherical
- Water soluble
- Functional role
- Examples: Enzymes, Hormones, Antibodies
📊 Comparison: Fibrous vs Globular Proteins
| Feature | Fibrous | Globular |
|---|---|---|
| Shape | Long | Spherical |
| Solubility | Insoluble | Soluble |
| Function | Structural | Metabolic |
| Example | Keratin | Enzymes |
🧬 NUCLEIC ACIDS

- Nucleic acids are information-carrying biomolecules.
- First discovered by Friedrich Miescher from nuclei of pus cells.
- They control inheritance, variation, and protein synthesis.
🔑 Types of Nucleic Acids
- DNA (Deoxyribonucleic Acid)
- RNA (Ribonucleic Acid)
Nucleotide: Structural Unit of Nucleic Acids
Each nucleotide consists of:
- Nitrogenous base
- Pentose sugar
- Phosphate group

Nucleoside = Nitrogenous base + Sugar
Nucleotide = Nucleoside + Phosphate
🧪 Nitrogenous Bases
| Type | Bases |
|---|---|
| Purines | Adenine, Guanine |
| Pyrimidines | Cytosine, Thymine, Uracil |
Thymine → only in DNA
Uracil → only in RNA
Pentose Sugars
- DNA → Deoxyribose
- RNA → Ribose
Difference:
- Ribose has –OH at 2′ carbon
- Deoxyribose has –H at 2′ carbon
🧬 DNA Structure (Double Helix)
Key Features (B-DNA)
- Double-stranded
- Right-handed helix
- Strands are antiparallel
- Sugar-phosphate backbone outside
- Bases inside
Base Pairing Rule
- A = T → 2 hydrogen bonds
- G ≡ C → 3 hydrogen bonds
🔄 Types of DNA
- B-DNA
- Most common
- Found in living cells
- Z-DNA
- Thinner and left-handed
- Alternating purine–pyrimidine
- Stabilized by high salt concentration
🔥 Denaturation & Renaturation of DNA
Denaturation:
- Separation of DNA strands
- Caused by high temperature, pH, chemicals
Renaturation:
- Rejoining of strands when conditions normalize
Basis of molecular techniques like PCR
🧬 RNA
General Features
- Usually, single stranded
- Shorter than DNA
- Found in nucleus and cytoplasm
🧠 Types of RNA
| RNA | Function |
|---|---|
| mRNA | Carries genetic code from DNA |
| tRNA | Brings amino acids during protein synthesis |
| rRNA | Structural and catalytic part of ribosome |
Codon → sequence of 3 nucleotides on mRNA
🍞 CARBOHYDRATES
Definition
Carbohydrates are polyhydroxy aldehydes or ketones, or substances that yield them on hydrolysis.
Elements Present
- Carbon
- Hydrogen
- Oxygen
🧱 Classification of Carbohydrates
| Type | Units | Example |
|---|---|---|
| Monosaccharides | 1 | Glucose |
| Disaccharides | 2 | Sucrose |
| Oligosaccharides | 2–10 | Raffinose |
| Polysaccharides | Many | Starch |
Monosaccharides
- Simplest carbohydrates
- Cannot be hydrolyzed further
Based on Functional Group
- Aldoses → Aldehyde group
- Ketoses → Ketone group
Simplest monosaccharides → Trioses
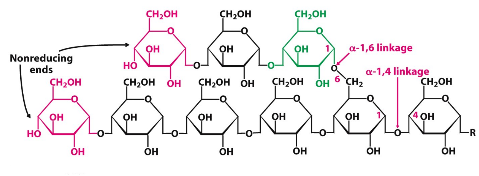
🌾 Important Polysaccharides
Starch
- Storage carbohydrate in plants
- Made of glucose units
- Amylose → unbranched
- Amylopectin → branched
Glycogen
- Storage carbohydrate in animals
- Stored in liver and muscles
- Highly branched
- Also called animal starch
Cellulose
- Structural polysaccharide
- Unbranched polymer of glucose
- Major component of plant cell wall
- Most abundant organic molecule on Earth
Chitin
- Linear polysaccharide
- Made of N-acetyl glucosamine
- Exoskeleton of insects
- Cell wall of fungi
🍬 Reducing vs Non-Reducing Sugars
| Feature | Reducing Sugar | Non-Reducing Sugar |
|---|---|---|
| Reduces Cu²⁺/Fe³⁺ | Yes | No |
| Examples | Glucose | Sucrose |
| Monosaccharides | All reducing | – |
🧈 LIPIDS
Definition
- Insoluble in water
- Soluble in non-polar solvents like ether and chloroform
Biological Functions of Lipids
- Long-term energy storage
- Structural component of membranes
- Insulation and protection
- Hormone synthesis

Fatty Acids
- Long hydrocarbon chain
- One terminal –COOH group
Types
- Saturated fatty acids → no double bond
- Unsaturated fatty acids → one or more double bonds
🍽️ Essential vs Non-Essential Fatty Acids
| Type | Meaning |
|---|---|
| Essential | Cannot be synthesized, must be obtained from diet |
| Non-essential | Synthesized in body |
Example: Essential → Linoleic acid
Triglycerides (Triacylglycerols)
- Ester of one glycerol + three fatty acids
- Non-polar and hydrophobic
- Major storage form of fat in animals
📊 SUMMARY TABLE – BIOMOLECULES
| Biomolecule | Monomer | Main Role |
|---|---|---|
| Proteins | Amino acids | Enzymes, structure |
| Nucleic acids | Nucleotides | Genetic information |
| Carbohydrates | Monosaccharides | Energy, structure |
| Lipids | Fatty acids | Membrane, energy storage |
📦 Quick Recap
Biomolecules form the chemical basis of life
Proteins are made of amino acids
Amino acids show zwitterion nature
Peptide bond links amino acids
Proteins have four structural levels
DNA stores genetic information
RNA helps in protein synthesis
Carbohydrates are energy molecules
Cellulose is most abundant biomolecule
Lipids are hydrophobic and energy-rich
ENZYMES
🌱 Introduction
- Enzymes are biological catalysts.
- They speed up biochemical reactions without being consumed.
- Mostly proteins in nature.
- Essential for all metabolic activities in living cells.
Without enzymes, life reactions would be too slow to sustain life.
🔑 What are Enzymes?
- Enzymes are organic catalysts produced by living cells.
- They accelerate biochemical reactions.
- Work under mild conditions of temperature and pH.
🧬 Types of Enzymes
1. Based on Composition
- Simple Enzymes
- Made of only protein
- Examples: Pepsin, Trypsin
- Conjugated Enzymes
- Protein part → Apoenzyme
- Non-protein part → Cofactor
- Apoenzyme + Cofactor = Holoenzyme
2. Types of Cofactors
| Cofactor | Nature | Example |
|---|---|---|
| Metal ions | Inorganic | Zn²⁺, Mg²⁺ |
| Coenzymes | Organic, loosely bound | NAD, FAD |
| Prosthetic group | Organic, tightly bound | Heme |
Mnemonic: A–P–H → Apoenzyme + Prosthetic = Holoenzyme
3. Based on Site of Action
| Type | Site |
|---|---|
| Intracellular enzymes | Act inside cell |
| Extracellular enzymes | Act outside cell |
Example: Pepsin acts in stomach lumen → extracellular
✨ Properties of Enzymes
- Protein nature → except ribozymes (RNA enzymes)
- High specificity → substrate & reaction specific
- Absolute
- Group
- Bond
- Stereospecific
- Reusable → not consumed
- Highly efficient → millions of reactions per minute
Example: Catalase on H₂O₂ - Temperature sensitive → optimum 37°C (humans)
- pH sensitive
- Pepsin → acidic
- Trypsin → alkaline
- Reversible action in some reactions
⚙️ Mechanism of Enzyme Action
- Enzyme binds substrate
- Enzyme–substrate complex forms
- Product released
- Enzyme remains unchanged
Lock & Key Model (Emil Fischer)
- Rigid active site
- Perfect fit
- Explains specificity
Induced Fit Model (Daniel Koshland)
- Active site changes shape
- More accurate & accepted
Activation Energy
- Enzymes lower activation energy
- Total energy of reaction unchanged
🧬 Factors Affecting Enzyme Activity
| Factor | Effect |
|---|---|
| Substrate concentration | Rate increases till saturation |
| Enzyme concentration | Directly proportional |
| Temperature | Increases till optimum |
| pH | Specific for each enzyme |
| Inhibitors | Reduce activity |
🚫 Enzyme Inhibition
- Competitive
- Resembles substrate
- Competes for active site
- Reversed by increasing substrate
- Example: Sulfa drugs
- Non-Competitive
- Binds at different site
- Alters enzyme shape
- Not reversible
🧪 Classification of Enzymes (IUBMB)
| Class | Function |
|---|---|
| Oxidoreductases | Oxidation–reduction |
| Transferases | Transfer of groups |
| Hydrolases | Hydrolysis |
| Lyases | Breaking bonds without ATP |
| Isomerases | Isomer conversion |
| Ligases | Joining molecules using ATP |
🏷️ Nomenclature of Enzymes
- Common names → end with -ase
Examples: Amylase, Protease - Systematic names → substrate + reaction
Example: Lactate dehydrogenase - EC number → four digits represent class to serial number
📊 Summary Table
| Nature | Mostly proteins |
| Role | Biological catalysts |
| Specificity | Very high |
| Conditions | Mild pH & temperature |
| Reusability | Yes |
📦 Quick Recap
Enzymes are protein catalysts
Apoenzyme + Cofactor = Holoenzyme
Lock & Key and Induced Fit explain action
Six major enzyme classes
Names usually end with –ase



