Question
Gasoline (petrol), biodiesel and ethanol are fuels.

a. Calculate the energy released, in $\mathrm{kJ}$, from the complete combustion of $5.00 \mathrm{dm}^3$ of ethanol.
b. State a class of organic compounds found in gasoline.
c. Outline the advantages and disadvantages of using biodiesel instead of gasoline as fuel for a car. Exclude any discussion of cost.

d. A mixture of gasoline and ethanol is often used as a fuel. Suggest an advantage of such a mixture over the use of pure gasoline. Exclude any discussion of cost.
e(i)When combusted, all three fuels can release carbon dioxide, a greenhouse gas, as well as particulates. Contrast how carbon dioxide and particulates interact with sunlight.
$\mathrm{e}$ (ii)ethane is another greenhouse gas. Contrast the reasons why methane and carbon dioxide are considered significant greenhouse gases.
e(iiisuggest a wavenumber absorbed by methane gas.
e(iV)etermine the relative rate of effusion of methane $\left(M_{\mathrm{r}}=16.05\right)$ to carbon dioxide $\left(M_{\mathrm{r}}=44.01\right)$, under the same conditions of temperature and pressure. Use section 1 of the data booklet.
▶️Answer/Explanation
Markscheme
a. $« 21200 \mathrm{~kJ} \mathrm{dm}^{-3} \times 5.00 \mathrm{dm}^3=» 106000 / 1.06 \times 10^5\langle\mathrm{~kJ} »$
b. alkane
$O R$
cycloalkane
OR
arene
Accept “alkene”.
Do not accept just “hydrocarbon”, since given in stem.
Do not accept “benzene/aromatic” for “arene”.
renewable
uses up waste «such as used cooking oil»
lower carbon footprint/carbon neutral
higher flashpoint
produces less $\mathrm{SO}_{\mathrm{x}} / \mathrm{SO}_2$
OR
less polluting emissions
has lubricating properties
OR
preserves/increases lifespan of engine $\boldsymbol{V}$
increases the life of the catalytic converter
eliminates dependence on foreign suppliers
does not require pipelines/infrastructure «to produce»
relatively less destruction of habitat compared to obtaining petrochemicals
Accept “higher energy density” OR “biodegradable” for advantage.
needs conversion/transesterification
takes time to produce/grow plants
takes up land
OR
deforestation
fertilizers/pesticides/phosphates/nitrates «used in production of crops» have negative environmental effects
biodiversity affected
OR
loss of habitats «due to energy crop plantations»
cannot be used at low temperatures
variable quality «in production»
high viscosity/can clog/damage engines
Accept “lower specific energy” as disadvantage.
Do not accept “lower octane number” as disadvantage”.
uses up fossil fuels more slowly
lower carbon footprint/CO2 emissions
undergoes more complete combustion
produces fewer particulates
higher octane number/rating
OR
less knocking
prevents fuel injection system build up
OR
helps keep engine clean
Accept an example of a suitable advantage even if repeated from $11 \mathrm{c}$.
Accept “particulates reflect/scatter/absorb sunlight AND carbon dioxide does not”.
Accept ” $\mathrm{CO}_2$ absorbs IR “radiation” AND particulates reflect/scatter/absorb sunlight”.
Do not accept “traps” for “absorbs”.
e(iicarbon dioxide is highly/more abundant «in the atmosphere»
methane is more effective/potent «as a greenhouse gas»
OR
methane/better/more effective at absorbing IR «radiation»
$O R$
methane has greater greenhouse factor
OR
methane has greater global warming potential/GWP $\boldsymbol{V}$
Accept “carbon dioxide contributes more to global warming” for M1.
$\mathrm{e}$ (iiį)ny value or range within $2850-3090 \ll \mathrm{cm}^{-1}$ »
e(iv) rate of effusion of $\frac{\mathrm{CH}_4}{\mathrm{CO}_2}=\sqrt{\frac{44.01}{16.05}}=\$ 1.656 \checkmark$
Question
This question is about global warming.
a. Describe the effect of infrared (IR) radiation on carbon dioxide molecules.
b. Outline one approach to controlling industrial emissions of carbon dioxide.
▶️Answer/Explanation
Markscheme
a. bond length $/ \mathrm{C}=\mathrm{O}$ distance changes
$O R$
«asymmetric» stretching «of bonds»
OR
bond angle/OCO changes [ $\mathbf{U}$
polarity/dipole «moment» changes
OR
dipole «moment» created «when molecule absorbs IR» $[\boldsymbol{V}]$
Note: Accept appropriate diagrams.
b. Any one of:
capture where produced «and store» [ $\boldsymbol{U}]$
use scrubbers to remove $[\boldsymbol{\sim}]$
use as feedstock for synthesising other chemicals $[\boldsymbol{\sim}]$
carbon credit/tax/economic incentive/fines/country specific action $[\boldsymbol{V}]$
use alternative energy
OR
stop/reduce use of fossil fuels for producing energy $[\boldsymbol{\sim}]$
use carbon reduced fuels “such as methane» $[\boldsymbol{V}]$
increase efficiency and reduce energy use $[\boldsymbol{\sim}]$
Note: Do not accept “planting more trees”.
Accept specific correct examples.
Question
Natural gas is burned to produce steam which turns turbines in an electricity generating power plant. The efficiency of several sources for power plants is given below.

b(i)Calculate the maximum electric energy output, in MJ, which can be obtained from burning $1.00 \mathrm{~kg}$ of methane by using your answer from (a).
b(ii).Hydroelectric power plants produced $16 \%$ of the world’s energy in 2015, down from $21 \%$ in 1971.
Suggest why hydroelectric power production has a higher efficiency than the other sources given in (b) and why its relative use has decreased despite the high efficiency.
Reason for higher efficiency:
Reason for decreased use:
c(i)Methane can also be obtained by fractional distillation of crude oil.

c(ii)_ist the following products, which are also obtained by fractional distillation, according to decreasing volatility: asphalt, diesel, gasoline, lubricating motor oil.
d(i)Explain how methane absorbs infrared (IR) radiation by referring to its molecular geometry and dipole moment.
d(ii)Compare methane’s atmospheric abundance and greenhouse effect to that of carbon dioxide.
▶️Answer/Explanation
Markscheme
a. $« \frac{891 \mathrm{kJmol}^{-1}}{16.05 \mathrm{gmol}^{-1}}=55.5 \mathrm{~kJ} \mathrm{~g}^{-1}=» 55.5 « \mathrm{MJ} \mathrm{kg}^{-1} »[\mathrm{~V}]$
$\mathrm{b}(\mathrm{i}) \ll 55.5 \mathrm{MJ} \times 58 \%=» 32.2$ «MJ»[$]$
b(ii)Reason for higher efficiency:
no heat/energy loss in producing steam
OR
no need to convert chemical energy of the fuel into heat and then heat into mechanical energy
OR
direct conversion of «gravitational» potential energy to mechanical energy $[\boldsymbol{U}]$
Note: Accept “less energy lost as heat” but do not accept “no energy lost”.
limited supply of available hydroelectric sites
OR
rapid growth of electrical supply in countries with little hydroelectric potential
OR
not building «new hydroelectric» dams because of environmental concerns [ $\boldsymbol{V}$ ]
Note: Accept “new/alternative/solar/wind power sources “have taken over some of the demand»”.
Accept “lower output from existing stations due to limited water supplies”.

Note: Accept products written in this order whether separated by >, comma, or nothing.
d(i)methane is tetrahedral
OR
methane has zero dipole moment/is non-polar/bond polarities cancel [ $\boldsymbol{U}$ ]
Any two of:
IR absorption can result in increased vibrations/bending/stretching [ ]
only modes that cause change in dipole absorb IR $[\boldsymbol{\sim}]$
for methane this is asymmetric bending/stretching $[\boldsymbol{\sim}]$
d(ii)methane is less abundant $\boldsymbol{A N D}$ has a greater effect «per mol» [ $[\boldsymbol{]}$
Question
This question is about global warming.
a. State one greenhouse gas, other than carbon dioxide.
b. Describe the effect of infrared (IR) radiation on carbon dioxide molecules.
c. Outline one approach to controlling industrial emissions of carbon dioxide.
▶️Answer/Explanation
Markscheme
a. Any one of:
methane, water, nitrous oxide/nitrogen(I) oxide, ozone, CFCs, sulfur hexafluoride [ $\checkmark$ ]
Note: Accept formulas.
Do not accept “NO $2_2$ “, “NOx”, “oxides of sulfur”.
b. bond length $/ \mathrm{C}=\mathrm{O}$ distance changes
OR
«asymmetric» stretching «of bonds»
OR
bond angle/OCO changes [ $\mathcal{V}$ ]
polarity/dipole «moment» changes
OR
dipole «moment» created «when molecule absorbs IR» $[\boldsymbol{V}]$
Note: Accept appropriate diagrams.
c. Any one of:
capture where produced «and stored» $[\boldsymbol{\sim}$
use scrubbers to remove $[\boldsymbol{\sim}]$
use as feedstock for synthesizing other chemicals $[\boldsymbol{\sim}$ ]
carbon credit/tax/economic incentive/fines/country specific action $[\boldsymbol{\sim}]$
use alternative energy
OR
stop/reduce use of fossil fuels for producing energy $[\boldsymbol{V}]$
use carbon reduced fuels «such as methane» $[\boldsymbol{V}]$
increase efficiency/reduce energy use $[\boldsymbol{\sim}]$
Question
Solar energy, which is freely available, is indispensable to life on earth.
a. Suggest another advantage and one disadvantage of solar energy.

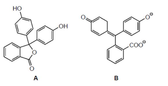
b. Light can be absorbed by chlorophyll and other pigments. Consider molecules $\mathbf{A}$ and $\mathbf{B}$ represented below.

Identify, with a reason, the molecule that absorbs visible light.
c.i. State a physical property of vegetable oils that makes them very difficult to use as fuel in internal combustion engines.
c.ii.Describe how vegetable oils can be converted to a more suitable fuel.
d. Contrast the importance of carbon dioxide and methane as greenhouse gases.
e. Explain, using an equation, the effect of increased carbon dioxide in the atmosphere on the pH of lake water.
▶️Answer/Explanation
Markscheme
a. Advantage:
renewable «energy source»
OR
does not produce greenhouse gases
OR
can be installed «almost» anywhere
$O R$
low maintenance costs
Disadvantage:
widely dispersed/not concentrated «form of energy»
$O R$
geography/weather/seasonal dependent
$O R$
not available at night
$O R$
energy storage is difficult/expensive
$O R$
toxic/hazardous materials used in production
$O R$
concerns about space/aesthetics/local environment where installed
$O R$
need to be «constantly» cleaned
Accept “can be used for passive/active heating”, “can be converted to electric energy”.
Accept any specific greenhouse gas name or formula for “greenhouse gases”.
Accept “solar cells require large areas”, “solar cell manufacture produces pollution/greenhouse gases”, “higher cost of solar cells “compared with traditional sources such as fossil fuels or hydroelectric)”.
b. B AND larger/more extensive «electronic» conjugation
OR
B AND «contains» more alternate single and double bonds
Accept more specific statements, such as “sp carbon in A prevents conjugation between aromatic rings”.
c.i. high viscosity
Accept “low volatility”, just “viscous/viscosity” OR “does not flow easily”.
c.ii.convert to esters of monoatomic alcohols
OR
react with short-chain alcohols «in the presence of acid or base»
Accept “convert to shorter “carbon chain” esters” OR “transesterification”.
Accept specific alcohols, such as methanol or ethanol.
d. carbon dioxide/ $\mathrm{CO}_2$ more/most abundant “GHG than methane/CH${ }_4$ “
OR
carbon dioxide/ $\mathrm{CO}_2$ has «much» longer atmospheric life «than methane/ $\mathrm{CH}_4$ »
methane/ $\mathrm{CH}_4$ «much» better/more effective at absorbing IR radiation «than carbon dioxide/ $\mathrm{CO}_2$ “
OR
methane $/ \mathrm{CH}_4$ has a greater greenhouse factor «than carbon dioxide/ $/ \mathrm{CO}_2$ »
OR
methane/ $\mathrm{CH}_4$ has a greater global warming potential/GWP «than carbon dioxide/CO
Accept “carbon dioxide/ $\mathrm{CO}_2$ contributes more to global warming “than methane/CH $\mathrm{CH}_4$ “.
e. $\mathrm{CO}_2(\mathrm{~g})+\mathrm{H}_2 \mathrm{O}(\mathrm{l}) \rightleftharpoons \mathrm{H}^{+}(\mathrm{aq})+\mathrm{HCO}_3^{-}(\mathrm{aq})$
OR
$\mathrm{CO}_2(\mathrm{~g}) \rightleftharpoons \mathrm{CO}_2(\mathrm{aq}) A N D \mathrm{CO}_2(\mathrm{aq})+\mathrm{H}_2 \mathrm{O}(\mathrm{I}) \rightleftharpoons \mathrm{H}^{+}(\mathrm{aq})+\mathrm{HCO}_3^{-}(\mathrm{aq})$
«increasing $\left[\mathrm{CO}_2(\mathrm{~g})\right]$ » shifts equilibrium/reaction to right $\boldsymbol{A N D} \mathrm{pH}$ decreases
Accept ” $\mathrm{H}_2 \mathrm{CO}_3$ (aq)” for ” $\mathrm{CO}_2(\mathrm{aq})+\mathrm{H}_2 \mathrm{O}(\mathrm{l})$ “.
Equilibrium arrows required for $M 1$.
State symbols required for $\mathrm{CO}_2(g) \rightleftharpoons \mathrm{CO}_2(a q)$ equation only for $M 1$.
Accept “concentration of $\mathrm{H}^{+} /\left[\mathrm{H}^{+}\right]$increases AND pH decreases” for M2.
Question
Explain what occurs at a molecular level during the absorption of infrared (IR) radiation by the sulfur dioxide molecule, \({\text{S}}{{\text{O}}_{\text{2}}}\).
Consider the IR spectra of the following three compounds.
\[\begin{array}{*{20}{l}} {{\text{A}} = {\text{C}}{{\text{H}}_{\text{3}}}{{{\text{(C}}{{\text{H}}_{\text{2}}}{\text{)}}}_{\text{3}}}{\text{COOH}}} \\ {{\text{B}} = {\text{C}}{{\text{H}}_{\text{3}}}{\text{COOC(C}}{{\text{H}}_{\text{3}}}{{\text{)}}_{\text{3}}}} \\ {{\text{C}} = {{{\text{(C}}{{\text{H}}_{\text{3}}}{\text{C}}{{\text{H}}_{\text{2}}}{\text{)}}}_{\text{3}}}{\text{COH}}} \end{array}\]

Determine which IR spectrum corresponds to each compound A, B and C. Explain your reasoning. IR data can be found in Table 17 of the Data Booklet.

▶️Answer/Explanation
Markscheme
(O–S–O) bond angle changes;
(S–O) bond (length) stretches;
Allow [1] for S–O bond vibrations if neither of the above points are scored.
A is Spectrum I and B is Spectrum III and C is Spectrum II;
A Spectrum I:
only spectrum with a (broad) peak in the range \({\text{2500–3300 (c}}{{\text{m}}^{ – 1}}{\text{)}}\) corresponding to the carboxylic acid functional group / –OH in carboxylic acid / H-bonding in carboxylic acid (so must be a carboxylic acid);
B Spectrum III:
peak in the range \({\text{1700–1750 (c}}{{\text{m}}^{ – 1}}{\text{)}}\) corresponding to the carbonyl/C=O group;
but no peak for O–H/no peak at \({\text{2500–3300 (c}}{{\text{m}}^{ – 1}}{\text{)}}\) or \({\text{3200–3600 (c}}{{\text{m}}^{ – 1}}{\text{)}}\);
C Spectrum II:
peak in the range \({\text{3200–3600 (c}}{{\text{m}}^{ – 1}}{\text{)}}\) corresponding to the alcohol functional group/OH / the only one without a peak at \({\text{1700–1750 (c}}{{\text{m}}^{ – 1}}{\text{)}}\) corresponding to a carbonyl/C=O group;
Examiners report
For part (b) candidates often missed discussing the change of dipole moment.
Part (d) illustrated candidates’ ability at linking wave numbers from IR spectra to correct bonds but they did not always provide adequate explanations for their choices.
Question
The greenhouse effect maintains the earth’s temperature, which makes the planet habitable. However, over the last 100 years the average temperature of the earth has increased by almost 1 °C. Most climate scientists believe this warming is due to increased levels of greenhouse gases in the atmosphere.
Two of the major greenhouse gases in the atmosphere are methane and carbon dioxide. State two other major greenhouse gases.
Discuss which two gases from the four gases in part (a) are the most significant for global warming.
Discuss two effects of global warming.
▶️Answer/Explanation
Markscheme
\({{\text{H}}_{\text{2}}}{\text{O}}\);
\({{\text{N}}_{\text{2}}}{\text{O}}\)/nitrous oxide/dinitrogen monoxide/nitrogen(I) oxide;
chlorofluorocarbons/CFCs/e.g. \({\text{CC}}{{\text{l}}_{\text{2}}}{{\text{F}}_{\text{2}}}\);
\({{\text{O}}_{\text{3}}}\)/ozone;
\({\text{S}}{{\text{F}}_{\text{6}}}\);
Do not accept NOx/nitrogen oxides.
Accept names or formulas.
Gas: \({{\text{H}}_{\text{2}}}{\text{O}}\) and reason: greatest abundance;
Gas: \({\text{C}}{{\text{O}}_{\text{2}}}/{{\text{H}}_{\text{2}}}{\text{O}}\) and reason: greatest abundance;
Gas: \({\text{C}}{{\text{H}}_{\text{4}}}/{{\text{N}}_{\text{2}}}{\text{O}}\) and reason: more effective at absorbing radiation;
Gas: \({\text{CFC}}/{\text{S}}{{\text{F}}_{\text{6}}}\) more effective at absorbing radiation/very long life in atmosphere;
thermal expansion of the oceans / changes in sea temperature affecting sea life;
melting of the polar ice-caps/glaciers / rising sea levels;
floods / droughts / changes in precipitation and temperature;
changes in migration patterns of animals / changes in distribution of species / species more likely to become naturalized;
changes in the yield/distribution of crops;
changes in the distribution of pests/insects/pathogens/disease-carrying organisms;
Do not accept “climate change”.
Examiners report
Some candidates were not able to provide two more major greenhouse gases. Many candidates stated \({\text{N}}{{\text{O}}_{\text{2}}}\) rather than \({{\text{N}}_{\text{2}}}{\text{O}}\) as a greenhouse gas.
Candidates also had some difficulty explaining which greenhouse gases were most significant. Candidates only gave the name of the most significant greenhouse gas but did not provide an explanation.
Although most candidates were able to discuss two effects of global warming, some candidates confused global warming with the depletion of the ozone layer. Candidates were also expected to discuss the effects of global warming rather than just restate the question by stating that the atmospheric temperature would increase.
Question
It is now widely accepted that the increased production of carbon dioxide is leading to global warming.
Describe how carbon dioxide acts as a greenhouse gas.
Discuss the influence of increasing amounts of greenhouse gases on the environment.
▶️Answer/Explanation
Markscheme
long wavelength / infrared/IR radiation from Earth’s surface (some of this radiation) is absorbed (by gas);
Do not accept “trapped” or blocked.
Do not award mark for “IR from sun”.
causes (increased) vibration in bonds;
re-radiates heat back to the Earth;
Accept “re-transmits”
Do not accept “reflects/bounces”.
melting of polar ice caps/glaciers melting;
thermal expansion of oceans / rise in sea levels / coastal flooding;
stated effect on agriculture (e.g. crop yields changed);
changes in flora/plant/fauna/animal/insect distribution/biodiveristy;
Accept specific example.
stated effect on climate (e.g. drought / increased rainfall / desertification);
Do not accept “climate change” alone.
Do not allow “increased temperature/global warming” (given in question).
Award [1] each for any three.
Examiners report
As in previous sessions, most answers revealed that candidates are much better at describing the effects of greenhouse gases than explaining their interaction with different forms of radiation. Many candidates lost marks in (a) due to imprecise responses.
The earth “reflects” and CO2 “traps” were, as in previous sessions, all too common responses.
Question
(a) Explain why the nitrogen molecule, \({{\text{N}}_2}\), does not absorb infrared radiation.
(b) Describe two vibrations in the water molecule that absorb infrared radiation.
▶️Answer/Explanation
Markscheme
(a) no change in dipole moment (bond polarity);
as vibration/stretching occurs;
Ignore bending if included.
(b) symmetrical stretching;
asymmetrical stretching;
bending;
Accept diagrams of the water molecules which illustrate the bending and stretching.
Allow [1] for stretching alone.
Examiners report
Generally well done, though in part (a) many candidates discussed the polarity of the molecule rather than whether the dipole moment would change when it vibrated; indeed many seemed to think that because it was non-polar it could not vibrate! The various bending and stretching modes of the water molecule appeared to be well known.
Question
The greenhouse effect maintains the Earth’s average temperature at a habitable level. The components of the Earth’s atmosphere responsible for this effect are called greenhouse gases.
(a) Major greenhouse gases are water vapour and carbon dioxide. State two other greenhouse gases.
(b) Describe how greenhouse gases cause the greenhouse effect.
(c) Discuss three possible implications of global warming on world food production.
▶️Answer/Explanation
Markscheme
(a) methane / \({\text{C}}{{\text{H}}_4}\);
nitrous oxide / \({{\text{N}}_2}{\text{O}}\);
ozone / \({{\text{O}}_3}\);
chlorofluorocarbons/CFCs / specific CFC / halocarbon /
hydrochlorofluorocarbons/HCFCs;
(b) greenhouse gases / named gas(es) are transparent to/allow to pass through short(er)-wavelength / high(er)-energy radiation / UV light from Sun / OWTTE;
greenhouse gases/named gas(es) absorb long(er)-wavelength/IR radiation from Earth / OWTTE;
(part of) absorbed radiation is re-radiated to Earth / OWTTE;
(c) droughts – food production decreases;
more rainfall – food production increases / may lead to flooding so decrease in food production;
warmer climate – food production increases;
severe weather / excessive rainfall / very hot climate – food production decreases;
deserts increase in size – food production decreases;
pests/insects multiply/spread over larger areas – food production decreases;
Allow other reasonable assumptions.
No mark if the effect on food/crops/plants is not explicitly stated.
Examiners report
Whilst most candidates could identify greenhouse gases correctly, many were distracted by gases associated with acid rain such as \({\text{S}}{{\text{O}}_{\text{x}}}\) and \({\text{N}}{{\text{O}}_{\text{x}}}\), a disappointingly small percentage could correctly explain how they affected the temperature of the earth with many confusing it with ozone depletion. Many candidates managed to score some marks on the effects of global warming, though often they failed to relate the change they were discussing to food production.
Question
Infrared (IR) spectroscopy is widely used as a technique in analytical chemistry.
The IR spectrum, mass spectrum and \(^{\text{1}}{\text{H}}\,{\text{NMR}}\) spectrum of an unknown compound, X, of molecular formula \({{\text{C}}_{\text{3}}}{{\text{H}}_{\text{6}}}{{\text{O}}_{\text{2}}}\) are as follows.

Explain what happens at a molecular level during the absorption of IR radiation by carbon dioxide, CO2.
(i) Identify the bonds responsible for the peaks A, B and C in the IR spectrum of X.
A:
B:
C:
(ii) In the mass spectrum of X, deduce which ions the m/z values at 74, 45 and 29 correspond to.
m/z = 74:
m/z = 45:
m/z = 29:
(iii) Identify the peak at 11.73 ppm in the \(^{\text{1}}{\text{H}}\,{\text{NMR}}\) spectrum.
(iv) Deduce the structure of X.
▶️Answer/Explanation
Markscheme
change in bond length / bond stretching / asymmetric stretch;
change in bond angle / bending (of molecule);
Allow [1 max] for only stating vibrations.
induces molecular polarity/dipole moment / OWTTE;
(i) A: O–H
B: C=O
C: C–O
Award [2] for three correct, [1] for two correct.
(ii) m/z = 74: \({{\text{C}}_2}{{\text{H}}_5}{\text{COO}}{{\text{H}}^ + }\) / \({{\text{C}}_3}{{\text{H}}_6}{\text{O}}_2^ + \);
m/z = 45: \({\text{COO}}{{\text{H}}^ + }\);
m/z = 29: \({{\text{C}}_2}{\text{H}}_5^ + \);
Penalize missing + charge once only.
Do not award mark for m/z = 29: CHO+.
(iii) –COOH
Accept –OH.
(iv) \({\text{C}}{{\text{H}}_3}{\text{C}}{{\text{H}}_2}{\text{COOH}}\) / \({\text{C}}{{\text{H}}_3}{\text{C}}{{\text{H}}_2}{\text{C}}{{\text{O}}_2}{\text{H}}\);
More detailed structural formula may be given.
Examiners report
In (b) the main misconception stated by candidates was that non-polar compounds do not absorb infrared radiation. Most candidates scored a mark for vibrations, but many misunderstood the difference between symmetric and asymmetric stretching.
Part (c)(i) was well answered by the great majority of candidates; giving C–H bond instead of O–H for A was a popular incorrect answer. In (ii) the most common mistake was missing the + sign. Most candidates answered (iii) and (iv) correctly.
Question
Carbon dioxide, methane and chlorofluorocarbons (CFCs) are well known greenhouse gases. Nitrogen trifluoride, \({\text{N}}{{\text{F}}_{\text{3}}}\), is thousands of times more effective at warming the atmosphere than an equal mass of carbon dioxide. \({\text{N}}{{\text{F}}_{\text{3}}}\) can be used in the manufacture of computer chips and thin-film solar photovoltaic cells.
Identify two greenhouse gases not mentioned above. One of the gases that you identify should contain a nitrogen atom. For each gas, state its source.
Greenhouse gas 1:
Source:
Greenhouse gas 2:
Source:
The methane produced by sheep and cows can contribute to global warming. In Australia, it is considered that sheep and cows produce approximately 14% of the country’s total greenhouse emissions. Explain how this methane is formed.
The following graph shows the annual increase in the concentration of atmospheric carbon dioxide recorded at Mauna Loa, Hawaii.

Explain why the graph is not smooth but involves annual fluctuations (shown in grey).
State one effect of global warming.
▶️Answer/Explanation
Markscheme
\({{\text{N}}_2}{\text{O}}\);
artificial fertilizers / combustion/decomposition of biomass;
Award [2 max] for one of the following pairs.
\({{\text{H}}_2}{\text{O}}\);
evaporation of oceans/lakes;
OR
\({\text{S}}{{\text{F}}_6}\);
insulator in electrical industry;
OR
\({{\text{O}}_3}\);
photochemical smog / electrical generators;
Allow correct names (e.g. ozone) instead of formulas.
Sources must match gases for [1].
breakdown of grass in animals stomachs / microbes in animals stomachs / by-product of fermentative digestion in rumen (and hind gut);
seasonal since plants grow in spring and decay in autumn/fall / amount of \({\text{C}}{{\text{O}}_{\text{2}}}\) in the atmosphere depends on (natural processes such as) photosynthesis, which happens (more) in spring and summer than in autumn/fall and winter;
rise in sea levels / thermal expansions of the oceans;
melting polar ice-caps/glaciers;
changes in climatic patterns / OWTTE;
changes in agriculture and bio-distribution / OWTTE;
Allow specific changes.
Examiners report
Part (a) required candidates to identify two greenhouse gases not mentioned already in the stem of the question. It was also stated that one of these gases should contain a nitrogen atom. Only the best candidates could identify two greenhouse gases and their sources. There were many incorrect responses, and many responses that did not meet the requirements of the question.
Parts (b) and (c) indicated that candidates did not have sufficient experiences of real situations to set their knowledge in context, and few candidates linked the annual fluctuations to seasonal changes in photosynthesis. Some G2 comments reflected that teachers felt these questions were not directly related to the syllabus, but E.3.2 indicates that candidates should have familiarity with these sources.
Parts (b) and (c) indicated that candidates did not have sufficient experiences of real situations to set their knowledge in context, and few candidates linked the annual fluctuations to seasonal changes in photosynthesis. Some G2 comments reflected that teachers felt these questions were not directly related to the syllabus, but E.3.2 indicates that candidates should have familiarity with these sources.
Nearly all candidates could state one effect of global warming in (d).
Question
One type of molecular vibration that occurs when \({\text{C}}{{\text{O}}_{\text{2}}}\) molecules are exposed to IR radiation is illustrated in the diagram below.

Identify two other types of molecular vibrations that occur when \({\text{C}}{{\text{O}}_{\text{2}}}\) molecules are exposed to IR radiation. Illustrate your answer with appropriate diagrams.
▶️Answer/Explanation
Markscheme

Award [1] for stretching and bending without diagrams.
Award [1] for clearly illustrated diagrams without mention of stretching and bending.
Do not penalize if single lines drawn between atoms.
Examiners report
This part was answered generally very well, with little evidence of misunderstanding the chemistry involved.
Question
The temperature of the Earth is increasing. There is considerable scientific evidence to suggest this is due to an increase in the concentration of greenhouse gases as a result of human activity.
Explain how this enhanced greenhouse effect causes the average temperature of the Earth to increase.
Compare the contributions of carbon dioxide and methane to the enhanced greenhouse effect.
▶️Answer/Explanation
Markscheme
incoming solar radiation is short(er) wavelength/high(er) frequency/high(er) energy radiation / UV radiation;
(re-)radiated/emitted (by the Earth’s surface) as long(er) wavelength/low(er) frequency/ low(er) energy/IR radiation;
the energy is absorbed in bonds in greenhouse gases / the molecules vibrate when IR radiation is absorbed;
the energy is (re-)radiated/(re-)emitted as IR radiation;
carbon dioxide is more abundant;
methane is more effective at absorbing IR radiation;
Award [1] for statement that “CO2 is more abundant and CH4 is more effective”
with no mention of “at absorbing IR radiation”.
Accept converse arguments.
Examiners report
It was surprising to see that many candidates could not score full marks in a question on the greenhouse effect which appears often in examination papers. The use of unacceptable language (reflecting, bouncing, trapping, etc.) cost many candidates marks.
Although most knew that carbon dioxide was more abundant, far fewer could clearly express the point about methane being better at absorbing IR radiation.
Question
The temperature of the Earth’s surface is currently increasing. Many scientists attribute this to an increase in the levels of greenhouse gases in the atmosphere as a result of human activity.
Explain how the interaction of greenhouse gases in the atmosphere with radiation could lead to an increase in the temperature of the Earth’s surface.
Suggest why carbon dioxide is the greenhouse gas most frequently connected with the effect of human activity.
Other than carbon dioxide and water, identify one other greenhouse gas and state its source.
▶️Answer/Explanation
Markscheme
shorter wavelength/UV/high energy radiation from sun passes through;
long wavelength/infrared/IR radiation from Earth’s surface (some of this radiation) is absorbed (by gas);
Do not accept “trapped” or “blocked”.
Do not accept “IR from sun”.
causes (increased) vibration in bonds;
re-radiates heat back to the Earth;
Do not accept “reflects/bounces”.
higher concentration / more abundant/increased combustion of fossil fuels (than other anthropogenic sources);
methane/\({\text{C}}{{\text{H}}_{\text{4}}}\);
decomposition of organic matter / animals / oil fields / gas fields / intensive farming / landfills;
OR
dinitrogen monoxide/nitrous oxide/\({{\text{N}}_{\text{2}}}{\text{O}}\);
Do not accept NOx, NO, NO2, nitrogen oxides.
decomposition of organic matter/fertilizers;
OR
ozone/\({{\text{O}}_{\text{3}}}\);
photochemical smog;
OR
CFCs;
aerosol cans / air conditioners / solvents / foam production / refrigerants;
OR
sulfur hexafluoride/\({\text{S}}{{\text{F}}_{\text{6}}}\);
electrical insulator;
OR
nitrogen trifluoride/\({\text{N}}{{\text{F}}_{\text{3}}}\);
production of electronic components;
[1] for any correct gas and [1] for the corresponding source.
Examiners report
There seems to be a very poor understanding of the interaction of greenhouse gases with radiation although this question has frequently appeared in the examinations. A surprising number quoted ozone depletion and the use of terms often used in the media e.g. “trapped”, “bounces”.
In part (b), the candidates failed to state the increased combustion of fossil fuels.
Although the question stated “other than carbon dioxide and water identify one other green house gas”, many candidates identified \({\text{C}}{{\text{O}}_{\text{2}}}\) and \({{\text{H}}_{\text{2}}}{\text{O}}\).
Question
Increasing concentrations of greenhouse gases are considered to cause global warming. Ozone depletion is another environmental concern.
Identify a gas that is both a greenhouse gas and a cause of ozone depletion.
▶️Answer/Explanation
Markscheme
specific CFC compound;
Accept CFC/chlorofluorocarbon.
Allow water vapour.
Examiners report
Few candidates gave a CFC compound in part (a). Candidates were more familiar with the impact of global warming than they were with the impact of ozone depletion.
Question
The main ore used to produce aluminium by electrolysis is bauxite. Bauxite is mainly aluminium hydroxide, and contains iron(III) oxide and titanium(IV) oxide as impurities.
Explain how pure aluminium oxide is obtained from bauxite.
Explain why sodium hexafluoroaluminate, \({\text{N}}{{\text{a}}_{\text{3}}}{\text{Al}}{{\text{F}}_{\text{6}}}\), (cryolite) is added to the aluminium oxide before electrolysis takes place to produce aluminium.
State the half-equations for the reactions taking place at the positive and negative electrodes during the production of aluminium by electrolysis.
Positive electrode (anode):
Negative electrode (cathode):
Before the introduction of the electrolytic method by Hall and Héroult in the 1880s it was very difficult to obtain aluminium metal from its ores. Suggest one way in which it was achieved.
The worldwide production of aluminium by electrolysis makes a significant impact on global warming. Suggest two different ways in which the process increases the amount of carbon dioxide in the atmosphere.
▶️Answer/Explanation
Markscheme
(bauxite) is reacted with (concentrated) sodium hydroxide/NaOH (solution at high temperature);
forms sodium aluminate / \({\text{Al(OH}}{{\text{)}}_3} + {\text{O}}{{\text{H}}^ – } \to {\text{Al(OH)}}_4^ – \);
Accept both ionic and non-ionic equations and different, correct representations of the aluminate ion (Al(OH )4–, AlO2–).
solution is filtered / insoluble impurities removed (by filtration);
reaction reversed by cooling / diluting solution / adding water;
Accept passing CO2 through the solution.
mixture seeded with alumina crystals;
pure hydroxide precipitated / \({\text{Al(OH)}}_4^ – \to {\text{Al (OH}}{{\text{)}}_3} + {\text{O}}{{\text{H}}^ – }\);
Accept both ionic and non-ionic equations and different, correct representations of the aluminate ion (Al(OH)4–, AlO2–).
(pure) \({\text{Al(OH}}{{\text{)}}_3}\) heated / \({\text{2Al(OH}}{{\text{)}}_3} \to {\text{A}}{{\text{l}}_2}{{\text{O}}_3} + {\text{3}}{{\text{H}}_2}{\text{O}}\);
Award [1 max] for “Alumina is soluble in alkali, but impurities are not” / OWTTE.
Ignore state symbols.
melting point of the cryolite solution is much lower than the melting point of alumina/Al2O3 / it lowers the melting point (of the mixture);
Do not allow lowers melting point of aluminium.
Do not allow lowers required/operating temperature.
Accept improves conductivity of the electrolyte/aluminium oxide.
Positive electrode (anode):
\({\text{2}}{{\text{O}}^{2 – }} \to {{\text{O}}_2} + {\text{4}}{{\text{e}}^ – }/{{\text{O}}^{2 – }} \to \frac{1}{2}{{\text{O}}_2} + {\text{2}}{{\text{e}}^ – }/{\text{C}} + {\text{2}}{{\text{O}}^{2 – }} \to {\text{C}}{{\text{O}}_2} + {\text{4}}{{\text{e}}^ – }\);
Negative electrode (cathode):
\({\text{A}}{{\text{l}}^{3 + }} + {\text{3}}{{\text{e}}^ – } \to {\text{Al}}\);
Allow e instead of e–.
Accept multiples of the correct equations, such as 2Al3+ + 6e– \( \to \) 2Al .
Award [1 max] if correct equations but at wrong electrodes.
Ignore state symbols.
by reduction with a more reactive metal/metal above Al in electrochemical
series/ECS/reactivity series / OWTTE;
Accept equations for displacement reactions of Al2O3 with more reactive metals.
graphite/carbon electrodes converted/oxidized (into CO2);
the fossil fuels used to provide energy/transport (produce CO2);
Examiners report
This question was probably the worst answered question on the whole paper. In the first section many candidates confused the purification process with the electrolytic extraction and answers that scored any marks were rare. Many candidates knew the reasons for the addition of cryolite, but it was unusual to find both electrode equations correct and balanced. Hardly any had the lateral thinking skills to suggest displacement by a more reactive metal as a possible way of obtaining aluminium, but most students knew of at least one way in which aluminium production resulted in the emission of carbon dioxide.
Question
Carbon dioxide, methane, ozone, chlorofluorocarbons (CFCs) and water are examples of greenhouse gases.
Describe how these gases contribute to the greenhouse effect.
(i) Identify by chemical formula one other greenhouse gas not mentioned above.
(ii) State the source of this gas.
Many scientists claim that global warming is associated with the increasing concentration of greenhouse gases in the atmosphere. Other than temperature change, state two effects of global warming.
▶️Answer/Explanation
Markscheme
greenhouse gases are transparent to/allow passage of short(er)-wavelength/high(er)-energy radiation/UV light from the Sun / OWTTE;
greenhouse gases absorb long(er)-wavelength/IR radiation from the Earth / OWTTE;
(part of) absorbed radiation is re-radiated back to the Earth / OWTTE;
Do not accept reflected or trapped.
Award [2] for any of the following combinations:
(i) \({{\text{N}}_{\text{2}}}{\text{O}}\);
(ii) combustion/burning of biomass / nitrogenous/artificial/synthetic fertilizers / bacterial action;
OR
(i) \({\text{S}}{{\text{F}}_{\text{6}}}\);
(ii) electronics industry / electrical switches / production of magnesium / gas-insulated substations;
OR
(i) \({\text{N}}{{\text{F}}_{\text{3}}}\);
(ii) electronics industry / manufacture of semi-conductors / LCDs/liquid-crystal displays / thin-film solar cells / solar panels / chemical lasers;
OR
(i) \({\text{S}}{{\text{F}}_{\text{5}}}{\text{C}}{{\text{F}}_{\text{3}}}\);
(ii) (by-product from SF\(_6\) in) high-voltage equipment / discharge / by-product of fluorochemical manufacture;
Award [1] for any two of the following:
melting of polar ice-caps/glaciers;
changes in yield and distribution of crops / changes in agriculture/biodiversity / changes in habitats;
droughts / desertification / flooding / decreased water quality due to flooding / lack of fresh drinking water / changes in precipitation;
Allow climate change.
rising sea-levels / thermal expansion of oceans / decreased dissolved oxygen / changes in distribution of pests and disease-carrying organisms / increased spread of diseases by insects/mosquitos moving to new areas / chance of malaria;
Examiners report
Many candidates struggled with this question; they discussed the destruction of ozone instead of the greenhouse effect. Responses indicated poor understanding of the role of UV and IR and the terms trapped and reflected were often used to explain the role of greenhouse gases. Some candidates neglected to properly discuss how the energy (UV) enters the atmosphere through the gases and how the energy (IR) is absorbed from the Earth (not the sun) and re-radiated back to the Earth. Very few candidates scored 3 marks for part (a). Candidates also struggled with identifying other greenhouse gases for part (b). Many listed the gases in the stem that they were directed not to use; many incorrect gases were identified (CO, \({\text{N}}{{\text{O}}_{\text{2}}}\), \({\text{S}}{{\text{O}}_{\text{2}}}\), \({\text{S}}{{\text{O}}_{\text{3}}}\)). Majority of the candidates failed to score the two marks. Candidates demonstrated a good understanding of the effects of global warming, scoring the mark for part (c).
Question
Suggest why the temperature decrease of the Earth’s surface after sunset is less when the weather is cloudy than when there are no clouds.
▶️Answer/Explanation
Markscheme
infrared/IR radiation emitted by (warm) Earth;
water in clouds is a greenhouse gas / O-H bonds(in water) absorb infrared/IR radiation;
Infrared/IR radiation is absorbed and re-radiated by water (less total loss of IR);
Award [1 max] for discussing clouds acting as heat insulators.
Examiners report
Some candidates related the effect to the water in the clouds and its action as a greenhouse gas. Many candidates gave answers that did not acknowledge that it was after sunset. Some of the descriptions of the greenhouse effect lacked the detail required by the markscheme.
Question
Describe how the greenhouse effect causes the atmosphere of the Earth to increase in temperature.
Identify one greenhouse gas other than \({\text{C}}{{\text{O}}_{\text{2}}}\) and \({{\text{H}}_{\text{2}}}{\text{O}}\) and suggest a significant source.
▶️Answer/Explanation
Markscheme
incoming solar radiation is short wavelength/high frequency/higher energy/UV;
(re-)radiated/emitted (by Earth’s surface) as long wavelength/low frequency/low energy/IR radiation;
energy absorbed by (bonds in) greenhouse gases / molecules vibrate when IR radiation absorbed;
energy (re-)radiated/(re-)emitted as IR radiation some of which returns back to Earth;
Do not accept reflected, bounced or trapped.
\({\text{C}}{{\text{H}}_{\text{4}}}\) / methane;
decomposition of organic matter / livestock/ruminant/cows/sheep / manure / swamps/marshes / rice paddies / oil/gas field / anaerobic microbial activity in lakes/ponds / composting;
OR
\({{\text{N}}_{\text{2}}}{\text{O}}\) / nitrogen(I) oxide/dinitrogen monoxide/nitrous oxide;
bacterial decomposition/action / combustion/burning of biomass / artificial/nitrogeneous/synthetic fertilizers;
OR
CFCs / chlorofluorocarbons;
solvents / production of polymers / refrigerants / foaming agents / propellants/aerosols / air conditioning units;
OR
\({\text{S}}{{\text{F}}_{\text{6}}}\) / sulfur hexafluoride;
electronics industry / high voltage/electrical switches / circuit breakers / electrical generators / insulator used in electrical industrial applications/gas-insulated substations / production of magnesium / OWTTE;
Accept any other correct answers such as “nitrogen trifluoride/NF3 used in electronics industry / manufacture of semi-conductors/computer chips/circuits / (thin-film) solar/photovoltaic cells / solar panels / LCD televisions / chemical lasers” OR “trifluoromethyl sulfur pentafluoride/SF5CF3 formed (as by-product from SF6) in high-voltage equipment / by-product of fluorochemical manufacture”.
M2 can only be scored if M1 correct.
Examiners report
The greenhouse effect has been asked on several occasions in the past and there have been widespread references to the performance of candidates on this question in previous subject reports. Hence it was extremely disappointing and surprising to see such poor answers.
Journalistic type answers were common and vague terminology such as bounced and reflected were often used. In addition answers were sometimes unclear – for example some candidates did not mention incoming solar radiation and just blankly alluded to the involvement of UV rays. In contrast (b) was well answered. The most common mistake involved candidates stating \({\text{N}}{{\text{O}}_{\text{2}}}\) instead of \({{\text{N}}_{\text{2}}}{\text{O}}\), a classic mistake on IB Chemistry papers.
Question
Climate change is a current global topic of debate.
Water and carbon dioxide are greenhouse gases present in significant quantities in the atmosphere. Identify one other greenhouse gas and its source.
Suggest the two factors that influence the relative greenhouse effect of a gas.
▶️Answer/Explanation
Markscheme
Any one of:

Do not accept other gases such as SOx and NOx – generally reckoned to be insignificant.
Any two for [1] of:
abundance/concentration (in atmosphere)
strength/intensity/power of IR absorbance / ability to absorb heat radiation
lifetime/duration / rate of depletion/decomposition in atmosphere;
Examiners report
Many candidates identified another greenhouse gas with methane and CFCs being the most popular answers.
Most candidates identified abundance as a factor which influences the relative greenhouse effect of a gas but failed to identify a second factor. Few candidates were able to clearly articulate the effect and the consequences of increasing amounts of greenhouse gases. In addition, there was often confusion with ozone depletion and acid rain.
Question
Vegetable oils and diesel fuel have similar energy content but vegetable oils are not usually used as fuels in internal combustion engines.
Transesterification reactions allow waste cooking oils to be converted to biofuels. Identify a reagent and catalyst required for this conversion.
Reagent:
Catalyst:
Deduce the equation for the reaction that occurs assuming that the vegetable oil has the formula drawn below.
Scientists around the world conduct research into alternatives to fossil fuels. Suggest why collaboration is important.
▶️Answer/Explanation
Markscheme
Reagent:
methanol/CH3OH
OR
ethanol/C2H5OH
Do not accept just “alcohol”.
Catalyst:
strong acid
OR
strong base
Accept any strong acid such as sulfuric acid/ H2SO4 .
Accept any strong base such as sodium hydroxide/NaOH.
correct structure of ester product
formula of glycerol AND balanced equation
Do not penalize omission of equilibrium sign.
Accept use of ethanol/other alcohol as reactant with the corresponding products.
Accept full or condensed structural formulas of products.
different solutions/statistical data can be compared/combined
OR
best ideas can be shared to arrive at global/local solutions
OR
acceleration of research
OR
discoveries become available to everyone
OR
improved confidence in validity of results «if multiple scientists/research groups are involved»
OR
money/effort/time is not wasted duplicating work others have already done
Do not accept scientists simply working together to share ideas – look for a little more detail.
Accept other valid suggestions.
Question
Atmospheric carbon dioxide and aqueous carbon dioxide in the oceans form a heterogeneous equilibrium.
Explain the effect of increasing concentrations of atmospheric carbon dioxide on the pH of the oceans, including an equation in your answer.
▶️Answer/Explanation
Markscheme
CO2(g)+H2O(l) H+(aq)+HCO3–(aq)
OR
CO2(g)CO2(aq) AND CO2(aq)+H2O(l)
H+(aq)+HCO3–(aq)
«increasing [CO2]» shifts equilibrium/reaction to right
pH decreases
Accept “H2CO3 (aq)” for “CO2 (aq) + H2O(l)”.
Examiners report
Question
Carbon dioxide, CO2, is a greenhouse gas. Outline, in molecular terms, how carbon dioxide molecules absorb infrared radiation.
▶️Answer/Explanation
Markscheme
bond length/C=O changes
OR
«asymmetric» stretching «of bonds»
OR
bond angle/OCO changes/bends
polarity/dipole «moment» changes
OR
a dipole «moment» is created «when the molecule absorbs IR»
Accept appropriate diagrams.
Examiners report
Question
Carbon dioxide and water vapour are greenhouse gases produced by the combustion of fossil fuels.
Explain the effect of the increasing concentration of atmospheric carbon dioxide on the acidity of oceans.
(i) Describe the changes that occur at the molecular level when atmospheric carbon dioxide gas absorbs infrared radiation emitted from the Earth’s surface.
(ii) Other than changes to the acidity of oceans, suggest why the production of carbon dioxide is of greater concern than the production of water vapour.
▶️Answer/Explanation
Markscheme
Any two of:
CO2 (g) \(\mathop \rightleftharpoons \limits^{{{\text{H}}_{\text{2}}}{\text{O}}\,{\text{(l)}}} \) CO2 (aq)
CO2 (aq) + H2O (l) \( \rightleftharpoons \) H+ (aq) + HCO3– (aq)
OR
HCO3– AND H+ are formed «by dissolved CO2»
«increasing [CO2]» shifts equilibrium to right/increases acidity/decreases pH
H2O (l) not required over equilibrium sign for M1.
State symbols required in the equation in M1.
Accept “H2CO3 ” at either side of the equilibrium in M2.
Equilibrium sign required for M1 but not for M2.
i
bond length/C=O changes
OR
«asymmetric» stretching «of bonds»
OR
bond angle/OCO changes
Accept “molecule bends” for M1.
Accept appropriate diagrams
photon re-emitted in random direction
OR
polarity/dipole «moment» changes
OR
dipole «moment» created «when molecule absorbs IR»
ii
CO2 gas «ten times» more effective as greenhouse gas/GHG than H2O
OR
CO2 gas levels keep increasing «unlike H2O»
OR
CO2 has higher Global Warming Potential/GWP than H2O
OR
CO2 stays in the atmosphere for longer than H2O
Accept converse arguments.
Question
A link between the combustion of fossil fuels and an increase in the temperature of the Earth’s atmosphere was proposed over a century ago.
Suggest why it is only in recent years that specific predictions of the future effects of fossil fuel combustion have been made.
Carbon dioxide has two different bond stretching modes illustrated below.

Predict, with an explanation, whether these stretching modes will absorb infrared radiation.
Outline, giving the appropriate equation(s), how increasing levels of carbon dioxide will affect the pH of the oceans.
Many combustion processes also release particulate matter into the atmosphere. Suggest, giving your reason, how this might affect the temperature of the Earth’s surface.
▶️Answer/Explanation
Markscheme
computers can now carry out more complex calculations
OR
better understanding of the interactions between the various systems involved
OR
clear evidence of global warming
OR
«reliable» global temperature data now available
OR
techniques have been available to monitor carbon dioxide levels
Accept “better/faster computers”.
Accept “better modelling”.
Accept “better/more reliable/consistent data”.
Accept “better measuring techniques”.
Accept other scientifically based (not politically based) reasons.
Accept if specific relevant data is given.
Do not accept “increased combustion of fossil fuels” or “increased concerns about global warming”.
[1 mark]
symmetric stretching will not absorb IR
OR
asymmetric stretching will absorb IR
change in polarity/dipole «moment» required «to absorb IR»
[2 marks]
CO2(aq) + H2O(l) \( \rightleftharpoons \) H+(aq) + HCO3–(aq) «and pH decreases»
OR
CO2(aq) + H2O(l) \( \rightleftharpoons \) H2CO3(aq) AND H2CO3(aq) \( \rightleftharpoons \) H+(aq) + HCO3–(aq) «and pH decreases»
Accept reversible or non-reversible arrows for all.
[1 mark]
reduce it AND absorbing/reflecting sunlight
Accept “reduce it because of global dimming”.
Accept “reduce it AND blocking sunlight”.
[1 mark]
Question
The combustion of fossil fuels produces large amounts of CO2, a greenhouse gas.
The diagram below illustrates a range of wavelengths in the electromagnetic spectrum.
Synthesis gas, or syngas, mainly composed of CO(g) and H2(g), is an alternative form of fuel. It can be produced by coal or biomass gasification, passing steam over the source material in a low oxygen environment.
Identify which region, A or B, corresponds to each type of radiation by completing the table.
Oceans can act as a carbon sink, removing some CO2(g) from the atmosphere.
CO2(g) \( \rightleftharpoons \) CO2(aq)
Aqueous carbon dioxide, CO2(aq), quickly reacts with ocean water in a new equilibrium reaction. Construct the equilibrium equation for this reaction including state symbols.
Describe how large amounts of CO2 could reduce the pH of the ocean using an equation to support your answer.
Suggest an equation for the production of syngas from coal.
The Fischer-Tropsch process, an indirect coal liquefaction method, converts CO(g) and H2(g) to larger molecular weight hydrocarbons and steam.
Deduce the equation for the production of octane by this process.
Suggest a reason why syngas may be considered a viable alternative to crude oil.
▶️Answer/Explanation
Markscheme
Accept “B” alone for incoming radiation from sun.
All three correct answers necessary for mark.
[1 mark]
CO2(aq) + H2O(l) \( \rightleftharpoons \) H2CO3(aq)
State symbols AND equilibrium arrow required for mark.
Accept
CO2(aq) + H2O(l) \( \rightleftharpoons \) H+(aq) + HCO3–(aq).
CO2(aq) + H2O(l) \( \rightleftharpoons \) 2H+(aq) + CO32–(aq).
[1 mark]
CO2(aq) + H2O(l) \( \rightleftharpoons \) 2H+(aq) + CO32–(aq)
OR
CO2(aq) + H2O(l) \( \rightleftharpoons \) H+(aq) + HCO3–(aq)
OR
H2CO3(aq) + H2O(l) \( \rightleftharpoons \) H3O+(aq) + HCO3–(aq)
OR
H2CO3(aq) \( \rightleftharpoons \) H+(aq) + HCO3–(aq)
OR
H2CO3(aq) + 2H2O(l) \( \rightleftharpoons \) 2H3O+(aq) + CO32–(aq)
OR
H2CO3(aq) \( \rightleftharpoons \) 2H+(aq) + CO32–(aq)
equilibrium shifts to the right causing increase in [H3O+]/[H+ ] «thereby decreasing pH»
Equilibrium sign needed in (b) (ii) but penalize missing equilibrium sign once only in b (i) and (ii).
Do not accept “CO2(aq) + H2O(l) \( \rightleftharpoons \) H2CO3(aq)” unless equation was not given in b (i).
[2 marks]
C(s) + H2O(g) → CO(g) + H2(g)
OR
3C(s) + H2O(g) + O2(g) → 3CO(g) + H2(g)
OR
4C(s) + 2H2O(g) + O2(g) → 4CO(g) + 2H2(g)
OR
5C(s) + H2O(g) + 2O2(g) → 5CO(g) + H2(g)
Accept other correctly balanced equations which produce both CO AND H2.
[1 mark]
8CO(g) + 17H2(g) → C8H18(l) + 8H2O(g)
[1 mark]
coal more plentiful than crude oil
OR
syngas can be produced from biomass/renewable source
OR
syngas can undergo liquefaction to form octanes/no need to transport crude
OR
syngas can be produced by gasification underground, using carbon
OR
capture/storage «to not release CO2 to the atmosphere»
OR
coal gasification produces other usable products/slag
[1 mark]
Question
Much of our energy needs are still provided by the refined products of crude oil.
“Knocking” in an automobile (car) engine can be prevented by increasing the octane number of the fuel. Explain, including an equation with structural formulas, how heptane, C7H16, could be chemically converted to increase its octane number.
Many like to refer to our “carbon footprint”. Outline one difficulty in quantifying such a concept.
Climate change or global warming is a consequence of increased levels of carbon dioxide in the atmosphere. Explain how the greenhouse effect warms the surface of the earth.
Outline how water and carbon dioxide absorb infrared radiation.
▶️Answer/Explanation
Markscheme
CH3CH2CH2CH2CH2CH2CH3 → CH3CH(CH3)CH2CH(CH3)2
OR
CH3CH2CH2CH2CH2CH2CH3 →
isomerisation/reforming/platforming/cracking
Pt/Re/Rh/Pd/Ir
OR
catalyst
A structural formula is only required for the organic product, not heptane.
Accept any correctly balanced equation showing increased branching or cyclization OR aromatization OR cracking.
Suitable supports for catalysts may be included for M3 (eg silica, alumina, zeolite) but the symbol or name of an appropriate metal must be given (typically a noble metal). Ignore temperature and other conditions.
Award M2 AND M3 for “catalytic isomerisation” OR “catalytic reforming” OR “catalytic cracking”.
which specific carbon-based greenhouse gases are included
OR
whether non-carbon based greenhouse gases should be included
OR
whether CO/incomplete combustion should be included «as can be oxidized to CO2»
OR
how to “sum” all steps in a process creating CO2
OR
difficult to determine both direct and indirect production of GHG/greenhouse gas emissions
Ignore reference to geopolitical issues (eg false recording of data by governments etc.).
Accept “difficult to measure all sources of CO2” but not “difficult to measure CO2 released in atmosphere”.
Any three of:
incoming solar radiation is short wavelength/high frequency/high energy/UV
radiated/emitted as long wavelength/low frequency/low energy/IR «radiation»
energy/IR «radiation» absorbed by «bonds in» greenhouse gases
energy radiated/emitted as IR «radiation» some of which returns back to Earth
Do not accept “reflected” OR “bounced” OR “trapped”.
[Max 3 Marks]
bond length changes
OR
«asymmetric» stretching «of bonds»
OR
bond angle changes/bends
OR
polarity/dipole «moment» changes
OR
a dipole «moment» is created «when the molecule absorbs IR»
Accept “vibration of bonds” OR appropriate diagram
Question
Greenhouse gases absorb infrared radiation.
Identify one naturally occurring greenhouse gas, other than carbon dioxide or water vapour, and its natural source.
Formulate an equation that shows how aqueous carbon dioxide produces hydrogen ions, H+(aq).
The concentrations of oxygen and nitrogen in the atmosphere are much greater than those of greenhouse gases. Outline why these gases do not absorb infrared radiation.
▶️Answer/Explanation
Markscheme

Accept “nitrous oxide”.
Accept “electrical discharges/lightning”.
[2 marks]
CO2(aq) + H2O(l) \( \rightleftharpoons \) H+(aq) + HCO3–(aq)
OR
CO2(aq) + H2O(l) \( \rightleftharpoons \) H2CO3(aq) AND H2CO3(aq) \( \rightleftharpoons \) H+(aq) + HCO3–(aq)
Accept CO2(aq) + H2O(l) \( \rightleftharpoons \) 2H+(aq) + CO32–(aq).
Accept equations with single arrow.
[1 mark]
no change in polarity/dipole «moment when molecule vibrates»
Do not accept “non-polar” or “no dipole moment” – idea of change must be there.
[1 mark]
Question
Carbon dioxide is a product of the combustion of petrol.
Explain the molecular mechanism by which carbon dioxide acts as a greenhouse gas.
Discuss the significance of two greenhouse gases, other than carbon dioxide, in causing global warming or climate change.
▶️Answer/Explanation
Markscheme
Any three of:
IR/long wavelength/low frequency radiation radiated/emitted by the Earth’s «surface absorbed in the bonds»
bond length/C=O changes
OR
«asymmetric» stretching of bonds
OR
bond angle/OCO changes
polarity/dipole «moment» changes
OR
dipole «moment» created «when molecule absorbs IR»
«some of» energy is then re-radiated towards «the surface of the» Earth
Do not accept terms such as “reflect” OR “bounced” OR “trapped”.
[3 marks]
Any two of:
H2O AND «relatively» greater abundance/stable concentration/less effective at absorbing radiation/lower GWP so not much overall effect on global warming/climate change
CH4/N2O/CFCs/SF6/O3/HCFCs AND more effective «than CO2» at absorbing radiation/higher GWP so could contribute to global warming/climate change
PFCs/SF6/NF3/Some CFCs AND have very long life in atmosphere so could contribute «in the future» to global warming/climate change
Accept names or formulas.
Accept two different gases with the same effect for [2].
Award [1 max] for identifying the names/formulas of two greenhouse gases.
Accept “greenhouse factor” for “GWP” but not just “greenhouse effect”.
For M3, do not allow “CFC” alone as only some have long lifetimes (eg, CFC-115, CFC-113).
[2 marks]

