Question
Consider the structures of medicinal molecules in section 37 of the data booklet.
a(i)Name two functional groups that both zanamivir and oseltamivir contain.
a(iiExplain how zanamivir works as a preventative agent against flu viruses.
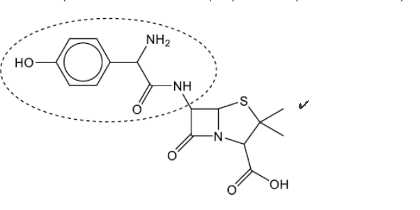
b(i)Circle the side-chain in penicillin on the structure below.

b(iiExplain, with reference to the action of penicillin, why new penicillins with different side-chains need to be produced.
c(i)State and explain the relative solubility of codeine in water compared to morphine and diamorphine.
c(ii)State the natural source from which codeine, morphine and diamorphine are obtained.
▶️Answer/Explanation
Markscheme
a(i)Any two:
«secondary» carboxamide/amido
ether
carbonyl
Accept amide
Accept amino/amine.
Accept alkenyl/alkene.
Do not accept formula.
a(ii)sdrug» blocks/inhibits «viral» enzyme/neuraminidase/NA «activity»
prevents virus from leaving/escaping host cells «thus cannot infect other cells»
Do not accept other anti-viral methods (as question is specific to Zanamivir).
b(i).
Accept a circle that does not surround the amido group.
Do not accept a circle that only surrounds the phenol group.
b(iipacterial resistance «to older penicillins/antibiotics» $\checkmark$
prevent penicillinase/beta-lactamase/enzyme in bacterium to deactivate/open penicillin/beta-lactam ring
Accept “antibiotic resistant bacteria” but not “antibiotic resistance” for $M 1$.
Accept “reduce allergic reactions from from penicillin” for $M 2$.
Award [1 max] for “increased efficiency” OR “increased stability in GIT”.
Do not accept “bacteria develop tolerance”.
c(i)codeine less soluble «in water» than morphine $A N D$ more soluble than diamorphine
$O R$
morphine > codeine > diamorphine «in terms of solubility in water»
more/stronger/greater hydrogen/H bonding «due to more hydroxyl groups leads to greater solubility»
c(ii)pium poppy/plants/seeds
Accept “poppy” OR “opioid”.
Question
Gasoline (petrol), biodiesel and ethanol are fuels.

a. Calculate the energy released, in $\mathrm{kJ}$, from the complete combustion of $5.00 \mathrm{dm}^3$ of ethanol.
b. State a class of organic compounds found in gasoline.
c. Outline the advantages and disadvantages of using biodiesel instead of gasoline as fuel for a car. Exclude any discussion of cost.

d. A mixture of gasoline and ethanol is often used as a fuel. Suggest an advantage of such a mixture over the use of pure gasoline. Exclude any discussion of cost.
e. Contrast the molecular structures of biodiesel and the vegetable oil from which it is formed.
f(i).When combusted, all three fuels can release carbon dioxide, a greenhouse gas, as well as particulates. Contrast how carbon dioxide and particulates interact with sunlight.
$\mathrm{f}$ (ii)Methane is another greenhouse gas. Contrast the reasons why methane and carbon dioxide are considered significant greenhouse gases.
f(iii)uggest a wavenumber absorbed by methane gas.
▶️Answer/Explanation
Markscheme
a. $« 21200 \mathrm{~kJ} \mathrm{dm}^{-3} \times 5.00 \mathrm{dm}^3=» 106000 / 1.06 \times 10^5\langle\mathrm{~kJ}\rangle$
b. alkane
OR
cycloalkane
OR
arene
Accept “alkene”.
Do not accept just “hydrocarbon”, since given in stem.
Do not accept “benzene/aromatic” for “arene”.
c. Advantages: [2 max]
renewable
uses up waste «such as used cooking oil»
lower carbon footprint/carbon neutral
higher flashpoint
produces less $\mathrm{SO}_{\mathrm{x}} / \mathrm{SO}_2$
OR
less polluting emissions
has lubricating properties
$O R$
preserves/increases lifespan of engine
increases the life of the catalytic converter
eliminates dependence on foreign suppliers
does not require pipelines/infrastructure «to produce»
relatively less destruction of habitat compared to obtaining petrochemicals
Accept “higher energy density” OR “biodegradable” for advantage.
Disadvantages: [2 max]
needs conversion/transesterification
takes time to produce/grow plants
takes up land
OR
deforestation
fertilizers/pesticides/phosphates/nitrates «used in production of crops» have negative environmental effects
biodiversity affected
OR
loss of habitats «due to energy crop plantations»
cannot be used at low temperatures
variable quality «in production»
high viscosity/can clog/damage engines
Accept “lower specific energy” as disadvantage.
Do not accept “lower octane number” as disadvantage”.
d. Any one:
uses up fossil fuels more slowly
lower carbon footprint/CO2 emissions
undergoes more complete combustion
produces fewer particulates
higher octane number/rating
OR
less knocking
prevents fuel injection system build up
OR
helps keep engine clean
Accept an example of a suitable advantage even if repeated from $9 \mathrm{c}$.
e. Any two:
biodiesel has smaller molecules/single «hydrocarbon» chain AND oil has larger molecules/multiple «hydrocarbon» chains
biodiesel is methyl/ethyl ester $A N D$ oil has «backbone of» glycerol joined to fatty acids
biodiesel contains one ester group AND oil contains three ester groups
Do not accept properties such as “less viscous” or “lower ignition point”.
f(i).carbon dioxide allows sunlight/short wavelength radiation to pass through AND particulates reflect/scatter/absorb sunlight
Accept “particulates reflect/scatter/absorb sunlight AND carbon dioxide does not”.
Accept ” $\mathrm{CO}_2$ absorbs IR «radiation» AND particulates reflect/scatter/absorb sunlight”.
Do not accept “traps” for “absorbs”.
$\mathrm{f}$ (ii)carbon dioxide is highly/more abundant «in the atmosphere»
methane is more effective/potent «as a greenhouse gas»
OR
methane/better/more effective at absorbing IR «radiation»
OR
methane has greater greenhouse factor
OR
methane has greater global warming potential/GWP
Accept “carbon dioxide contributes more to global warming” for M1.
f(iii)any value or range within $2850-3090$ «m $^{-1}$ »
Question
a. Suggest why a high-octane number fuel is preferable.
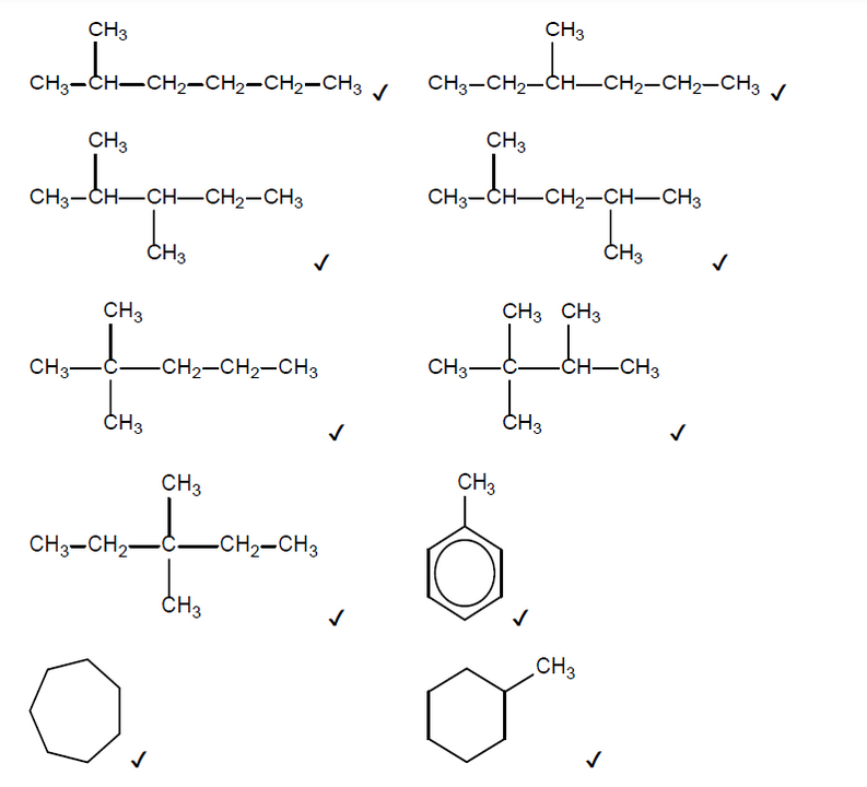
b(i)Reforming reactions are used to increase the octane number of a hydrocarbon fuel.
Suggest the structural formulas of two possible products of the reforming reaction of heptane, $\mathrm{C}_7 \mathrm{H}_{16}$.
$b$ (ii) The ${ }^1 \mathrm{H}$ NMR spectrum of one of the products has four signals. The integration trace shows a ratio of the areas under the signals of $9: 3: 2: 2$.
Deduce the structural formula of the product.
▶️Answer/Explanation
Markscheme
NOTE: Do not accept “pre-ignition”.
OR
more efficient fuel
NOTE: Accept “less $\mathrm{CO}_2$ emissions since knocking engine uses more fuel “to produce the same power»”.
OR
high compression
OR
more power extracted
OR
more air going into engine / turbocharging
OR
less engine damage
b(i)Any two of:

Accept any other branched cycloalkane that contains 7 carbons.
Do not accept any alkenes.
Penalise missing hydrogens or bond connectivities once only in Option C.
Accept hydrogen as the second product if the first product is toluene or a cycloalkane.

Question
Stearic acid $\left(M_{\mathrm{r}}=284.47\right)$ and oleic acid $\left(M_{\mathrm{r}}=282.46\right)$ have the same number of carbon atoms. The structures of both lipids are shown in section 34 of the data booklet.
a. The iodine number is the number of grams of iodine which reacts with $100 \mathrm{~g}$ of fat. Calculate the iodine number of oleic acid.
b. State one impact on health of the increase in LDL cholesterol concentration in blood.
c. Explain why stearic acid has a higher melting point than oleic acid.
d(i)State one similarity and one difference in composition between phospholipids and triglycerides.
Similarity:
Difference:
d(ii)dentify a reagent that hydrolyses triglycerides.
▶️Answer/Explanation
Markscheme
a. «one $\mathrm{C}=\mathrm{C}$ bond»
«1 mole iodine : 1 mole oleic acid»
« $\frac{100 \times 253.80}{282.46}=» 89.85$ «g of $\mathrm{I}_2$ »
NOTE: Accept “90 «g of $\mathrm{I}_2$ “.
b. atherosclerosis/cholesterol deposition «in artery walls»/increases risk of heart attack/stroke/cardiovascular disease/CHD
NOTE: Accept “arteries become blocked/walls become thicker”, “increases blood pressure”, OR “blood clots”.
Do not accept “high cholesterol” OR “obesity”
c. no kinks in chain/more regular structure
OR
straight chain
OR
no $\mathrm{C}=\mathrm{C} /$ carbon to carbon double bonds
OR
saturated
OR
chains pack more closely together
NOTE: Accept “greater surface area/electron density” for M1.
Question
Liquid-crystal displays (LCDs) have many uses.
A molecule which acts as a thermotropic liquid crystal is shown.

a. State the name of the functional group which allows the molecule to be responsive to applied electric fields.
b. Explain the effects of very low and high temperatures on the liquid-crystal behaviour of this molecule.
Low temperature:
High temperature:
▶️Answer/Explanation
Markscheme
a. nitrile [ $/$
Note: Accept “cyano”.
b. Low temperature:
intermolecular forces prevent molecules moving AND solid/«normal» crystal formation [ $\checkmark$ ]
High temperature:
«above a critical temperature» disrupts alignment of molecules AND behaves as fluid/liquid [ $\boldsymbol{V}$ ]
Note: Accept “weak intermolecular forces break AND behaves as fluid/liquid”.
Question
Vitamins are organic compounds essential in small amounts.
a. State the name of one functional group common to all three vitamins shown in section 35 of the data booklet.
b. Explain the biomagnification of the pesticide DDT.
c. Explain why maltose, $\mathrm{C}_{12} \mathrm{H}_{22} \mathrm{O}_{11}$, is soluble in water.
▶️Answer/Explanation
Markscheme
a. hydroxyl
NOTE: Accept “hydroxy” but not “hydroxide”.
Accept “alkenyl”.
Do not accept formula.
b. accumulates in fat/tissues/living organisms
OR
cannot be metabolized/does not break down «in living organisms»
OR
not excreted / excreted «very» slowly
passes «unchanged» up the food chain
OR
increased concentration as one species feeds on another «up the food chain»
NOTE: Accept “lipids” for “fat”.
c. “solubility depends on forming many» $\mathrm{H}$-bonds with water
maltose has many hydroxyl/OH/oxygen atom/O «and forms many $\mathrm{H}$-bonds»
NOTE: Reference to “with water” required.
Accept “hydroxy” for “hydroxyl” but not “hydroxide/OH”.
Reference to many/several $\mathrm{OH}$ groups/O atoms required for $M 2$.
Question
Organic molecules can be visualized using three-dimensional models built from kits such as that pictured below.


b.i. The above ball and stick model is a substituted pyridine molecule (made of carbon, hydrogen, nitrogen, bromine and chlorine atoms). All atoms are shown and represented according to their relative atomic size.
Label each ball in the diagram, excluding hydrogens, as a carbon, C, nitrogen, N, bromine, $\mathrm{Br}$, or chlorine, $\mathrm{Cl}$.
b.ii.Suggest one advantage of using a computer generated molecular model compared to a ball and stick 3-D model.
b.iiiPyridine, like benzene, is an aromatic compound.
Outline what is meant by an aromatic compound.
▶️Answer/Explanation
Markscheme
a. Any two of:
Ethene: «carbon-carbon» double bond AND Ethane: «carbon-carbon» single bond ethene has a shorter carbon-carbon bond «than ethane»
Ethene: planar/two-dimensional/2-D AND Ethane: tetrahedral «carbons»/three-dimensional/3-D
OR
Ethene: each carbon surrounded by three electron domains AND Ethane: each carbon surrounded by four electron domains OR
different molecular geometries/shapes
rotation about carbon-carbon inhibited/blocked in ethene AND not in ethane
bond angles different
OR
Ethene: «bond angles approximately» $120^{\circ}$ AND Ethane: $109.5 / 109^{\circ}$
Do not accept “different number of atoms/hydrogens/bonds” etc.
Accept “Ethene: unsaturated AND Ethane: saturated” OR “Ethene: has a double bond AND Ethane: does not” OR “Ethene: two flexible bonds between carbon atoms AND Ethane: one”.
Accept any reasonable physical description of the two different molecular models based on a variety of kits for M1.
For ethene, accept any bond angle in the range $117-122^{\circ}$.
Award [2] if any two of the concepts listed are shown in a correctly labelled or annotated diagram.
Award [1 max] for two correct statements for either molecule but with no comparison given to the other.
Award [1 max] for suitable unlabeled diagrams of both compounds.
[2 marks]
b.i. 6 carbon atoms labelled in correct positions both nitrogen atoms labelled in correct positions bromine $\boldsymbol{A N D}$ chlorine atoms labelled in correct positions

OR
«using mathematical functions» can calculate expected shapes based on energy minimizations
OR
better visualization of possible bond rotations/conformation/modes of vibration
OR
can visualize macromolecules/proteins/DNA
OR
hydrogen bonding «networks» can be generated/allows intermolecular forces «of attraction» to be simulated
OR
more variety of visualization representations/can observe space filling
OR
can produce an electron density map/electrostatic potential map
OR
once model is generated file can be saved for future use/computer models can be shared globally by scientists
OR
helps design molecules of biological significance/assists in drug design «using libraries»
OR
can predict molecular interactions with solvents/can predict physical properties/can predict spectral data/can examine crystal structures
OR
«often» easier to construct/modify «model»
Accept “computer generated structural representation is normally what is expected in order to be published «in a scientific journal»”.
Accept “easier to see different sizes of atoms/atomic radii”.
OR
contains delocalized «conjugated pi» electrons in ring
There must be reference to a ring or cyclic structure.
Accept “alternating single and double bonds in a ring”.
Accept “ring which shows resonance/delocalization”.
Accept “follows Hückel//4n+2 rule”.
Do not accept “contains one or more benzene rings”.
Question
Codeine, morphine and diamorphine (heroin) are derived from opium.
a. State the names of two functional groups present in all three molecules, using section 37 of the data booklet.
b. Explain why diamorphine has greater potency than morphine.
▶️Answer/Explanation
Markscheme
a. Any two of:
benzene/aromatic ring
«tertiary» amino «group»
ethenylene/1,2-ethenediyl «group»
ether «group»
NOTE: Accept “phenyl” for “benzene ring” although there are no phenyl groups as the benzene ring in this compound is a part of a polycyclic structure.
Do not accept “arene” or “benzene” alone.
Accept “amine” for “amino “group”.
Accept “alkenyl/alkene/vinylene” for ethenylene/1,2-ethenediyl “group”.
b. Any three of:
morphine has «two» hydroxyl «groups» AND diamorphine has «two» ester/ethanoate/acetate «groups»
NOTE: Accept “heroin” for “diamorphine”.
Accept formulas.
Accept “hydroxy” for “hydroxyl” but not “hydroxide”.
Accept “acyl” for “ester “groups»”.
morphine is more polar than diamorphine
OR
groups in morphine are replaced with less polar/non-polar groups in diamorphine
NOTE: Do not accept just “diamorphine is non-polar” for M2.
morphine is «more» soluble in blood “plasma»
NOTE: Accept “water” for “blood”.
OR
diamorphine is «more» soluble in lipids
NOTE: Accept “fats” for “lipid”.
OR
diamorphine is more soluble in non-polar environment of CNS/central nervous system than morphine
diamorphine crosses the blood-brain barrier/BBB «easily»
Question
Aspartame is formed from the two amino acids aspartic acid (Asp) and phenylalanine (Phe).
Chromatography is used in the analysis of proteins in the food and pharmaceutical industry.
a. Draw the structure of the dipeptide Asp-Phe using section 33 of the data booklet.
[2]
b(i)Describe, using another method, how a mixture of four amino acids, alanine, arginine, glutamic acid and glycine, could be separated when placed [3] in a buffer solution of $\mathrm{pH} 6.0$.
b(ii)Suggest why alanine and glycine separate slightly at pH 6.5.
[1]
$\mathrm{b}$ (iiifalculate the ratio of $\left[\mathrm{A}^{-}\right]$: $[\mathrm{HA}]$ in a buffer of $\mathrm{pH} 6.0$ given that $\mathrm{p} K_{\mathrm{a}}$ for the acid is 4.83 , using section 1 of the data booklet.
▶️Answer/Explanation
Markscheme
a.
amide link $(e g, \mathrm{CONH})$
correct order and structures of amino acids
NOTE: Accept a skeletal formula or a full or condensed structural formula.
Accept zwitterion form of dipeptide.
Accept CO-NH but not CO-HN for amide link.
b(i)Any three of:
«gel» electrophoresis «technique»
OR
mixture «in buffer solution» placed on gel/paper $\checkmark$
voltage/potential «difference» applied
amino acids move differently «depending on $\mathrm{pH} /$ isoelectric point»
compare/measure distances travelled $/ R_{\mathrm{f}}$ values
NOTE: Accept “mixture placed on plate covered with polyacrylamide “gel» OR “mixture put in a gel “medium»”.
b(ii)different sizes/molar masses/chain lengths «so move with different speeds»
NOTE: Do not accept “different side-chains/R-groups/number of carbons”.
b(ii)different sizes/molar masses/chain lengths «so move with different speeds»
NOTE: Do not accept “different side-chains/R-groups/number of carbons”.
$\left.\mathrm{b}(\mathrm{iiik}) 6.0=4.83+\log \frac{\left[\mathrm{A}^{-}\right]}{[\mathrm{HA}]}\right)$
$$
« \log \frac{\left[\mathrm{A}^{-}\right]}{[\mathrm{HA}]}=1.17 »
$$
$$
«\left[\mathrm{~A}^{-}\right]:[\mathrm{HA}]=» 14.8: 1
$$
NOTE: Accept “15:1”.
Do not accept 1:14.8.
Question
Stearic acid $\left(M_{\mathrm{r}}=284.47\right)$ and oleic acid $\left(M_{\mathrm{r}}=282.46\right)$ have the same number of carbon atoms. The structures of both lipids are shown in section 34 of the data booklet.
a. The iodine number is the number of grams of iodine which reacts with $100 \mathrm{~g}$ of fat. Calculate the iodine number of oleic acid.
[1]
b. State one impact on health of the increase in LDL cholesterol concentration in blood.
[1]
c. Explain why stearic acid has a higher melting point than oleic acid.
[2]
d(i)State one similarity and one difference in composition between phospholipids and triglycerides.
[2]
Similarity:
Difference:
d(ii)dentify a reagent that hydrolyses triglycerides.
▶️Answer/Explanation
Markscheme
a. «one $\mathrm{C}=\mathrm{C}$ bond»
«1 mole iodine : 1 mole oleic acid»
« $\frac{100 \times 253.80}{282.46}=$ 89.85 «g of $\mathrm{I}_2$ “
NOTE: Accept “90 «g of $\mathrm{I}_2 »$ “.
b. atherosclerosis/cholesterol deposition «in artery walls»/increases risk of heart attack/stroke/cardiovascular disease/CHD
NOTE: Accept “arteries become blocked/walls become thicker”, “increases blood pressure”, OR “blood clots”.
Do not accept “high cholesterol” OR “obesity”
c. no kinks in chain/more regular structure
OR
straight chain
OR
no $\mathrm{C}=\mathrm{C} /$ carbon to carbon double bonds
OR
saturated
OR
chains pack more closely together
NOTE: Accept “greater surface area/electron density” for M1.
stronger London/dispersion/instantaneous induced dipole-induced dipole forces «between molecules» NOTE: Accept “stronger intermolecular/van der Waals’/vdW forces” for M2.
d(i)Similarity:
«derived from» propane-1,2,3-triol/glycerol/glycerin/glycerine
OR
«derived from» at least two fatty acids
OR
contains ester linkages
OR
long carbon chains
NOTE: Do not accept “two fatty acids as both a similarity and a difference”.
Do not accept just “hydrocarbon/carbon chains”.
Difference:
phospholipids contain two fatty acids «condensed onto glycerol» $A N D$ triglycerides three
OR
phospholipids contain phosphate/phosphato «group»/residue of phosphoric acid $\boldsymbol{A N D}$ triglycerides do not
NOTE: Accept “phospholipids contain phosphorus AND triglycerides do not”.
Accept “phospholipids are amphiphilic AND triglycerides are not” OR “phospholipids have hydrophobic tails and hydrophilic heads AND triglycerides do not”.
d(ii)sconcentrated» $\mathrm{NaOH}(\mathrm{aq}) /$ sodium hydroxide
OR
«concentrated» $\mathrm{HCl}(\mathrm{aq}) /$ hydrochloric acid
OR
enzymes/lipases
NOTE: Accept other strong acids or bases.
Question
Steroids are lipids with a steroidal backbone. The structure of cholesterol is shown in section 34 of the data booklet.
a. Infrared (IR) spectroscopy is used to identify functional groups in organic compounds.

Deduce the wavenumber, in $\mathrm{cm}^{-1}$, of an absorption peak found in the IR spectrum of testosterone but not in that of cholesterol.
b. Describe a technique for the detection of steroids in blood and urine.
c. Explain how redox chemistry is used to measure the ethanol concentration in a breathalyser.
▶️Answer/Explanation
Markscheme
a. $1700-1750$ «m$^{-1} »$
NOTE: Accept a specific wavenumber value within range.
b. Any three of:
sample/liquids vaporized «in oven/at high temperature»
OR
sample injected into mobile phase/inert gas
OR
nitrogen/helium/inert gas acts as mobile phase
OR
sample carried by inert gas «through column»
NOTE: Award [1 max] for identifying suitable technique (eg GC-MS etc.).
Do not accept just “gas”.
Accept description of HPLC using liquid mobile phase.
stationary phase consists of a packed column
OR
packing/solid support acts as stationary phase
NOTE: Accept named stationary phase, such as «long-chain» hydrocarbon/polysiloxane/silica.
components separated by partition «between mobile phase and stationary phase»
OR
gases/liquids/components have different retention times/ $R_{\mathrm{f}}$
OR
gases/liquids/components move through tube/column at different speeds/rates
detector/mass spectrometer/MS «at end of column»
OR
databases/library of known fragmentation patterns can be used
NOTE: Accept “area under peak proportional to quantity/amount/concentration of component present «in mixture»”.
c. ALTERNATIVE 1
oxidizing agent/«acidified» potassium dichromate $(\mathrm{VI})$ converts ethanol to ethanoic acid
colour change «from orange to green» is measured/analysed «using photocell»
ALTERNATIVE 2
ethanol is oxidized to ethanoic acid «at anode and oxygen is reduced to water at cathode» current/voltage/potential is measured «by computer»
$O R$
current/voltage/potential is proportional to ethanol concentration
NOTE: Accept names or formulas for reagents.
Accept ” (acidified” dichromate/ $\mathrm{Cr}_2 \mathrm{O}_7^{2-“}$ ” for ” $\mathrm{K}_2 \mathrm{Cr}_2 \mathrm{O}_7$ “.
Award [1 max] for ” $\mathrm{Cr}(\mathrm{VI})$ going to $\mathrm{Cr}(\mathrm{III})$ AND colour changing/colour changing from orange to green”.
Do not penalize incorrect oxidation state notation here.
Accept “EMF” for “voltage”.
Question
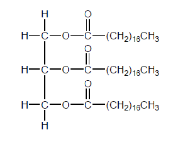
Vegetable oils, such as that shown, require conversion to biodiesel for use in current internal combustion engines.

a. State two reagents required to convert vegetable oil to biodiesel.
b. Deduce the formula of the biodiesel formed when the vegetable oil shown is reacted with the reagents in (a).
c. Explain, in terms of the molecular structure, the critical difference in properties that makes biodiesel a more suitable liquid fuel than vegetable oil.
d. Determine the specific energy, in $\mathrm{KJ} \mathrm{g}^{-1}$, and energy density, in $\mathrm{kJ} \mathrm{cm}^{-3}$, of a particular biodiesel using the following data and section 1 of the data booklet.
Density $=0.850 \mathrm{~g} \mathrm{~cm}^{-3}$; Molar mass $=299 \mathrm{~g} \mathrm{~mol}^{-1}$;
Enthalpy of combustion $=12.0 \mathrm{MJ} \mathrm{mol}^{-1}$.

▶️Answer/Explanation
Markscheme
a. methanol
OR
ethanol
strong acid
OR
strong base
Accept “alcohol”.
Accept any specific strong acid or strong base other than $\mathrm{HNO}_3 /$ nitric acid.
[3 marks]
b. $\mathrm{CH}_3\left(\mathrm{CH}_2\right)_{16} \mathrm{COOCH}_3 / \mathrm{CH}_3 \mathrm{OCO}\left(\mathrm{CH}_2\right)_{16} \mathrm{CH}_3$
OR
$$
\mathrm{CH}_3\left(\mathrm{CH}_2\right)_{16} \mathrm{COOC}_2 \mathrm{H}_5 / \mathrm{C}_2 \mathrm{H}_5 \mathrm{OCO}\left(\mathrm{CH}_2\right)_{16} \mathrm{CH}_3
$$
Product must correspond to alcohol chosen in (a), but award mark for either structure if neither given for (a).
c. lower viscosity
weaker intermolecular/dispersion/London/van der Waals’ forces
OR
smaller/shorter molecules
Accept “lower molecular mass $/ M_r$ ” or “lower number of electrons”.
Accept converse arguments.
[2 marks]
d. Specific energy: «= $\frac{12000 \mathrm{~kJ} \mathrm{~mol}^{-1}}{299 \mathrm{~g} \mathrm{~mol}^{-1}} »=40.1 « \mathrm{~kJ} \mathrm{~g}^{-1} »$
Energy density: «= $40.1 \mathrm{~kJ} \mathrm{~g}^{-1} \times 0.850 \mathrm{~g} \mathrm{~cm}^{-3} »=34.1 « \mathrm{~kJ} \mathrm{~cm}^{-3}$ »
Award [1] if both are in terms of a unit other than $\mathrm{kJ}$ (such as $\mathrm{J}$ or MJ).
Question
Methadone, a synthetic opioid, binds to opioid receptors in the brain.

a. Compare and contrast the functional groups present in methadone and diamorphine (heroin), giving their names. Use section 37 of the data booklet.

b. Methadone is sometimes used to help reduce withdrawal symptoms in the treatment of heroin addiction. Outline one withdrawal symptom that addict may experience.
▶️Answer/Explanation
Markscheme
a. Similarity:
both contain «at least one» benzene/aromatic ring
OR
both contain amino «group»
Difference:
diamorphine has one benzene/aromatic ring AND methadone has two phenyl «groups»
OR
diamorphine has one vinylene/ethenylene/1,2-ethenediyl «group» AND methadone has no vinylene/ethenylene/1,2-ethenediyl «group»
OR
diamorphine has one ether «group» $\boldsymbol{A N D}$ methadone has no ether «group»
OR
diamorphine has «two» ethanoate/acetate “groups» AND methadone has no ethanoate/acetate “groups»
Accept “both contain carbonyl “groups»”.
Accept “amine” for “amino “group»”.
Accept “phenyl” for “benzene ring” in M1 and M2 although there are no phenyl groups in diamorphine, as the benzene ring in this compound is a part of a polycyclic structure.
Do not accept “arene” or “benzene” alone in M1 and M2.
Accept “alkenyl/alkene” for “vinylene/ethenylene/1, 2-ethenediyl” and “ester” for “ethanoate/acetate”.
Accept “methadone has a ketone/carbonyl AND diamorphine does not/has an ester/ethanoate/acetate”.
Accept “diamorphine is a heterocycle/heterocyclic compound AND methadone is not a heterocycle/heterocyclic compound”.
b. feeling depressed/anxious/irritable
OR
craving for opioids/heroin
OR
experience fever/cold sweats/nausea/vomiting/insomnia/muscle pain/cramps/diarrhea/increased rate of respiration/increased heartbeat/lacrimation
Accept listed symptoms (eg, depression, anxiety, fever etc.).
Some of the most common symptoms are listed here – there may be other valid ones. Accept “headaches”.
Question
Amino acids are usually identified by their common names. Use section 33 of the data booklet.
a. State the IUPAC name for leucine.
b. A mixture of amino acids is separated by gel electrophoresis at $\mathrm{pH}$ 6.0. The amino acids are then stained with ninhydrin.
(i) On the diagram below draw the relative positions of the following amino acids at the end of the process: Val, Asp, Lys and Thr.

(ii) Suggest why glycine and isoleucine separate slightly at $\mathrm{pH} 6.5$.
c. Determine the number of different tripeptides that can be made from twenty different amino acids.
d. The fibrous protein keratin has a secondary structure with a helical arrangement.
(i) State the type of interaction responsible for holding the protein in this arrangement.
(ii) Identify the functional groups responsible for these interactions.
▶️Answer/Explanation
Markscheme
a. 2-amino-4-methylpentanoic acid
Accept 4-methyl-2-aminopentanoic acid.
b.
Lys on cathode side AND Asp on anode side
Val at origin AND Thr on anode side but closer to origin than Asp
Val and Thr need not overlap.
Accept any (reasonable) size and demarcation of position so long as position relative to origin is correct.
Accept crosses for spots.
Award [1 max] for any two correct.
Award [1 max] if net direction of spots is reversed.
Award [1 max] if the four points are in the correct order but not in a straight line.
ii
different sizes/molar masses/chain lengths «so move with different speeds»
C. $« 20^3=» 8000$
d. i
hydrogen bonds
ii
carboxamide/amide/amido
OR
$\mathrm{C}=\mathrm{O}$ AND $\mathrm{N}-\mathrm{H}$
Accept peptide.
Question
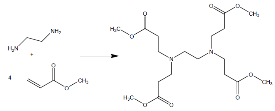
Polymer nanocomposites often have better structural performance than conventional materials. Lithographic etching and metal coordination are two methods of assembling these nanocomposites.
Dendrimers are highly branched nanoparticles with a wide range of usage. One such dendrimer is PAMAM, or polyamidoamine.

The first step in the synthesis is to make the core by reacting ethane-1,2-diamine with methylpropenoate.

c. Estimate the atom economy of this first step.
c.ii.Suggest, giving one reason, whether this is an addition or condensation reaction.
c.iiiSubsequent steps proceed under differing conditions, forming the dendrimer polymer with the following repeating unit.

State the name of one functional group in this repeating unit.
▶️Answer/Explanation
Markscheme
c. $100 \%$
Accept “almost 100\%” if a catalyst is referred to.
[1 mark]
c.ii.addition $A N D$ no atoms removed/all atoms accounted for/no loss of water/ammonia/inorganic by-product/small molecules
OR
addition $\boldsymbol{A N D}$ there is only one «reaction» product
c.iiiamido
OR
amino
Accept “amide/carboxamide/carbamoyl” for “amido”.
Accept “amine” for “amino”.
Accept “carbonyl”.
Question
Aspirin is one of the most widely used drugs in the world.
Aspirin was synthesized from $2.65 \mathrm{~g}$ of salicylic acid (2-hydroxybenzoic acid) $\left(M_{\mathrm{r}}=138.13\right)$ and $2.51 \mathrm{~g}$ of ethanoic anhydride $\left(M_{\mathrm{r}}=102.10\right)$.

a.iiiSuggest two absorbances, other than the absorbances due to the ring structure and $\mathrm{C}-\mathrm{H}$ bonds, that would be present in the infrared (IR) spectrum of aspirin.
a.ivState two techniques, other than IR spectroscopy, which could be used to confirm the identity of aspirin.
▶️Answer/Explanation
Markscheme
a.iiiAny two of:
$1700-1750$ «cm$^{-1} » /$ «absorbance» due to $\mathrm{C}=\mathrm{O}$ in carboxyl/ethanoate
$1050-1410$ «cm ${ }^{-1} » /$ «absorbance» due to $\mathrm{C}-\mathrm{O}$ bond in carboxyl/ethanoate
Accept “carboxylic acid” for “carboxyl”, “acetate/ester” for “ethanoate”.
Accept specific wavenumber once within indicated range.
Do not award mark if reference is made to an alcohol/ether.
a.ivAny two of:
melting point
mass spectrometry/MS
high-performance liquid chromatography/HPLC
NMR/nuclear magnetic resonance
X-ray crystallography
elemental analysis
Accept “spectroscopy” instead of “spectrometry” where mentioned but not “spectrum”.
Accept “ultraviolet «-visible» spectroscopy/UV/UV-Vis”.
Do not accept “gas chromatography/GC”.
Accept “thin-layer chromatography/TLC” as an alternative to “HPLC”.
[2 marks]
Question
Analgesics are used to relieve pain in the body. Aspirin and paracetamol (acetaminophen) are both mild analgesics.
The structures of the strong analgesics morphine and heroin (diamorphine) can be found in Table 20 of the Data Book
Compare how mild and strong analgesics relieve pain in the body.
Identify the amine functional group in the morphine molecule below by drawing a ring around it.

State the name of the functional group found in heroin but not in morphine.
State one advantage and one disadvantage of using morphine as a strong analgesic.
▶️Answer/Explanation
Markscheme
mild analgesics function by intercepting the pain stimulus at the source / interfere with the production of substances that cause pain/prostaglandins;
strong analgesics work by bonding to receptor sites in the brain / prevent the transmission of pain impulses without depressing the central nervous system;

any circle around the nitrogen atom / the nitrogen atom and its three neighboring atoms;
ester;
Advantage: antidiarrheal/constipation (in treatment of diarrhea) / reduces coughing;
Disadvantage: addiction / tolerance / risk of overdose;
Examiners report
Most candidates were able to distinguish between the ways mild analgesics and strong analgesics relieve pain in part (b).
A substantial number of candidates failed to identify the tertiary amine in the structure of morphine. Candidates were inaccurate in drawing a circle around the amine group in part (c). Either just the nitrogen atom or nitrogen atom with its three neighbouring atoms should have been circled.
A large number of candidates confused the ester with an ether or carbonyl group as the functional group found in heroin but not in morphine.
Most candidates recognized the disadvantage of using morphine but they had extreme difficulty in stating a specific advantage for using morphine as a strong analgesic.
Question
Benzene is sometimes represented as containing three alternate double and single bonds (Fig.1) and sometimes represented as a hexagon with a circle in the middle (Fig.2).

Describe two different types of physical evidence which show that benzene does not contain three double bonds.
Explain how the reaction of benzene with bromine provides chemical evidence that benzene does not contain three double bonds.
▶️Answer/Explanation
Markscheme
the C–C bond lengths are all the same;
IR absorption of C–C bonds in benzene is different to that of both C–C single bonds and C=C double bonds;
chemical shift of protons in benzene is different to that of protons in alkenes;
only one isomer exists for 1,2-disubstituted benzene compounds;
substitution rather than addition occurs / OWTTE;
Examiners report
Many candidates scored marks by describing the physical evidence in part (a) and the chemical evidence in part (b), which shows that benzene does not contain three double bonds.
Many candidates scored marks by describing the physical evidence in part (a) and the chemical evidence in part (b), which shows that benzene does not contain three double bonds.
Question
(a) Describe the structure of benzene, C6H6.
(b) State two pieces of evidence that support this description.
▶️Answer/Explanation
Markscheme
(a) hexagonal / ring of six carbon atoms (each with one hydrogen);
planar;
all carbon-carbon bond lengths equivalent / all carbon-carbon bond lengths intermediate between single and double bonds / carbon-carbon bond order of 1.5;
all C–C–C bond angles 120°;
Allow sp2 (hybridization for C’s).
delocalization / resonance;
Allow [2 max] for regular hexagon for M1 and M3.
Award [1 max] for drawing a correct representation of benzene indicating delocalization, but do not award mark for drawing simply a Kekulé structure alone.
If any of these points are stated in (b) award marks in (a).
(b) enthalpy change of hydrogenation not equal to three times enthalpy change of hydrogenation of cyclohexene;
electron density map (of benzene) showing equal electron density/all carbon-carbon bond lengths equivalent / OWTTE;
Allow diffraction pattern or contour map for electron density map.
only one isomer exists for 1,2-disubstituted benzene compounds / only three disubstituted benzene compounds (rather than four);
undergoes (electrophilic) substitution reactions / does not undergo addition reactions / does not decolorize bromine water;
Examiners report
In (a) describing the structure of benzene was well known by many candidates, but the evidence required in (b) to support this description was not well answered by about half of the candidates and chemical language was used imprecisely.
Question
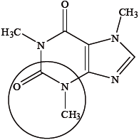
Caffeine and nicotine are two common stimulants.
State the name of the functional group circled on the structure of caffeine.

▶️Answer/Explanation
Markscheme
amide;
Examiners report
Most candidates correctly identified the functional group.
Question
The structure of benzene originally described by August Kekulé is shown below.

Explain, giving two different pieces of evidence, why this is not a valid structure for the bonding in benzene.
▶️Answer/Explanation
Markscheme
all (C–C) bond lengths equal / C–C bond lengths intermediate between C–C and C=C;
benzene normally undergoes substitution not addition;
thermochemically more stable than predicted / produces less heat when hydrogenated/combusted than predicted;
Examiners report
This part was generally well answered by many candidates.
Question
Compound P contains a carbonyl group (C=O) and has the molecular formula C3H6O.
Pentan-2-one has the following mass spectrum.

Draw the two possible structures of compound P.
Explain why the infrared spectra of the structures in (a) are very similar.
Explain how the mass spectra of the structures in (a) can be used to distinguish between them.
Deduce the formulas of the species with the m/z values at 86, 71 and 43.
\(m{\text{/}}z = 86\):
\(m{\text{/}}z = 71\):
\(m{\text{/}}z = 43\):
Suggest a reason for the peak at m/z = 43 having an exceptionally high relative abundance.
▶️Answer/Explanation
Markscheme
\({\text{C}}{{\text{H}}_{\text{3}}}{\text{COC}}{{\text{H}}_{\text{3}}}\) and \({\text{C}}{{\text{H}}_{\text{3}}}{\text{C}}{{\text{H}}_{\text{2}}}{\text{CHO}}\);
Accept full or condensed structural formulas.
Ignore incorrect names as long as structures are correct.
same/similar (types of) bonds / both contain the carbonyl group/C=O;
Do not accept same functional group.
(mass spectrum of) \({\text{C}}{{\text{H}}_{\text{3}}}{\text{C}}{{\text{H}}_{\text{2}}}{\text{CHO}}\) contains peak at \(m{\text{/}}z = 29\) / \({\text{C}}{{\text{H}}_{\text{3}}}{\text{COC}}{{\text{H}}_{\text{3}}}\) does not contain peak at \(m{\text{/}}z = 29\);
(corresponding to) loss of \({{\text{C}}_{\text{2}}}{{\text{H}}_{\text{5}}}\) / \({M_{\text{r}}} – {{\text{C}}_{\text{2}}}{{\text{H}}_{\text{5}}}\) / \({\text{CH}}{{\text{O}}^ + }\) / loss of CHO / \({M_{\text{r}}} – {\text{CHO}}\) / \({{\text{C}}_{\text{2}}}{\text{H}}_{\text{5}}^ + \);
OR
(mass spectrum of) \({\text{C}}{{\text{H}}_{\text{3}}}{\text{C}}{{\text{H}}_{\text{2}}}{\text{CHO}}\) contains a (strong) peak at \(m{\text{/}}z = 57\) / \({\text{C}}{{\text{H}}_{\text{3}}}{\text{COC}}{{\text{H}}_{\text{3}}}\) does not contain a (strong) peak at \(m{\text{/}}z = 57\);
(corresponding to) loss of H / \({M_{\text{r}}} – {\text{H}}\) / \({\text{C}}{{\text{H}}_{\text{3}}}{\text{C}}{{\text{H}}_{\text{2}}}{\text{C}}{{\text{O}}^ + }\);
Penalize missing + once only in A1.
m/z = 86: \({\text{C}}{{\text{H}}_{\text{3}}}{\text{C}}{{\text{H}}_{\text{2}}}{\text{C}}{{\text{H}}_{\text{2}}}{\text{COCH}}_{\text{3}}^ + {\text{/}}{{\text{C}}_{\text{3}}}{{\text{H}}_{\text{7}}}{\text{COCH}}_{\text{3}}^ + {\text{/}}{{\text{C}}_{\text{5}}}{{\text{H}}_{{\text{10}}}}{{\text{O}}^ + }\);
m/z = 71: \({\text{C}}{{\text{H}}_{\text{3}}}{\text{C}}{{\text{H}}_{\text{2}}}{\text{C}}{{\text{H}}_{\text{2}}}{\text{C}}{{\text{O}}^ + }{\text{/}}{{\text{C}}_{\text{3}}}{{\text{H}}_{\text{7}}}{\text{C}}{{\text{O}}^ + }{\text{/}}{{\text{C}}_{\text{4}}}{{\text{H}}_{\text{7}}}{{\text{O}}^ + }\);
Accept CH3COCH2CH2+
m/z = 43: \({\text{C}}{{\text{H}}_{\text{3}}}{\text{C}}{{\text{H}}_{\text{2}}}{\text{CH}}_{\text{2}}^ + {\text{ / C}}{{\text{H}}_{\text{3}}}{\text{C}}{{\text{O}}^ + }{\text{ / }}{{\text{C}}_{\text{3}}}{\text{H}}_{\text{7}}^ + {\text{ / }}{{\text{C}}_{\text{2}}}{{\text{H}}_{\text{3}}}{{\text{O}}^ + }\);
Penalize missing + once only in A1.
\({\text{C}}{{\text{H}}_{\text{3}}}{\text{C}}{{\text{H}}_{\text{2}}}{\text{CH}}_{\text{2}}^ + \) and \({\text{C}}{{\text{H}}_{\text{3}}}{\text{C}}{{\text{O}}^ + }\)/two species have this mass/m/z;
Do not penalize missing + in this part.
Examiners report
The majority of candidates was able to identify the two structures in (a) and recognized that IR spectroscopy could not distinguish them easily because they contained the same types of bonds in (b).
The majority of candidates was able to identify the two structures in (a) and recognized that IR spectroscopy could not distinguish them easily because they contained the same types of bonds in (b).
Answers to part (c) were often general and did not meet the requirements. Only few candidates predicted the peaks in the mass spectrum that could be used to distinguish the two compounds.
Part (d)(i) and (ii) were answered well by about half the candidates. However, some candidates are still forgetting to include a positive charge for fragments detected in the mass spectrometer.
Part (d)(i) and (ii) were answered well by about half the candidates. However, some candidates are still forgetting to include a positive charge for fragments detected in the mass spectrometer.
Question
Compound X has the molecular formula \({{\text{C}}_{\text{3}}}{{\text{H}}_{\text{6}}}{{\text{O}}_{\text{3}}}\) and is found in human perspiration.
Y is an isomer of X, which contains the same functional groups.
Its infrared (IR) spectrum is represented below.

Deduce the bonds responsible for the absorptions labelled I and II.
I:
II:
The \(^{\text{1}}{\text{H}}\,{\text{NMR}}\) spectrum recorded showed four peaks with the following chemical shift values (in ppm):

The integration trace for A:B:C:D was found to be 1:1:1:3.
Deduce what information can be obtained about the hydrogen atoms responsible for peak D at 1.2 ppm from the integration trace in the \(^{\text{1}}{\text{H}}\,{\text{NMR}}\) spectrum of X.
Deduce the fragments in the mass spectrum which correspond to the following m/z values.
m/z = 45:
m/z = 17:
m/z = 15:
Deduce the structural formula of X.
(i) Deduce the structural formula of Y.
(ii) Predict one difference between the \(^{\text{1}}{\text{H}}\,{\text{NMR}}\) spectrum of Y and X.
(i) Like X, 3-methylbutanoic acid is also a source of body odour. Deduce the m/z value for the molecular ion peak on the mass spectrum of this compound.
(ii) Deduce the number of different chemical environments of the hydrogen atoms in the \(^{\text{1}}{\text{H}}\,{\text{NMR}}\) spectrum of 3-methylbutanoic acid.
▶️Answer/Explanation
Markscheme
I: O–H and II: C=O;
Do not allow CO for C=O.
Allow OH for O–H.
three hydrogens in same (chemical) environment / \({\text{C}}{{\text{H}}_{\text{3}}}\)/methyl (group);
Award [2] for all three correct, [1] for any two correct.
m/z = 45:
\({\text{COO}}{{\text{H}}^ + }/{\text{C}}{{\text{O}}_2}{{\text{H}}^ + }/{{\text{C}}_2}{{\text{H}}_5}{{\text{O}}^ + }\);
m/z = 17:
\({\text{O}}{{\text{H}}^ – }\);
m/z = 15:
\({\text{CH}}_3^ + \);
Penalize missing + once only.
\({\text{C}}{{\text{H}}_{\text{3}}}{\text{CH(OH)COOH}}/{\text{C}}{{\text{H}}_{\text{3}}}{\text{CH(OH)C}}{{\text{O}}_{\text{2}}}{\text{H}}\);
Allow full or condensed structural formula.
(i) \({\text{C}}{{\text{H}}_{\text{2}}}{\text{(OH)C}}{{\text{H}}_{\text{2}}}{\text{COOH}}/{\text{HO(C}}{{\text{H}}_{\text{2}}}{{\text{)}}_{\text{2}}}{\text{C}}{{\text{O}}_{\text{2}}}{\text{H}}\);
Allow full or condensed structural formula.
(ii) different integration trace / integration trace 1:2:2:1 (in Y) / different chemical shift values / OWTTE;
(i) 102;
(ii) 4;
Examiners report
Most candidates scored this mark by identifying the bonds responsible for the absorptions.
About half the candidates were able to analyze the integration trace correctly and deduced that this was a methyl group.
Generally well answered. However, a few candidates are still forgetting to include the positive charge of the fragments of the mass spectrum.
About a third of the candidates were able to deduce the correct structural formula of X based on the evidence presented.
(i) Only few candidates deduced the correct structure for the isomer Y.
(ii) About half the candidates predicted a reasonable difference between the \(^{\text{1}}{\text{H}}\,{\text{NMR}}\) spectra of X and Y.
(i) More than half the candidates were able to deduce the molecular formula from the name and hence calculated the m/z value of the molecular ion peak correctly.
(ii) More than half of the candidates deduced the correct number of chemical environments in the \(^{\text{1}}{\text{H}}\,{\text{NMR}}\) spectrum of 3-methylbutanoic acid.
Question
Following the initial discovery of benzene by Michael Faraday in 1825, it took many years before the structure was determined.
Describe the structure of benzene.
State one piece of chemical evidence proving benzene does not contain alternate single and double bonds.
▶️Answer/Explanation
Markscheme
planar and six-membered/hexagonal ring;
Accept suitable diagram showing either ring structure with circle representing delocalization or a Kekulé-type structure.
Allow flat for planar.
all carbon-carbon bond lengths equal/0.140 nm / all carbon-carbon bond lengths between single/0.154 nm and double/0.134 nm / all carbon-carbon bonds have same strength;
all bond angles 120° /equivalent;
Allow “all carbons sp2 (hybridized)”.
delocalization of electrons / OWTTE;
Allow “p orbital/\(\pi \) electrons extend over all carbon atoms”.
benzene does not (readily) undergo addition reactions / benzene more likely to undergo substitution reactions / benzene does not decolourize bromine water;
only one isomer of 1,2-disubstituted benzene (eg, 1,2-dibromobenzene) exists (if there were alternate single and double bonds these would be two);
there are three isomers of type \({{\text{C}}_6}{{\text{H}}_4}{{\text{X}}_2}\), so if there were alternate single and double bonds there would be four;
benzene not hydrogenated by hydrogen (and a platinum catalyst) under usual conditions that hydrogenate an alkene;
Do not award this mark if high pressure is stated.
benzene not oxidized by potassium manganate(VII)/potassium permanganate/\({\text{KMn}}{{\text{O}}_4}\);
Allow other suitable named oxidizing agent.
Accept appropriate thermochemical evidence.
Examiners report
Although a straightforward question, most candidates were only able to score two out of the three possible marks in describing the structure of benzene.
Well answered but some candidates gave physical instead of chemical evidence failing to gain the mark. The most popular answer was the tendency to undergo substitution reactions.
Question
Dehydroepiandrosterone (DHEA) is a substance banned under the World Anti-Doping Code.
Steroid abuse has certain health hazards, some general, some specific to males and some specific to females. Identify one health hazard in each category.
General Hazard:
Male Hazard:
Female Hazard:
(i) State the name of the functional group circled in the DHEA molecule shown below.
(ii) Identify the characteristic of this structure that classifies it as a steroid.
The production of banned steroids has ethical implications. Suggest a reason why steroid research might be supported.
▶️Answer/Explanation
Markscheme
General hazards:
acne
OR
weight gain
OR
liver/kidney damage
OR
stunted growth
OR
disruption of puberty
OR
increased aggressiveness
OR
increased risk of heart disease/atherosclerosis/heart attacks/strokes√
General hazards:
Accept heart problems.
Male hazards:
feminization/breast «tissue» development
OR
shrinking of the testes/testicles
OR
reduction in sperm production
OR
impotence
Male hazards:
Accept baldness.
Female hazards:
decreased breast development
OR
masculinisation
OR
infertility/abnormal menstrual cycles
OR
birth defects/altered fetus development
(i)
alkenyl/ethanylylidene
(ii)
four-ring «steroidal» backbone
OR
fused ring structure
OR
three 6-membered rings AND a 5-membered ring
Award [1] for a sketch of the steroidal backbone.
medical uses of steroids «under physician supervision»
OR
detection of banned substances can be improved
Accept any specific medical use.
Accept answers such as “their effects «either positive or negative» are better understood”.
Question
Carbohydrates are energy-rich molecules which can be synthesized in some plant cells from inorganic compounds.
State the raw materials and source of energy used in the process described above.
The structures of two molecules, X and Y, are shown below.
(i) Justify why both these molecules are carbohydrates.
(ii) Distinguish between these molecules in terms of their functional groups.
Amylose is an unbranched polysaccharide composed of repeating units of glucose.
(i) Draw the structure of the repeating unit of amylose. Use section 34 of the data booklet.
(ii) Amylose is a major component of starch. Corn starch can be used to make replacements for plastics derived from oil, especially for packaging. Discuss one potential advantage and one disadvantage of this use of starch.
▶️Answer/Explanation
Markscheme
CO2 AND H2O AND sun
Accept names.
Accept “sunlight/light/photons” instead of “sun”.
i
both have formula Cx(H2O)y
OR
both contain several OH/hydroxyl «groups» AND a C=O/carbonyl «group»
Accept “both have the formula CnH2nOn /empirical formula CH2O” but do not accept “both have same molecular formula/have formula C3H6O3”.
Accept “aldehyde or ketone” for “carbonyl”.
ii
Accept “alkyl” for “R”.
Accept “X: aldose/aldehyde AND Y: ketose/ketone”.
Accept “CO” for “C=O”.
i
continuation bonds AND open O on either but not both ends
Brackets are not necessary for the mark.
Do not accept β-isomer.
Mark may be awarded if a polymer is shown but with the repeating unit clearly identified.
3-D representation is not required.
ii
Advantage:
Any one of:
biodegradable / break down naturally/by bacteria
Do not accept just “decompose easily”.
compostable
does not contribute to land-fill
renewable/sustainable resource
starch grains swell AND help break up plastic
lower greenhouse gas emissions
uses less fossil fuels than traditional plastics
less energy needed for production
Disadvantage:
Any one of:
land use «affects biodiversity/loss of habitat»
growing corn for plastics instead of food
«starch» breakdown can increase acidity of soil/compost
«starch» breakdown can produce methane «especially when buried»
sensitive to moisture/bacteria/acidic foods
«bioplastics sometimes» degrade quickly/before end of use
cannot be reused
poor mechanical strength
eutrophication
increased use of fertilizers/pesticides/phosphorus/nitrogen «has negative environmental effects»
Ignore any reference to cost.
Accept “prone to site explosions/fires” or “low heat resistance” for disadvantage.
Only award [1 max] if the same example is used for the advantage and disadvantage.
Question
Amino acids are usually identified by their common names. Use section 33 of the data booklet.
State the IUPAC name for leucine.
A mixture of amino acids is separated by gel electrophoresis at pH 6.0. The amino acids are then stained with ninhydrin.
(i) On the diagram below draw the relative positions of the following amino acids at the end of the process: Val, Asp, Lys and Thr.
(ii) Suggest why glycine and isoleucine separate slightly at pH 6.5.
Determine the number of different tripeptides that can be made from twenty different amino acids.
The fibrous protein keratin has a secondary structure with a helical arrangement.
(i) State the type of interaction responsible for holding the protein in this arrangement.
(ii) Identify the functional groups responsible for these interactions.
▶️Answer/Explanation
Markscheme
2-amino-4-methylpentanoic acid
Accept 4-methyl-2-aminopentanoic acid.
i
Lys on cathode side AND Asp on anode side
Val at origin AND Thr on anode side but closer to origin than Asp
Val and Thr need not overlap.
Accept any (reasonable) size and demarcation of position so long as position relative to origin is correct.
Accept crosses for spots.
Award [1 max] for any two correct.
Award [1 max] if net direction of spots is reversed.
Award [1 max] if the four points are in the correct order but not in a straight line.
ii
different sizes/molar masses/chain lengths «so move with different speeds»
«203 =» 8000
i
hydrogen bonds
ii
carboxamide/amide/amido
OR
C=O AND N–H
Accept peptide.
Question
Infrared (IR) spectroscopy is often used for the identification of polymers, such as PETE, for recycling.
LDPE and high density polyethene (HDPE) have very similar IR spectra even though they have rather different structures and physical properties.
Below are the IR spectra of two plastics (A and B); one is PETE, the other is low density polyethene (LDPE).
Deduce, giving your reasons, the identity and resin identification code (RIC) of A and B using sections 26 and 30 of the data booklet.
Describe the difference in their structures.
Explain why the difference in their structures affects their melting points.
▶️Answer/Explanation
Markscheme
A RIC: 1 AND B RIC: 4
ALTERNATIVE 1:
«only» PETE contains carbonyl/C=O/ester/COO groups
carbonyl groups absorb at 1700–1750 «cm–1»
ALTERNATIVE 2:
LDPE contains more C–H bonds «than PETE»
C–H bonds absorb at 2850–3090 «cm–1»
For either, accept specific frequencies in these ranges (eg 1735 «cm–1» or 2900 «cm–1»).
[3 marks]
HDPE less branched
OR
LDPE more branched
Accept “no branching in HDPE AND branching in LDPE”.
[1 mark]
HDPE «polymer» chains/molecules can pack together more closely «than LDPE chains»
OR
HDPE «polymer» chains/molecules have a higher contact surface area «than LDPE chains»
stronger intermolecular/dispersion/London/van der Waals’ forces in HDPE AND higher melting point
Accept converse arguments.
[2 marks]
Question
Vegetable oils, such as that shown, require conversion to biodiesel for use in current internal combustion engines.
State two reagents required to convert vegetable oil to biodiesel.
Deduce the formula of the biodiesel formed when the vegetable oil shown is reacted with the reagents in (a).
Explain, in terms of the molecular structure, the critical difference in properties that makes biodiesel a more suitable liquid fuel than vegetable oil.
Determine the specific energy, in kJ\(\,\)g−1, and energy density, in kJ\(\,\)cm−3, of a particular biodiesel using the following data and section 1 of the data booklet.
Density = 0.850 g\(\,\)cm−3; Molar mass = 299 g\(\,\)mol−1;
Enthalpy of combustion = 12.0 MJ\(\,\)mol−1.
▶️Answer/Explanation
Markscheme
methanol
OR
ethanol
strong acid
OR
strong base
Accept “alcohol”.
Accept any specific strong acid or strong base other than HNO3/nitric acid.
[3 marks]
CH3(CH2)16COOCH3 / CH3OCO(CH2)16CH3
OR
CH3(CH2)16COOC2H5 / C2H5OCO(CH2)16CH3
Product must correspond to alcohol chosen in (a), but award mark for either structure if neither given for (a).
[1 mark]
lower viscosity
weaker intermolecular/dispersion/London/van der Waals’ forces
OR
smaller/shorter molecules
Accept “lower molecular mass/Mr” or “lower number of electrons”.
Accept converse arguments.
[2 marks]
Specific energy: «\( = \frac{{12\,000{\text{ kJ}}\,{\text{mo}}{{\text{l}}^{ – 1}}}}{{299{\text{ g}}\,{\text{mo}}{{\text{l}}^{ – 1}}}}\)» = 40.1 «kJ g−1»
Energy density: «= 40.1 kJ\(\,\)g−1 x 0.850 g\(\,\)cm−3» = 34.1 «kJ\(\,\)cm−3»
Award [1] if both are in terms of a unit other than kJ (such as J or MJ).
[2 marks]
Question
Monosaccharides can combine to form disaccharides and polysaccharides.
Identify the functional groups which are present in only one structure of glucose.
Sucrose is a disaccharide formed from \(\alpha \)-glucose and β-fructose.
Deduce the structural formula of sucrose.
Starch is a constituent of many plastics. Suggest one reason for including starch in plastics.
Suggest one of the challenges scientists face when scaling up the synthesis of a new compound.
▶️Answer/Explanation
Markscheme
Only in straight chain form:
carbonyl
OR
aldehyde
Only in ring structure:
hemiacetal
Accept functional group abbreviations (eg, CHO etc.).
Accept “ether”.
[2 marks]
correct link between the two monosaccharides
Correct 1,4 beta link AND all bonds on the 2 carbons in the link required for mark.
Ignore any errors in the rest of the structure.
Penalize extra atoms on carbons in link.
[1 mark]
plastic «more» biodegradable/degrades into nontoxic products
OR
plastic can be produced using green technology/renewable resource
OR
reduces fossil fuel use/petrochemicals
OR
easily plasticized
OR
used to form thermoplasts
[1 mark]
minimize «negative» impact on environment
OR
minimize waste produced
OR
consider atom economy
OR
efficiency of synthetic process
OR
problems of side reactions/lower yields
OR
control temperature «inside large reactors»
OR
availability of starting/raw materials
OR
minimize energy costs
OR
value for money/cost effectiveness/cost of production
[1 mark]

