Question
\text { A mixture of } 0.100 \mathrm{~mol} \text { ethanal, } 0.100 \mathrm{~mol} \text { ethanol and } 0.200 \mathrm{~mol} \text { ethanoic acid is fractionally distilled. }

a(i)Calculate the mole fraction of ethanal in the mixture.
a(ii)The vapour pressure of pure ethanal at $20^{\circ} \mathrm{C}$ is $101 \mathrm{kPa}$.
Calculate the vapour pressure of ethanal above the liquid mixture at $20^{\circ} \mathrm{C}$.
b. Describe how this mixture is separated by fractional distillation.
▶️Answer/Explanation
Markscheme
$$
\mathrm{a}(\mathrm{i}) \ll \chi_{\text {ethanal }}=\frac{0.100}{0.100+0.100+0.200}=» 0.250
$$
Accept ” $25 \%$ “.
$$
\mathrm{a}(\mathrm{ii}) \ll \rho_{\text {ethanal }}=0.250 \times 101=» 25.3\langle\mathrm{kPa} »
$$Markscheme
$$
\mathrm{a}(\mathrm{i}) \ll \chi_{\text {ethanal }}=\frac{0.100}{0.100+0.100+0.200}=» 0.250
$$
Accept “25\%”.
$$
\mathrm{a}(\mathrm{ii}) \mathrm{e}_{\mathrm{ethanal}}=0.250 \times 101=» 25.3\langle\mathrm{kPa} »
$$
b. Any two of:
continuous evaporation and condensation
OR
increased surface area in column helps condensation
Accept “glass “beads» aid condensation «in fractionating column»”.
temperature decreases up the fractionating column
liquids condense at different heights
OR
liquid of lowest boiling point collected first
OR
liquid with weakest intermolecular forces collected first
OR
most volatile component collected first
OR
fractions/liquids collected in order of boiling point/volatility
Accept “liquids collected in order of molar mass”.
Question
Body fluids have different $\mathrm{pH}$ values.
a. Identify the compound responsible for the acidity of gastric juice, and state whether it is a strong or weak acid.
b. An antacid contains calcium carbonate and magnesium carbonate.
Write the equation for the reaction of magnesium carbonate with excess stomach acid.
c. Outline how ranitidine reduces stomach acidity.
d. Calculate the $\mathrm{pH}$ of a buffer solution which contains $0.20 \mathrm{~mol} \mathrm{dm}^{-3}$ ethanoic acid and $0.50 \mathrm{~mol} \mathrm{dm}^{-3}$ sodium ethanoate. Use section 1 of the data booklet.
$\mathrm{p} K_{\mathrm{a}}($ ethanoic acid $)=4.76$
▶️Answer/Explanation
Markscheme
a. hydrochloric acid/ $\mathrm{HCl}$ «(aq)» $A N D$ strong «acid»
b. $\mathrm{MgCO}_3(\mathrm{~s})+2 \mathrm{HCl}(\mathrm{aq}) \rightarrow \mathrm{MgCl}_2(\mathrm{aq})+\mathrm{CO}_2(\mathrm{~g})+\mathrm{H}_2 \mathrm{O}(\mathrm{l})$
NOTE: Accept ionic equation.
c. blocks/binds to H2-histamine receptors «in cells of stomach lining»
OR
prevents histamine molecules binding to $\mathrm{H}$ 2-histamine receptors «and triggering acid secretion»
OR
prevents parietal cells from releasing/producing acid
NOTE: Do not accept “antihistamine” by itself.
Accept “H2-receptor antagonist/H2RA” OR “blocks/inhibits action of histamine”.
Accept “blocks receptors in parietal cells “from releasing/producing acid»”.
Do not accept “proton pump/ATPase inhibitor”.
d. $« p K_{\mathrm{a}}=4.76 »$
$$
\begin{aligned}
& \text { «pH }=\mathrm{p} K_{\mathrm{a}}+\log \left(\frac{\left[\mathrm{CH}_3 \mathrm{COO}^{-}\right]}{\left[\mathrm{CH}_3 \mathrm{COOH}\right]}\right) » \\
& « \mathrm{pH}=4.76+0.40=» 5.16
\end{aligned}
$$
Question
Alloys containing at least $60 \%$ copper reduce the presence of bacteria on their surface. The percentage of copper in brass, an alloy of copper and zinc, can be determined by UV-vis spectrometry.
A sample of brass is dissolved in concentrated nitric acid and then made up to $250.0 \mathrm{~cm}^3$ with water before analysis.
$$
\begin{aligned}
& \mathrm{Cu}(\mathrm{s})+4 \mathrm{HNO}_3(\mathrm{aq}) \rightarrow \mathrm{Cu}\left(\mathrm{NO}_3\right)_2(\mathrm{aq})+2 \mathrm{NO}_2(\mathrm{~g})+2 \mathrm{H}_2 \mathrm{O}(\mathrm{l}) \\
& 3 \mathrm{Zn}(\mathrm{s})+8 \mathrm{HNO}_3(\mathrm{aq}) \rightarrow 3 \mathrm{Zn}\left(\mathrm{NO}_3\right)_2(\mathrm{aq})+2 \mathrm{NO}(\mathrm{g})+4 \mathrm{H}_2 \mathrm{O}(\mathrm{l})
\end{aligned}
$$
The concentration of copper(II) ions in the resulting solution is then determined from a calibration curve, which is plotted by measuring the light absorbance of standard solutions.

Titration is another method for analysing the solution obtained from adding brass to nitric acid.
a. Outline why the initial reaction should be carried out under a fume hood.
b. Deduce the equation for the relationship between absorbance and concentration.

c. Outline how a solution of $0.0100 \mathrm{~mol} \mathrm{dm}^{-3}$ is obtained from a standard $1.000 \mathrm{~mol} \mathrm{dm}^{-3} \operatorname{copper(II)}$ sulfate solution, including two essential pieces of glassware you would need.
d.i. The original piece of brass weighed $0.200 \mathrm{~g}$. The absorbance was 0.32 .
Calculate, showing your working, the percentage of copper by mass in the brass.
d.ii.Deduce the appropriate number of significant figures for your answer in (d)(i).
e.i. Comment on the suitability of using brass of this composition for door handles in hospitals.
If you did not obtain an answer to (d)(i), use $70 \%$ but this is not the correct answer.
e.ii.Suggest another property of brass that makes it suitable for door handles.
f.i. Copper(II) ions are reduced to copper(I) iodide by the addition of potassium iodide solution, releasing iodine that can be titrated with sodium thiosulfate solution, $\mathrm{Na}_2 \mathrm{~S}_2 \mathrm{O}_3$ (aq). Copper(I) iodide is a white solid.
$$
\begin{gathered}
4 \mathrm{I}^{-}(\mathrm{aq})+2 \mathrm{Cu}^{2+}(\mathrm{aq}) \rightarrow 2 \mathrm{Cul}(\mathrm{s})+\mathrm{I}_2(\mathrm{aq}) \\
\mathrm{I}_2(\mathrm{aq})+2 \mathrm{~S}_2 \mathrm{O}_3{ }^{2-}(\mathrm{aq}) \rightarrow 2 \mathrm{I}^{-}(\mathrm{aq})+\mathrm{S}_4 \mathrm{O}_6{ }^{2-}(\mathrm{aq})
\end{gathered}
$$
Deduce the overall equation for the two reactions by combining the two equations.
f.ii. Suggest why the end point of the titration is difficult to determine, even with the addition of starch to turn the remaining free iodine black.
▶️Answer/Explanation
Markscheme
a. $\mathrm{NO}_2 / \mathrm{NO} / \mathrm{NO}_{\mathrm{x}} / \mathrm{HNO}_3 /$ gas is poisonous/toxic/irritant
Accept formula or name.
Accept ” $\mathrm{HNO}_3$ is corrosive” OR “poisonous/toxic gases produced”.
Accept “reaction is harmful/hazardous”.
b. Slope (gradient):
40
Equation:
absorbance $=40 \times$ concentration
OR
$$
y=40 x
$$
Accept any correct relationship for slope such as $\frac{1.00}{0.025}$.
Award [2] if equation in M2 is correct.
c. dilute $1.00 \mathrm{~cm}^3$ «of the standard solution with water» to $100 \mathrm{~cm}^3$
OR
dilute sample of standard solution «with water» 100 times
«graduated/volumetric» pipette/pipet
volumetric flask
Accept any 1: 100 ratio for $M 1$.
Accept “mix $1 \mathrm{~cm}^3$ of the standard solution with $99 \mathrm{~cm}^3$ of water” for M1.
Do not accept “add $100 \mathrm{~cm}^3$ of water to $1.00 \mathrm{~cm}^3$ of standard solution” for M1.
Accept “burette/buret” for M2.
Accept “graduated/measuring flask” for M3 but not “graduated/measuring cylinder” or “conical/Erlenmeyer flask”.
d.i. concentration of copper $=0.0080 \ll \mathrm{mol} \mathrm{dm}^{-3} »$
mass of copper in $250.0 \mathrm{~cm}^3=« 0.0080 \mathrm{~mol} \mathrm{dm}^{-3} \times 0.2500 \mathrm{dm}^3 \times 63.55 \mathrm{~g} \mathrm{~mol}^{-1}=» 0.127$ «»
OR
mass of brass in $1 \mathrm{dm}^3=« 4 \times 0.200 \mathrm{~g}=» 0.800 \mathrm{~g} \mathrm{AND}[\mathrm{Cu} 2+]=« 0.0080 \mathrm{~mol} \mathrm{dm}^{-3} \times 63.55 \mathrm{~g} \mathrm{~mol}^{-1}=» 0.5084 \mathrm{~g} \mathrm{dm}^{-3}$
$« \%$ copper in this sample of brass $=\frac{0.127}{0.200} \times 100=» 64 \ll \% »$
OR
$« \%$ copper in this sample of brass $=\frac{0.5084}{0.800} \times 100=» 64 \ll \% »$
Accept annotation on graph for M1.
Award [3] for correct final answer.
Accept “65 «\%»”.
d.ii.two
Do not apply ECF from 1(d)(i).
e.i. «since it is greater than $60 \%$ » it will reduce the presence of bacteria «on door handles»
e.iiresistant to corrosion/oxidation/rusting
OR
low friction surface «so ideal for connected moving components»
Accept “hard/durable”, ” “high tensile» strength”, “unreactive”, “malleable” or any reference to the appearance/colour of brass (eg “gold-like”, “looks nice” etc.).
Do not accept irrelevant properties, such as “high melting/boiling point”, “non-magnetic”, “good heat/electrical conductor”, “low volatility”, etc. Do not accept “ductile”.
f.i. $2 \mathrm{I}^{-}(\mathrm{aq})+2 \mathrm{Cu}^{2+}(\mathrm{aq})+2 \mathrm{~S}_2 \mathrm{O}_3{ }^{2-}$ (aq) $\rightarrow 2 \mathrm{Cul}(\mathrm{s})+\mathrm{S}_4 \mathrm{O}_6{ }^{2-}$ (aq)
correct reactants and products
balanced equation
M2 can only be awarded if $M 1$ is correct.
f.ii. precipitate/copper(I) iodide/Cul makes colour change difficult to see
OR
release of $\mathrm{I}_2$ /iodine from starch- $\mathrm{I}_2$ complex is slow so titration must be done slowly
Question
Question
1. $57 \%$ of the mass of a rock weighing $46.5 \mathrm{~kg}$ is uranium(IV) oxide, $\mathrm{UO}_2 .99 .28 \%$ of the uranium atoms in the rock are uranium-238, $\mathrm{U}_{238}$.
a. Show that the mass of the ${ }^{238} \mathrm{U}$ isotope in the rock is $0.639 \mathrm{~kg}$.
b. The half-life of ${ }^{238} \mathrm{U}$ is $4.46 \times 10^9$ years. Calculate the mass of ${ }^{238} \mathrm{U}$ that remains after $0.639 \mathrm{~kg}$ has decayed for $2.23 \times 10^{10}$ years.
c. Outline a health risk produced by exposure to radioactive decay.
d. Deduce the nuclear equation for the decay of uranium-238 to thorium-234.
e. Thorium-234 has a higher binding energy per nucleon than uranium-238. Outline what is meant by the binding energy of a nucleus.
f. Determine the nuclear binding energy, in $\mathrm{J}$, of $\mathrm{U}^{238}$ using sections 2 and 4 of the data booklet.
▶️Answer/Explanation
Markscheme
a. « $\frac{\text { mass } \%}{\text { fraction of } \mathrm{U} \text { in } \mathrm{UO}_2}=» \frac{238.03}{238.03+2 \times 16} / 0.881 / 88.1 \%$
46.5 «kg》 $\times 0.0157 \times 0.881 \times 0.9928 \ll=0.639 \mathrm{~kg} »$
Award [1 max] for omitting mass composition (giving $0.725 \mathrm{~kg}$ ).
M2 is for numerical setup, not for final value of $0.639 \mathrm{~kg}$.
b. Alternative 1
$« \frac{2.23 \times 10^{10} \text { year }}{4.46 \times 10^9 \text { year }}=» 5.00$ «half – lives»» $« m=0.639 \mathrm{~kg} \times(0.5)^5=» 0.0200 « \mathrm{~kg} »$
Alternative 2
$$
\begin{aligned}
& « \lambda=\frac{\ln 2}{4.46 \times 10^9 \text { year }}=» 1.554 \times 10^{-10}\left\langle\text { (year }{ }^{-1} »\right. \\
& \ll m=0.639 \mathrm{~kg} \times e^{-1.554 \times 10^{-10} \text { year }^{-1} \times 2.23 \times 10^{10} \text { year }}=» 0.0200 \ll \mathrm{kg} » \\
&
\end{aligned}
$$
c. Any one:
«genetic» mutations
«could cause» cancer
Accept specific named types of cancer.
cells «in body» altered
cells «in body» cannot function
damaged DNA/proteins/enzymes/organs/tissue
«radiation» burns
hair loss
damage in foetuses
damages/weakens immune system
d. $\mathrm{U}_{92}^{238} \rightarrow \mathrm{Th}_{90}^{234}+\mathrm{He}_2^4$
Do not penalize missing atomic numbers in the equation.
Accept ” $\alpha$ ” for “He”.
e. energy required to separate a nucleus into protons and neutrons/nucleons
OR
energy released when nucleus was formed from «individual/free/isolated» protons and neutrons/nucleons
Do not accept “energy released when atom was formed”.
f. 238.050786 «amu» $\times 1.66 \times 10^{-27}\left\langle\mathrm{~kg} \mathrm{amu}{ }^{-1} »\right.$
OR
$$
\begin{aligned}
& 3.95 \times 10^{-25} « \mathrm{~kg} » \\
& \left(92 \times 1.672622 \times 10^{-27}\right)+\left(146 \times 1.674927 \times 10^{-27}\right)-3.95 \times 10^{-25} \\
& \text { OR }
\end{aligned}
$$
$$
\begin{aligned}
& 3.42 \times 10^{-27} / 3 \times 10^{-27}\langle\mathrm{~kg}\rangle \\
& \left\langle E=m c^2=3.42 \times 10^{-27} \times\left(3.00 \times 10^8\right)^2=» 3.08 \times 10^{-10}\langle\mathrm{~J}\rangle\right.
\end{aligned}
$$
Accept answers in the range ” $2.7 \times 10^{-10}-3.1 \times 10^{-10}$ «J»”.
Award [3] for correct final answer.
Question
Gasoline (petrol), biodiesel and ethanol are fuels.

a. Calculate the energy released, in $\mathrm{kJ}$, from the complete combustion of $5.00 \mathrm{dm}^3$ of ethanol.
b. State a class of organic compounds found in gasoline.
c. Outline the advantages and disadvantages of using biodiesel instead of gasoline as fuel for a car. Exclude anv discussion of cost.

e. Contrast the molecular structures of biodiesel and the vegetable oil from which it is formed.
$\mathrm{f}(\mathrm{i})$.When combusted, all three fuels can release carbon dioxide, a greenhouse gas, as well as particulates. Contrast how carbon dioxide and particulates interact with sunlight.
$\mathrm{f}$ (ii)Methane is another greenhouse gas. Contrast the reasons why methane and carbon dioxide are considered significant greenhouse gases.
f(iii) Suggest a wavenumber absorbed by methane gas.
▶️Answer/Explanation
Markscheme
a. «21200 kJ dm ${ }^{-3} \times 5.00 \mathrm{dm}^3=» 106000 / 1.06 \times 10^5\langle\mathrm{~kJ} »$
b. alkane
OR
cycloalkane
OR
arene
Accept “alkene”.
Do not accept just “hydrocarbon”, since given in stem.
Do not accept “benzene/aromatic” for “arene”.
c. Advantages: [2 max]
renewable
uses up waste «such as used cooking oil»
lower carbon footprint/carbon neutral
higher flashpoint
produces less $\mathrm{SO}_{\mathrm{x}} / \mathrm{SO}_2$
OR
less polluting emissions
has lubricating properties
OR
preserves/increases lifespan of engine
increases the life of the catalytic converter
eliminates dependence on foreign suppliers
does not require pipelines/infrastructure «to produce»
relatively less destruction of habitat compared to obtaining petrochemicals
Accept “higher energy density” OR “biodegradable” for advantage.
Disadvantages: [2 max]
needs conversion/transesterification
takes time to produce/grow plants
takes up land
OR
deforestation
fertilizers/pesticides/phosphates/nitrates «used in production of crops» have negative environmental effects biodiversity affected
OR
loss of habitats «due to energy crop plantations»
cannot be used at low temperatures
variable quality «in production»
high viscosity/can clog/damage engines
Accept “lower specific energy” as disadvantage.
Do not accept “lower octane number” as disadvantage”.
d. Any one:
uses up fossil fuels more slowly
lower carbon footprint/CO2 emissions
undergoes more complete combustion
produces fewer particulates
higher octane number/rating
OR
less knocking
prevents fuel injection system build up
OR
helps keep engine clean
Accept an example of a suitable advantage even if repeated from 9c.
e. Any two:
biodiesel has smaller molecules/single «hydrocarbon» chain AND oil has larger molecules/multiple «hydrocarbon» chains
biodiesel is methyl/ethyl ester $A N D$ oil has «backbone of» glycerol joined to fatty acids
biodiesel contains one ester group AND oil contains three ester groups
Do not accept properties such as “less viscous” or “lower ignition point”.
f(i).carbon dioxide allows sunlight/short wavelength radiation to pass through AND particulates reflect/scatter/absorb sunlight
Accept “particulates reflect/scatter/absorb sunlight AND carbon dioxide does not”.
Accept ” $\mathrm{CO}_2$ absorbs IR «radiation» AND particulates reflect/scatter/absorb sunlight”.
Do not accept “traps” for “absorbs”.
f(ii)carbon dioxide is highly/more abundant «in the atmosphere»
methane is more effective/potent «as a greenhouse gas»
OR
methane/better/more effective at absorbing IR «radiation»
OR
methane has greater greenhouse factor
OR
methane has greater global warming potential/GWP $\checkmark$
Accept “carbon dioxide contributes more to global warming” for M1.
f(iii) any value or range within $2850-3090 \ll \mathrm{cm}^{-1}$ »
Question
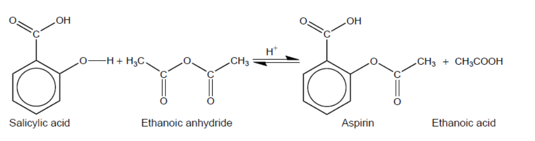
Aspirin is one of the most widely used drugs in the world.
Aspirin was synthesized from $2.65 \mathrm{~g}$ of salicylic acid (2-hydroxybenzoic acid) $\left(M_{\mathrm{r}}=138.13\right)$ and $2.51 \mathrm{~g}$ of ethanoic anhydride $\left(M_{\mathrm{r}}=102.10\right)$.

a.i. Calculate the amounts, in mol, of each reactant.
a.ii.Calculate, in $\mathrm{g}$, the theoretical yield of aspirin.
a.iiiState two techniques which could be used to confirm the identity of aspirin.
b.i. State how aspirin can be converted to water-soluble aspirin.
b.ii.Compare, giving a reason, the bioavailability of soluble aspirin with aspirin.
▶️Answer/Explanation
Markscheme
a.i. $\mathrm{n}($ salicylic acid $)=《 \frac{2.65 \mathrm{~g}}{138.13 \mathrm{~g} \mathrm{~mol}^{-1}} » 0.0192$ «mol»
AND
$\mathrm{n}($ ethanoic anhydride $)=《 \frac{2.51 \mathrm{~g}}{102.10 \mathrm{~g} \mathrm{~mol}^{-1}} » 0.0246$ «mol»
[1 mark]
a.ii.«mass $=0.0192 \mathrm{~mol} \times 180.17 \mathrm{~g} \mathrm{~mol}^{-1}=» 3.46 \ll \mathrm{g} »$
Award ECF mark only if limiting reagent determined in (i) has been used.
[1 mark]
a.iiiAny two of:
melting point
mass spectrometry/MS
high-performance liquid chromatography/HPLC
NMR/nuclear magnetic resonance
X-ray crystallography
elemental analysis «for elemental percent composition»
b.i. react with $\mathrm{NaOH}$
Accept ” $\mathrm{NaHCO}_3$ ” or ” $\mathrm{Na}_2 \mathrm{CO}_3$ ” instead of ” $\mathrm{NaOH}$ “.
Accept chemical equation $O R$ name for reagent used.
[1 mark]
b.ii.«marginally» higher $\boldsymbol{A N D}$ increase rate of dispersion
OR
«marginally» higher AND increase absorption in mouth/stomach «mucosa»
OR
«approximately the» same $\boldsymbol{A N D}$ ionic salt reacts with $\mathrm{HCl} /$ acid in stomach to produce aspirin again
Question
\text { Disposable plastic lighters contain butane gas. In order to determine the molar mass of butane, the gas can be collected over water as illustrated below: }

a. List the data the student would need to collect in this experiment.
b.i. Explain why this experiment might give a low result for the molar mass of butane.
b.ii.Suggest one improvement to the investigation.
▶️Answer/Explanation
Markscheme
a. mass $/ m$ of lighter before $A N D$ after the experiment
volume of gas $/ V_{\text {gas }}$ “collected in the cylinder»
«ambient» pressure/P «of the room»
temperature/ $T$
Accept “change in mass of lighter”.
Accept “weight” for “mass”.
Do not accept just “mass of lighter/gas”.
Accept “volume of water displaced”.
Do not accept “amount” for “volume” or “mass”.
b.i. Any two of:
pressure of gas not equalized with atmospheric/room pressure
too large a recorded volume «of gas produces a lower value for molar mass of butane»
OR
cylinder tilted
difficult to dry lighter «after experiment»
OR
higher mass of lighter due to moisture
OR
smaller change in mass but same volume «produces lower value for molar mass of butane»
using degrees Celcius $/{ }^{\circ} \mathrm{C}$ instead of Kelvin $/ \mathrm{K}$ for temperature
Accept “vapour pressure of water not accounted for” OR “incorrect vapour pressure of water used” OR “air bubbles trapped in cylinder”. Do not accept “gas/bubbles escaping “the cylinder»” or other results leading to a larger molar mass.
Accept “lighter might contain mixture of propane and butane”.
Do not accept only “human errors” OR “faulty equipment” (without a clear explanation given for each) or “mistakes in calculations”.
b.iirecord vapour pressure of water «at that temperature»
OR
equalize pressure of gas in cylinder with atmospheric/room pressure
OR
tap cylinder before experiment «to dislodge trapped air»
OR
collect gas using a «gas» syringe/eudiometer/narrower/more precise graduated tube
OR
collect gas through tubing «so lighter does not get wet»
OR
dry lighter «before and after experiment»
OR
hold «measuring» cylinder vertical
OR
commence experiment with cylinder filled with water
Question
A class was determining the concentration of aqueous sodium hydroxide by titrating it with hydrochloric acid, whilst monitoring the pH of the solution.
The sodium hydroxide solution was added into a glass beaker from a measuring cylinder and the hydrochloric acid added using a burette. One group of students accidentally used a temperature probe rather than a $\mathrm{pH}$ probe. Their results are given below.
Volume of aqueous $\mathrm{NaOH}=25.0 \pm 0.5 \mathrm{~cm}^3$
Concentration of $\mathrm{HCl}=1.00 \pm 0.01 \mathrm{~mol} \mathrm{dm}^{-3}$

Suggest how the end point of the titration might be estimated from the graph.
▶️Answer/Explanation
Markscheme
volume «found by extrapolation of the two best fit lines» required to give the highest temperature
OR
extrapolate «two best fit» lines to the point where they meet
Accept “where lines through the points meet”.
Accept “at maximum temperature”.
Accept “at $35 \mathrm{~cm}^3$ of $\mathrm{HCl}$ “.
Question
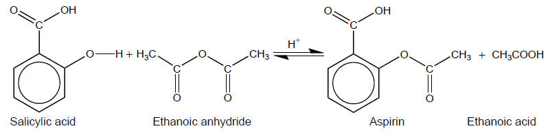
The mild analgesic aspirin can be prepared in the laboratory from salicylic acid.
$$
\begin{gathered}
\left(\mathrm{CH}_3 \mathrm{CO}\right)_2 \mathrm{O}+\mathrm{HOC}_6 \mathrm{H}_4 \mathrm{COOH} \rightarrow \mathrm{CH}_3 \mathrm{CO}_2 \mathrm{C}_6 \mathrm{H}_4 \mathrm{COOH}+\mathrm{CH}_3 \mathrm{COOH} \\
\text { Salicylic acid } \quad \text { Aspirin }
\end{gathered}
$$
After the reaction is complete, the product is isolated, recrystallized, tested for purity and the experimental yield is measured. A student’s results in a single trial are as follows.

Literature melting point data: aspirin $=138-140^{\circ} \mathrm{C}$
a. Determine the percentage experimental yield of the product after recrystallization. The molar masses are as follows: $M$ (salicylic acid) $=138.13 \mathrm{~g}$ $\mathrm{mol}^{-1}, M$ (aspirin) $=180.17 \mathrm{~g} \mathrm{~mol}^{-1}$. (You do not need to process the uncertainties in the calculation.)
b. Suggest why isolation of the crude product involved the addition of ice-cold water.
c. Justify the conclusion that recrystallization increased the purity of the product, by reference to two differences between the melting point data of the crude and recrystallized products.
d. State why aspirin is described as a mild analgesic with reference to its site of action.
▶️Answer/Explanation
Markscheme
a. ALTERNATIVE 1:
$$
\begin{aligned}
& \text { «theoretical yield }=\frac{1.552 \mathrm{~g}}{138.13 \mathrm{~g} \mathrm{~mol}^{-1}} \times 180.17 \mathrm{~g} \mathrm{~mol}^{-1}=2.024 \text { «g» } \\
& \text { «experimental yield }=\frac{1.124 \mathrm{~g}}{2.024 \mathrm{~g}} \times 100=\$ 55.53 \text { «\%» }
\end{aligned}
$$
ALTERNATIVE 2:
« $\frac{1.552 \mathrm{~g}}{138.13 \mathrm{~g} \mathrm{~mol}^{-1}} »=0.01124$ «mol salicylic acid/aspirin theoretical» AND
$« \frac{1.124 \mathrm{~g}}{180.17 \mathrm{~g} \mathrm{~mol}^{-1}} »=0.006239 \ll \mathrm{mol}$ aspirin experimental»
«experimental yield $=\frac{0.006239 \mathrm{~mol}}{0.01124 \mathrm{~mol}} \times 100=» 55.51 « \% »$
Accept answers in the range $55.4 \%$ to $55.7 \%$.
Award [2] for correct final answer.
b. low temperature gives greater difference between solubility of aspirin and impurities
OR
«product» crystallizes out from cold solution/«ice-cold water/lower temperature» speeds up crystallization process
OR
aspirin/product has low solubility «in water» at low temperatures
c. $[N / A]$
d. intercepts pain stimulus at source/acts at site of pain
OR
interferes with production of pain sensitizing substances/prostaglandins «at site of pain»
Question
A student wished to determine the concentration of a solution of sodium hydroxide by titrating it against a 0.100moldm−3 aqueous solution of hydrochloric acid.
4.00g of sodium hydroxide pellets were used to make 1.00dm3 aqueous solution.
20.0cm3 samples of the sodium hydroxide solution were titrated using bromothymol blue as the indicator.
Outline, giving your reasons, how you would carefully prepare the 1.00dm3 aqueous solution from the 4.00g sodium hydroxide pellets.
(i) State the colour change of the indicator that the student would see during his titration using section 22 of the data booklet.
(ii) The student added the acid too quickly. Outline, giving your reason, how this could have affected the calculated concentration.
Suggest why, despite preparing the solution and performing the titrations very carefully, widely different results were obtained.
▶️Answer/Explanation
Markscheme
Key Procedural Steps:
use volumetric flask
mix the solution
fill up to line/mark/«bottom of» meniscus/1 dm3 «with deionized/distilled water»
Key Technique Aspects:
use balance that reads to two decimal places/use analytical balance/use balance of high precision
mix pellets in beaker with deionized/distilled water «and stir with glass rod to dissolve»
use a funnel «and glass-rod» to avoid loss of solution
need to rinse «the beaker, funnel and glass rod» and transfer washings to the «volumetric» flask
Safety Precautions:
NaOH corrosive/reacts with water exothermically
keep NaOH in dessicator
let the solution cool
Two marks may be awarded from two different categories or from within one category.
Do not accept “use of a funnel to transfer the solid”.
Do not accept “keep volumetric flask in cold water/ice”.
(i) blue to green/yellow
(ii) equivalence point has been exceeded
OR
greater volume of/too much acid has been added
«calculated» concentration increased
Accept “end-point” for “equivalence point”.
colour difficult to detect
OR
using different HCl standards
OR
no significant figures used in subsequent calculation
OR
incorrect method of calculation
Accept any valid hypothesis.
Do not accept any mistakes associated with techniques (based on stem of question) eg. parallax error, not rinsing glassware, etc.
Do not accept “HCl was not standardized”.
Accept “reaction of NaOH with CO2 «from air»”.
Accept “NaOH hygroscopic/absorbs moisture/H2O «from the air/atmosphere»”.
Accept “impurities in NaOH”.
Accept “temperature changes during experiment”.
Ignore a general reference to random errors.
Question
A student wished to determine the concentration of a solution of sodium hydroxide by titrating it against a 0.100moldm−3 aqueous solution of hydrochloric acid.
4.00g of sodium hydroxide pellets were used to make 1.00dm3 aqueous solution.
20.0cm3 samples of the sodium hydroxide solution were titrated using bromothymol blue as the indicator.
Outline, giving your reasons, how you would carefully prepare the 1.00dm3 aqueous solution from the 4.00g sodium hydroxide pellets.
(i) State the colour change of the indicator that the student would see during his titration using section 22 of the data booklet.
(ii) The student added the acid too quickly. Outline, giving your reason, how this could have affected the calculated concentration.
Suggest why, despite preparing the solution and performing the titrations very carefully, widely different results were obtained.
▶️Answer/Explanation
Markscheme
Key Procedural Steps:
use volumetric flask
mix the solution
fill up to line/mark/«bottom of» meniscus/1 dm3 «with deionized/distilled water»
Key Technique Aspects:
use balance that reads to two decimal places/use analytical balance/use balance of high precision
mix pellets in beaker with deionized/distilled water «and stir with glass rod to dissolve»
use a funnel «and glass-rod» to avoid loss of solution
need to rinse «the beaker, funnel and glass rod» and transfer washings to the «volumetric» flask
Safety Precautions:
NaOH corrosive/reacts with water exothermically
keep NaOH in dessicator
let the solution cool
Two marks may be awarded from two different categories or from within one category.
Do not accept “use of a funnel to transfer the solid”.
Do not accept “keep volumetric flask in cold water/ice”.
(i) blue to green/yellow
(ii) equivalence point has been exceeded
OR
greater volume of/too much acid has been added
«calculated» concentration increased
Accept “end-point” for “equivalence point”.
colour difficult to detect
OR
using different HCl standards
OR
no significant figures used in subsequent calculation
OR
incorrect method of calculation
Accept any valid hypothesis.
Do not accept any mistakes associated with techniques (based on stem of question) eg. parallax error, not rinsing glassware, etc.
Do not accept “HCl was not standardized”.
Accept “reaction of NaOH with CO2 «from air»”.
Accept “NaOH hygroscopic/absorbs moisture/H2O «from the air/atmosphere»”.
Accept “impurities in NaOH”.
Accept “temperature changes during experiment”.
Ignore a general reference to random errors.
Question
A student wished to determine the concentration of a solution of sodium hydroxide by titrating it against a 0.100moldm−3 aqueous solution of hydrochloric acid.
4.00g of sodium hydroxide pellets were used to make 1.00dm3 aqueous solution.
20.0cm3 samples of the sodium hydroxide solution were titrated using bromothymol blue as the indicator.
Outline, giving your reasons, how you would carefully prepare the 1.00dm3 aqueous solution from the 4.00g sodium hydroxide pellets.
(i) State the colour change of the indicator that the student would see during his titration using section 22 of the data booklet.
(ii) The student added the acid too quickly. Outline, giving your reason, how this could have affected the calculated concentration.
Suggest why, despite preparing the solution and performing the titrations very carefully, widely different results were obtained.
▶️Answer/Explanation
Markscheme
Key Procedural Steps:
use volumetric flask
mix the solution
fill up to line/mark/«bottom of» meniscus/1 dm3 «with deionized/distilled water»
Key Technique Aspects:
use balance that reads to two decimal places/use analytical balance/use balance of high precision
mix pellets in beaker with deionized/distilled water «and stir with glass rod to dissolve»
use a funnel «and glass-rod» to avoid loss of solution
need to rinse «the beaker, funnel and glass rod» and transfer washings to the «volumetric» flask
Safety Precautions:
NaOH corrosive/reacts with water exothermically
keep NaOH in dessicator
let the solution cool
Two marks may be awarded from two different categories or from within one category.
Do not accept “use of a funnel to transfer the solid”.
Do not accept “keep volumetric flask in cold water/ice”.
(i) blue to green/yellow
(ii) equivalence point has been exceeded
OR
greater volume of/too much acid has been added
«calculated» concentration increased
Accept “end-point” for “equivalence point”.
colour difficult to detect
OR
using different HCl standards
OR
no significant figures used in subsequent calculation
OR
incorrect method of calculation
Accept any valid hypothesis.
Do not accept any mistakes associated with techniques (based on stem of question) eg. parallax error, not rinsing glassware, etc.
Do not accept “HCl was not standardized”.
Accept “reaction of NaOH with CO2 «from air»”.
Accept “NaOH hygroscopic/absorbs moisture/H2O «from the air/atmosphere»”.
Accept “impurities in NaOH”.
Accept “temperature changes during experiment”.
Ignore a general reference to random errors.
Question
Magnesium hydroxide is the active ingredient in a common antacid.
Formulate the equation for the neutralization of stomach acid with magnesium hydroxide.
Determine the mass of HCl, in g, that can be neutralized by the standard adult dose of 1.00g magnesium hydroxide.
Compare and contrast the use of omeprazole (Prilosec) and magnesium hydroxide.
▶️Answer/Explanation
Markscheme
Mg (OH)2(s) + 2HCl (aq) → 2H2O (l) + MgCl2 (aq)
OR
Mg (OH)2 (s) + 2H+ (aq) → Mg2+ (aq) + 2H2O (l)
\(\frac{{1.00}}{{58.33}}\)=0.0171«molMg(OH)2»
«0.0171×2×36.46=»1.25«g»
Award [2] for 1.25 or 1.26 «g».
Award [1 max] for any similarity:
both compounds relieve symptoms of acid reflux/heartburn/indigestion
OR
both increase the stomach pH
both cause diarrhoea
Award [2 max] for any two differences:
omeprazole stops the production of acid/is a proton-pump inhibitor AND magnesium hydroxide neutralizes the «excess» acid that is present
omeprazole takes longer «than magnesium hydroxide» to provide relief
omeprazole is used to treat ulcers while magnesium hydroxide is not
omeprazole can prevent long term damage from overproduction of acid AND magnesium hydroxide does not
OR
omeprazole has a long term effect AND magnesium hydroxide has a short-term effect «only»
magnesium hydroxide affects ionic balance in the body AND omeprazole does not
Award [1 max] if two or three correct points are given about one of the compounds without addressing the other compound.
Question
The mild analgesic aspirin can be prepared in the laboratory from salicylic acid.
(CH3CO)2O + HOC6H4COOH → CH3CO2C6H4COOH + CH3COOH
Salicylic acid Aspirin
After the reaction is complete, the product is isolated, recrystallized, tested for purity and the experimental yield is measured. A student’s results in a single trial are as follows.

Literature melting point data: aspirin = 138–140 °C
Determine the percentage experimental yield of the product after recrystallization. The molar masses are as follows: M(salicylic acid) = 138.13 g mol−1, M(aspirin) = 180.17 g mol−1. (You do not need to process the uncertainties in the calculation.)
Suggest why isolation of the crude product involved the addition of ice-cold water.
Justify the conclusion that recrystallization increased the purity of the product, by reference to two differences between the melting point data of the crude and recrystallized products.
State why aspirin is described as a mild analgesic with reference to its site of action.
▶️Answer/Explanation
Markscheme
ALTERNATIVE 1:
«theoretical yield = \(\frac{{1.552\,{\text{g}}}}{{138.13\,{\text{g}}\,{\text{mo}}{{\text{l}}^{ – 1}}}}\) × 180.17 g mol−1 =» 2.024 «g»
«experimental yield = \(\frac{{1.124{\rm{g}}}}{{2.024{\rm{g}}}}\) × 100 =» 55.53 «%»
ALTERNATIVE 2:
«\(\frac{{1.552\,{\text{g}}}}{{138.13\,{\text{g}}\,{\text{mo}}{{\text{l}}^{ – 1}}}}\)»= 0.01124 «mol salicylic acid/aspirin theoretical» AND
«\(\frac{{1.124\,{\text{g}}}}{{180.17\,{\text{g}}\,{\text{mo}}{{\text{l}}^{ – 1}}}}\)»= 0.006239 «mol aspirin experimental»
«experimental yield = \(\frac{{0.006239{\rm{mol}}}}{{0.01124{\rm{mol}}}}\) x 100 =» 55.51 «%»
Accept answers in the range 55.4 % to 55.7 %.
Award [2] for correct final answer.
low temperature gives greater difference between solubility of aspirin and impurities
OR
«product» crystallizes out from cold solution/«ice-cold water/lower temperature» speeds up crystallization process
OR
aspirin/product has low solubility «in water» at low temperatures
[N/A]
intercepts pain stimulus at source/acts at site of pain
OR
interferes with production of pain sensitizing substances/prostaglandins «at site of pain»
Examiners report
[N/A]
[N/A]
recrystallized melting point is higher
OR
recrystallized melting point is closer to pure substance/literature value
smaller range of values
[N/A]
Question
A class was determining the concentration of aqueous sodium hydroxide by titrating it with hydrochloric acid, whilst monitoring the pH of the solution. The sodium hydroxide solution was added into a glass beaker from a measuring cylinder and the hydrochloric acid added using a burette. One group of students accidentally used a temperature probe rather than a pH probe. Their results are given below.
Volume of aqueous NaOH = 25.0 ± 0.5 cm3
Concentration of HCl = 1.00 ± 0.01 mol dm−3

Suggest how the end point of the titration might be estimated from the graph.
▶️Answer/Explanation
Markscheme
volume «found by extrapolation of the two best fit lines» required to give the highest temperature
OR
extrapolate «two best fit» lines to the point where they meet
Accept “where lines through the points meet”.
Accept “at maximum temperature”.
Accept “at 35 cm3 of HCl”.
[1 mark]
Examiners report
Question
A class was determining the concentration of aqueous sodium hydroxide by titrating it with hydrochloric acid, whilst monitoring the pH of the solution. The sodium hydroxide solution was added into a glass beaker from a measuring cylinder and the hydrochloric acid added using a burette. One group of students accidentally used a temperature probe rather than a pH probe. Their results are given below.
Volume of aqueous NaOH = 25.0 ± 0.5 cm3
Concentration of HCl = 1.00 ± 0.01 mol dm−3

State and explain how the graph would differ if 1 mol\(\,\)dm−3 sulfuric acid had been used instead of 1 mol\(\,\)dm−3 hydrochloric acid.
▶️Answer/Explanation
Markscheme
graph would peak/maximum at 17.5 cm3
OR
smaller volume of acid «needed to reach equivalence»
sulfuric acid is dibasic/diprotic
higher temperature would be reached
Accept “gradient/slope «of graph» is greater/steeper” for M1.
Accept “one mole of sulfuric acid neutralizes two moles of NaOH” for M2.
[2 marks]
Examiners report
Question
Disposable plastic lighters contain butane gas. In order to determine the molar mass of butane, the gas can be collected over water as illustrated below:

List the data the student would need to collect in this experiment.
Explain why this experiment might give a low result for the molar mass of butane.
Suggest one improvement to the investigation.
▶️Answer/Explanation
Markscheme
mass/m of lighter before AND after the experiment
volume of gas/Vgas «collected in the cylinder»
«ambient» pressure/P «of the room»
temperature/T
Accept “change in mass of lighter”.
Accept “weight” for “mass”.
Do not accept just “mass of lighter/gas”.
Accept “volume of water displaced”.
Do not accept “amount” for “volume” or “mass”.
[4 marks]
Any two of:
pressure of gas not equalized with atmospheric/room pressure
too large a recorded volume «of gas produces a lower value for molar mass of butane»
OR
cylinder tilted
difficult to dry lighter «after experiment»
OR
higher mass of lighter due to moisture
OR
smaller change in mass but same volume «produces lower value for molar mass of butane»
using degrees Celcius/°C instead of Kelvin/K for temperature
Accept “vapour pressure of water not accounted for” OR “incorrect vapour pressure of water used” OR “air bubbles trapped in cylinder”. Do not accept “gas/bubbles escaping «the cylinder»” or other results leading to a larger molar mass.
Accept “lighter might contain mixture of propane and butane”.
Do not accept only “human errors” OR “faulty equipment” (without a clear explanation given for each) or “mistakes in calculations”.
[2 marks]
record vapour pressure of water «at that temperature»
OR
equalize pressure of gas in cylinder with atmospheric/room pressure
OR
tap cylinder before experiment «to dislodge trapped air»
OR
collect gas using a «gas» syringe/eudiometer/narrower/more precise graduated tube
OR
collect gas through tubing «so lighter does not get wet»
OR
dry lighter «before and after experiment»
OR
hold «measuring» cylinder vertical
OR
commence experiment with cylinder filled with water
Accept “adjust cylinder «up or down» to ensure water level inside cylinder matches level outside”.
Accept “repeat experiment/readings «to eliminate random errors»”.
Accept “use pure butane gas”.
[1 mark]
Question
Aspirin is one of the most widely used drugs in the world.
Aspirin was synthesized from 2.65 g of salicylic acid (2-hydroxybenzoic acid) (Mr = 138.13) and 2.51 g of ethanoic anhydride (Mr = 102.10).

Calculate the amounts, in mol, of each reactant.
Calculate, in g, the theoretical yield of aspirin.
State two techniques which could be used to confirm the identity of aspirin.
State how aspirin can be converted to water-soluble aspirin.
Compare, giving a reason, the bioavailability of soluble aspirin with aspirin.
▶️Answer/Explanation
Markscheme
n(salicylic acid) = «\(\frac{{2.65{\text{ g}}}}{{138.13{\text{ g}}\,{\text{mo}}{{\text{l}}^{ – 1}}}}\)» 0.0192 «mol»
AND
n(ethanoic anhydride) = «\(\frac{{2.51{\text{ g}}}}{{102.10{\text{ g}}\,{\text{mo}}{{\text{l}}^{ – 1}}}}\)» 0.0246 «mol»
[1 mark]
«mass = 0.0192 mol x 180.17 g\(\,\)mol–1 =» 3.46 «g»
Award ECF mark only if limiting reagent determined in (i) has been used.
[1 mark]
Any two of:
melting point
mass spectrometry/MS
high-performance liquid chromatography/HPLC
NMR/nuclear magnetic resonance
X-ray crystallography
elemental analysis «for elemental percent composition»
Accept “spectroscopy” instead of “spectrometry” where mentioned but not “spectrum”.
Accept “infra-red spectroscopy/IR” OR “ultraviolet «-visible» spectroscopy/UV/UV-Vis”.
Do not accept “gas chromatography/GC”.
Accept “thin-layer chromatography/TLC” as an alternative to “HPLC”.
[2 marks]
react with NaOH
Accept “NaHCO3” or “Na2CO3” instead of “NaOH”.
Accept chemical equation OR name for reagent used.
[1 mark]
«marginally» higher AND increase rate of dispersion
OR
«marginally» higher AND increase absorption in mouth/stomach «mucosa»
OR
«approximately the» same AND ionic salt reacts with HCl/acid in stomach to produce aspirin again
Do not accept “«marginally» higher AND greater solubility in blood”.
[1 mark]

