IIT JEE Main Maths -Unit 5- Binomial theorem for positive integral index- Study Notes-New Syllabus
IIT JEE Main Maths -Unit 5- Binomial theorem for positive integral index – Study Notes – New syllabus
IIT JEE Main Maths -Unit 5- Binomial theorem for positive integral index – Study Notes -IIT JEE Main Maths – per latest Syllabus.
Key Concepts:
- Binomial Theorem for Positive Integral Index
Binomial Theorem for Positive Integral Index
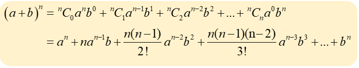
The Binomial Theorem gives the expansion of the expression \( (x + a)^n \), where \( n \) is a positive integer.
It expresses the power of a binomial as a sum of terms involving coefficients known as binomial coefficients.
Binomial Expansion Formula

If \( n \) is a positive integer, then:
$ (x + a)^n = \sum_{r=0}^{n} \binom{n}{r} x^{n-r} a^r $
Or equivalently:
$ (x + a)^n = \binom{n}{0}x^n + \binom{n}{1}x^{n-1}a + \binom{n}{2}x^{n-2}a^2 + \dots + \binom{n}{n}a^n $
Binomial Coefficient
The term \( \displaystyle \binom{n}{r} \) (read as “n choose r”) represents the number of ways to select \( r \) objects from \( n \) and is given by:
$ \binom{n}{r} = \dfrac{n!}{r!(n – r)!} $
for \( r = 0, 1, 2, \dots, n \).
Properties of Binomial Coefficients
| Property | Formula |
|---|---|
| Symmetry | \( \binom{n}{r} = \binom{n}{n – r} \) |
| Pascal’s Identity | \( \binom{n}{r} + \binom{n}{r – 1} = \binom{n + 1}{r} \) |
| Summation | \( \sum_{r=0}^{n} \binom{n}{r} = 2^n \) |
General Term (r-th Term)
The \( (r+1)^{th} \) term in the expansion of \( (x + a)^n \) is given by:
$ T_{r+1} = \binom{n}{r} x^{n – r} a^r $
where \( r = 0, 1, 2, \dots, n \).
Total Number of Terms
The expansion of \( (x + a)^n \) contains \( (n + 1) \) terms.
Middle Term(s)

- If \( n \) is even, there is one middle term → \( \displaystyle T_{\frac{n}{2} + 1} \)
- If \( n \) is odd, there are two middle terms → \( \displaystyle T_{\frac{n + 1}{2}} \) and \( \displaystyle T_{\frac{n + 3}{2}} \)
Example
Find the expansion of \( (x + 2)^3 \).
▶️ Answer / Explanation
Using binomial theorem:
$ (x + 2)^3 = \binom{3}{0}x^3 + \binom{3}{1}x^2(2) + \binom{3}{2}x(2)^2 + \binom{3}{3}(2)^3 $
= \( 1x^3 + 3x^2(2) + 3x(4) + 8 = x^3 + 6x^2 + 12x + 8 \)
Answer: \( (x + 2)^3 = x^3 + 6x^2 + 12x + 8 \)
Example
Find the coefficient of \( x^5 \) in \( (2x – 3)^8 \).
▶️ Answer / Explanation
The general term: \( T_{r+1} = \binom{8}{r} (2x)^{8 – r}(-3)^r \)
We need power of \( x^5 \), so \( 8 – r = 5 \Rightarrow r = 3 \)
\( T_4 = \binom{8}{3}(2)^{5}(-3)^3 x^5 \)
Coefficient = \( 56 \times 32 \times (-27) = -48384 \)
Answer: Coefficient of \( x^5 \) = \( -48384 \)
Example
Find the middle term in the expansion of \( (3x – \dfrac{1}{2x})^{10} \).
▶️ Answer / Explanation
Number of terms = \( 10 + 1 = 11 \) → odd number → one middle term.
Middle term = \( T_{\frac{10}{2} + 1} = T_6 \)
\( T_{r+1} = \binom{10}{r}(3x)^{10 – r}\left(-\dfrac{1}{2x}\right)^r \)
For \( r = 5 \): \( T_6 = \binom{10}{5}(3x)^5\left(-\dfrac{1}{2x}\right)^5 \)
= \( 252 \times 3^5 \times (-1)^5 \times \dfrac{1}{2^5} \times x^{5 – 5} = -252 \times \dfrac{243}{32} \)
= \( -\dfrac{61236}{32} = -1913.625 \)
Answer: Middle term = \( -\dfrac{61236}{32} = -1913.625 \) (constant term).
Notes and Study Materials
- Concepts of Binomial Theorem and Mathematical Induction
- Binomial Theorem and Mathematical Induction Master File
- Binomial Theorem and Mathematical Induction Revision Notes
- Binomial Theorem and Mathematical Induction Formulae
- Binomial Theorem Reference Book
- Mathematical Induction Reference Book
- Binomial Theorem and Mathematical Induction Past Many Years Questions and Answer
Examples and Exercise
- Practice Paper 1
- Practice Paper 2
- Practice Paper 3
- Practice Paper 4
- Practice Paper 5
- Practice Paper 6
- Practice Paper 7
- Practice Paper 8
IIT JEE (Main) Mathematics ,”Binomial Theorem and Mathematical Induction” Notes ,Test Papers, Sample Papers, Past Years Papers , NCERT , S. L. Loney and Hall & Knight Solutions and Help from Ex- IITian
About this unit
Binomial theorem for a positive integral index. General term and middle term. Properties of Binomial coefficients and simple applications. The principle of Mathematical Induction and its simple applications
IITian Academy Notes for IIT JEE (Main) Mathematics – Binomial Theorem and Mathematical Induction
The success mantra of the JEE is practice and hard work. Gone are the days when students used to spend hours in attempting one question. Now it is an era of multiple choice questions. The JEE Mathematics questions test a student’s acquired knowledge as well as his aptitude. We have excellent notes prepared by Ex-IITian to best match the requirement of the exam. Focus is given on problem solving skills and small tips and tricks to do it faster and easier. We , Ex-IITian at https://www.iitianacademy.com. will make sure you understand the concept well.
IIT JEE (Main) Mathematics, Binomial Theorem and Mathematical Induction Solved Examples and Practice Papers.
Get excellent practice papers and Solved examples to grasp the concept and check for speed and make you ready for big day. These Question Papers are prepared by Ex-IITIan for IIT JEE (Main) Mathematics , Binomial Theorem and Mathematical Induction.
S. L. Loney IIT JEE (Main) Mathematics
This book is the one of the most beautifully written book by the author. Trigonometry is considered to be one of the easiest topics in mathematics by the aspirants of IIT JEE, AIEEE and other state level engineering examination preparation. It would not be untrue to say that most of the sources have taken inspiration from this book as it is the most reliable source. The best part of this book is its coverage in Heights and Distances and Inverse Trigonometric Functions. The book gives a very good learning experience and the exercises which follow are not only comprehensive but they have both basic and standard questions.. I will help you online for any doubt / clarification.
Hall & Knight IIT JEE (Main) Mathematics
Algebra by Hall and Knight is one of the best books for JEE preparation. Students preparing for IIT JEE and other engineering entrance exams as well as students appearing for board exams should read this everyday, especially to master Algebra and Probability. Hall and Knight have explained the concepts logically in their book.
IIT JEE (Main) Mathematics Assignments
Chapter wise assignments are being given by teachers to students to make them understand the chapter concepts. Its extremely critical for all CBSE students to practice all assignments which will help them in gaining better marks in examinations. All assignments available for free download on the website are developed by the best teachers having many years of teaching experience in CBSE schools all over the country. Students, teachers and parents are advised to contact me online incase of any doubt / clarification.
Past Many Years (40 Years) Questions IIT JEE (Main) Mathematics Solutions Binomial Theorem and Mathematical Induction
Past 40 Years Question Papers Solutions for IIT JEE (Main) Mathematics Binomial Theorem and Mathematical Induction are provided here with simple step-by-step explanations. These solutions for Binomial Theorem and Mathematical Induction are extremely popular among IIT JEE (Main) students for Chemistry . Binomial Theorem and Mathematical Induction Solutions come handy for quickly completing your homework and preparing for exams. All questions and answers from the Past Many Years Question Papers Book of IIT JEE (Main) Mathematics Chapter Binomial Theorem and Mathematical Induction are provided here for . I will help you online for any doubt / clarification.
